Tìm điều kiện để dãy số lập thành cấp số nhân cực hay
Bài viết Tìm điều kiện để dãy số lập thành cấp số nhân với phương pháp giải chi tiết giúp học sinh ôn tập, biết cách làm bài tập Tìm điều kiện để dãy số lập thành cấp số nhân.
Tìm điều kiện để dãy số lập thành cấp số nhân cực hay
(199k) Xem Khóa học Toán 11 KNTTXem Khóa học Toán 11 CDXem Khóa học Toán 11 CTST
A. Phương pháp giải
Cho ba số a,b và c; điều kiện để ba số trên lập thành cấp số nhân là: b2 = ac
B. Ví dụ minh họa
Ví dụ 1: Cho ba số x, 3x - 2 và 5x – 2. Tìm x để ba số trên theo thứ tự lập thành cấp số nhân?
Hướng dẫn giải:
Điều kiện để ba số x,3x - 2 và 5x - 2 lập thành cấp số nhân là:
Chọn C .
Ví dụ 2: Cho dãy số . Tìm x để ba số trên theo thứ tự lập thành cấp số nhân?
Hướng dẫn giải:
Điều kiện: x ≥ 0
Để ba số đã cho lập thành cấp số nhân khi và chỉ khi:
Chọn B.
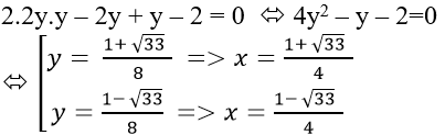
Ví dụ 3: Cho dãy số . Tìm x để ba số trên theo thứ tự lập thành cấp số nhân?
Hướng dẫn giải:
Để ba số
lập thành cấp số nhân khi và chỉ khi:
=> Không có giá trị nào của x thỏa mãn.
Chọn D.
Ví dụ 4: Ba số x, y, z theo thứ tự đó lập thành một cấp số nhân. Ba số x, y – 4 , z theo thứ tự đó lập thành cấp số nhân. Đồng thời các số x, y – 4 , z – 9 theo thứ tự đó lập thành cấp số cộng. Tính x.y.z?
Hướng dẫn giải:
* Dựa vào tính chất của cấp số cộng và cấp số nhân ta có hệ phương trình:
* Từ (1) và (2) ta có:
Thay y = 2 vào (3) được: x+z= 5.
* Ta có: x+ z= 5 và x. z= y2 = 4 suy ra giá trị của x và z là nghiệm của phương trình:
Có 2 bộ (x,y,z) thỏa yêu cầu là (1,2,4) và (4,2,1).
Trong cả hai trường hợp tích của ba số là 8.
Chọn B.
Ví dụ 5: Các số x+ 6y; 5x+ 2y và 8x+ y theo thứ tự đó lập thành một cấp số cộng. Đồng thời các số x- 1, y+2 và x +3y theo thứ tự đó lập thành cấp số nhân. Hỏi y là nghiệm của phương trình nào?
Hướng dẫn giải:
* Do ba số x+ 6y, 5x+ 2y và 8x+ y theo thứ tự lập thành cấp số cộng nên:
* Do ba số x- 1, y+ 2 và x+3y theo thứ tự lập thành cấp số nhân nên :
* Thay (1) vào (2) ta được:
Chọn C.
Ví dụ 6: Tìm a, b, c biết rằng: a, b, c là ba số hạng liên tiếp của một cấp số cộng và a, c, b là ba số hạng liên tiếp của một cấp số nhân, đồng thời a+ b+ c = 30. Tính a+ b?
Hướng dẫn giải:
* Theo đề bài ta có hệ phương trình sau:
Thay (1) vào (3) được: 3b= 30 ⇔ b= 10.
* Thay b= 10 vào (1) và (2):
Vậy a = 40; b = 10 và c = −20 => a + b= 50
Chọn C.
Ví dụ 7: Cho hai số dương a và b sao cho a; a+ 2b; 2a+ b lập thành cấp số cộng và (b+1)2 ; ab + 5; (a+1)2 lập thành cấp số nhân. Tính a + b?
Hướng dẫn giải:
* Do a; a+ 2b và 2a+ b lập thành cấp số cộng nên :
* Do (b+1)2; ab + 5 và (a+1)2 lập thành cấp số nhân nên:
* Nếu a+ b= 4. Lại có a= 3b nên ta có:
=> a= 3 ( thỏa mãn) . Khi đó; a+ b= 4.
* Nếu 2ab+ a+ b = -6 . Lại có a = 3b nên ta có:
Kết luận
Chọn B
Ví dụ 8: Cho a,b,c là ba số hạng liên tiếp của một cấp số nhân và a, b, c- 4 là ba số hạng liên tiếp của một cấp số cộng, đồng thời a, b - 1 và c- 5 là ba số hạng liên tiếp của một cấp số nhân. Tính c – 13a?
Hướng dẫn giải:
Do a, b, c là ba số hạng liên tiếp của một cấp số nhân, nên: ac = b2
Do a, b, c- 4 là ba số hạng liên tiếp của một cấp số cộng, nên: a+ c- 4= 2b
Do a, b- 1, c- 5 là ba số hạng liên tiếp của một cấp số nhân, nên: a(c - 5)= (b-1)2
Ta có hệ phương trình:
Thay (1) vào (3):
Thay vào (2) được: a + c – 4 = 5a + 1 ⇔ c = 4a + 5
Thay b và c theo a vào (1) được:
Với a = 1 => b = 3 ; c= 9 => c - 13a = -4
Với
Chọn A.
C. Bài tập trắc nghiệm
Câu 1: Xác định x để 3 số 2- x; x+ 1 và x- 3 lập thành một cấp số nhân:
Lời giải:
Đáp án: A
Ba số 2- x; x+ 1 và x- 3 theo thứ tự lập thành một cấp số nhân khi và chỉ khi:
=> Không có giá trị nào của x thỏa mãn.
Câu 2: Tìm x để 3 số 2x+ 6; x và 2x- 6 lập thành một cấp số nhân:
Lời giải:
Đáp án: D
Ba số 2x +6; x và 2x- 6 theo thứ tự lập thành cấp số nhân khi:
Câu 3: Các số x+ 6y; 5x+ 2y, 8x+ y lập thành cấp số cộng và các số lập thành cấp số nhân. Tìm y?
Lời giải:
Đáp án: B
Theo giả thiết ta có hệ:
Giải (1) ⇔ 9x+ 7y = 10x + 4y
⇔ x = 3y thay vào (2) ta được:
Câu 4: Cho ba số x,3,y theo thứ tự lập thành cấp số nhân và x4 = y√3. Tìm x+ y?
Lời giải:
Đáp án: D
* Do ba số x, 3, y theo thứ tự lập thành cấp số nhân nên:
* Thay vào x4 = y√3 ta được:
Tổng hai số cần tìm là: x + y = 4√3.
Câu 5: Cho bốn số nguyên dương, trong đó ba số đầu lập thành một cấp số cộng, ba số sau lập thành cấp số nhân. Biết tổng số hạng đầu và cuối là 37, tổng hai số hạng giữa là 36. Tính tích của số hạng thứ 2 và số hạng thứ 3.
Lời giải:
Đáp án: A
Gọi bốn số cần tìm là a,b,c và d (a,b,c, d ∈ N*) ta có hệ :
Giải phương trình (*):
Với b= 16 => c= 20; d= 25 và a= 12.
=> b.c= 16.20= 320.
Câu 6: Cho các số 5x- y; 2x+ 3y; x+ 2y lập thành cấp số cộng ; các số (y+1)2; xy+ 1; (x-1)2 lập thành cấp số nhân.Tính x; y
Lời giải:
Đáp án: B
*Ta có các số 5x- y;2x+ 3y; x+ 2y lập thành cấp số cộng nên suy ra:
2( 2x+ 3y) = 5x – y+ x+ 2y hay 2x= 5y (1)
*Các số (y+ 1)2; xy+ 1; (x-1)2 lập thành cấp số nhân suy ra :
Thay (1) vào (2) ta được :
Vậy có 3 cặp giá trị (x; y) thỏa mãn:
Câu 7: Tìm x; y biết các số x+ 5y; 5x+2y; 8x+ y lập thành cấp số cộng và các số (y-1)2; xy – 1; (x+1)2 lập thành cấp số nhân.
Lời giải:
Đáp án: B
* Ta có x+ 5y; 5x + 2y; 8x+ y lập thành cấp số cộng nên ta có
( x+ 5y)+( 8x+ y) = 2( 5x+ 2y) ⇔ x= 2y.
* Do (y-1)2; xy – 1; (x+1)2 lập thành cấp số nhân nên ta có:
+ Trường hợp 1: Nếu -x + y=0. Kết hợp điều kiện: x = 2y
=> x = 0 và y = 0.
+ Trường hợp 2. Nêu 2xy – x+ y-2=0 (*). Thay x= 2y vào (*) ta được :
Vậy có 3 cặp giá trị của (x; y) thỏa mãn:
Câu 8: Cho 3 số tạo thành một cấp số cộng có tổng 21. Nếu thêm 2,3,9 lần lượt vào số thứ nhất, số thứ hai, số thứ 3 tạo thành cấp số nhân. Tính tích 3 số đó.
Lời giải:
Đáp án: A
Gọi u1; u2; u3 theo thứ tự lập thành cấp số cộng.
Theo đề bài: u1 + 2; u2 + 3; u3 + 9 là ba số liên tiếp tạo thành cấp số nhân.
Ta có hệ phương trình:
Giải (*) :
*Với u3 = 11 => u1 = 3 .
Khi đó; tích ba số cần tìm là: 3.7.11= 231
* Với u3 = 04 => u1 = 18
Khi đó, tích ba số cần tìm là: - 4.7.18= -504.
D. Bài tập tự luyện
Bài 1. Cho ba số x, 5, 3y theo thứ tự lập thành cấp số cộng và ba số x, 3, 3y theo thứ tự lập thành cấp số nhân. Tính giá trị A = |3y − x|?
Bài 2. Ba số dương lập thành cấp số nhân, tích của số hạng thứ nhất và số hạng thứ ba bằng 36. Một cấp số cộng có n số hạng, công sai d = 4, tổng các số hạng bằng 510. Biết số hạng đầu của cấp số cộng bằng số hạng thứ 2 của cấp số nhân. Hãy tìm n.
Bài 3. Cho 3 số dương có tổng là 65 lập thành một cấp số nhân tăng, nếu bớt một đơn vị ở số hạng thứ nhất và 19 đơn vị ở số hạng thứ ba ta được một cấp số cộng. Tìm 3 số đó.
Bài 4. Cho x, 3, y theo thứ tự lập thành cấp số nhân và x4 = y. Tìm x, y.
Bài 5. Cho ba số dương a, b, c lập thành cấp số nhân.
Chứng minh: cũng lập thành cấp số nhân.
(199k) Xem Khóa học Toán 11 KNTTXem Khóa học Toán 11 CDXem Khóa học Toán 11 CTST
Xem thêm các dạng bài tập Toán lớp 11 có trong đề thi THPT Quốc gia khác:
- Cách chứng minh một dãy số là cấp số nhân (cực hay có lời giải)
- Cách tìm số hạng đầu tiên, công bội, số hạng thứ k của cấp số nhân cực hay
- Cách tính tổng n số hạng đầu tiên của cấp số nhân (cực hay có lời giải)
- Cách chứng minh đẳng thức dựa vào tính chất của cấp số nhân cực hay
- Bài toán thực tế về cấp số nhân (cực hay có lời giải)
- Bài tập về cấp số nhân nâng cao (cực hay có lời giải)
Tủ sách VIETJACK shopee lớp 10-11 (cả 3 bộ sách):
Đã có app VietJack trên điện thoại, giải bài tập SGK, SBT Soạn văn, Văn mẫu, Thi online, Bài giảng....miễn phí. Tải ngay ứng dụng trên Android và iOS.
Theo dõi chúng tôi miễn phí trên mạng xã hội facebook và youtube:Nếu thấy hay, hãy động viên và chia sẻ nhé! Các bình luận không phù hợp với nội quy bình luận trang web sẽ bị cấm bình luận vĩnh viễn.
- Giải Tiếng Anh 11 Global Success
- Giải sgk Tiếng Anh 11 Smart World
- Giải sgk Tiếng Anh 11 Friends Global
- Lớp 11 - Kết nối tri thức
- Soạn văn 11 (hay nhất) - KNTT
- Soạn văn 11 (ngắn nhất) - KNTT
- Giải sgk Toán 11 - KNTT
- Giải sgk Vật Lí 11 - KNTT
- Giải sgk Hóa học 11 - KNTT
- Giải sgk Sinh học 11 - KNTT
- Giải sgk Lịch Sử 11 - KNTT
- Giải sgk Địa Lí 11 - KNTT
- Giải sgk Giáo dục KTPL 11 - KNTT
- Giải sgk Tin học 11 - KNTT
- Giải sgk Công nghệ 11 - KNTT
- Giải sgk Hoạt động trải nghiệm 11 - KNTT
- Giải sgk Giáo dục quốc phòng 11 - KNTT
- Giải sgk Âm nhạc 11 - KNTT
- Lớp 11 - Chân trời sáng tạo
- Soạn văn 11 (hay nhất) - CTST
- Soạn văn 11 (ngắn nhất) - CTST
- Giải sgk Toán 11 - CTST
- Giải sgk Vật Lí 11 - CTST
- Giải sgk Hóa học 11 - CTST
- Giải sgk Sinh học 11 - CTST
- Giải sgk Lịch Sử 11 - CTST
- Giải sgk Địa Lí 11 - CTST
- Giải sgk Giáo dục KTPL 11 - CTST
- Giải sgk Hoạt động trải nghiệm 11 - CTST
- Giải sgk Âm nhạc 11 - CTST
- Lớp 11 - Cánh diều
- Soạn văn 11 Cánh diều (hay nhất)
- Soạn văn 11 Cánh diều (ngắn nhất)
- Giải sgk Toán 11 - Cánh diều
- Giải sgk Vật Lí 11 - Cánh diều
- Giải sgk Hóa học 11 - Cánh diều
- Giải sgk Sinh học 11 - Cánh diều
- Giải sgk Lịch Sử 11 - Cánh diều
- Giải sgk Địa Lí 11 - Cánh diều
- Giải sgk Giáo dục KTPL 11 - Cánh diều
- Giải sgk Tin học 11 - Cánh diều
- Giải sgk Công nghệ 11 - Cánh diều
- Giải sgk Hoạt động trải nghiệm 11 - Cánh diều
- Giải sgk Giáo dục quốc phòng 11 - Cánh diều
- Giải sgk Âm nhạc 11 - Cánh diều


Giải bài tập SGK & SBT
Tài liệu giáo viên
Sách
Khóa học
Thi online
Hỏi đáp

