Cách chứng minh đẳng thức dựa vào tính chất của cấp số nhân cực hay
Bài viết Cách chứng minh đẳng thức dựa vào tính chất của cấp số nhân với phương pháp giải chi tiết giúp học sinh ôn tập, biết cách làm bài tập Cách chứng minh đẳng thức dựa vào tính chất của cấp số nhân.
Cách chứng minh đẳng thức dựa vào tính chất của cấp số nhân cực hay
(199k) Xem Khóa học Toán 11 KNTTXem Khóa học Toán 11 CDXem Khóa học Toán 11 CTST
A. Phương pháp giải
* Cho (un) là cấp số nhân; có số hạng đầu là u1 và công bội q. Theo tính chất của cấp số nhân ta có: un2 = un-1.un+1 với n ≥ 2.
* Để chứng minh ba số a,b,c theo thứ tự lập thành cấp số nhân ta cần chứng minh: ac = b2.
B. Ví dụ minh họa
Ví dụ 1: Cho a, b, c là ba số hạng liên tiếp của một cấp số nhân. Chứng minh: (ab+ bc+ ca)3 = abc( a+ b+ c)3
Hướng dẫn giải:
Vì a, b, c là ba số hạng liên tiếp của một cấp số nhân, nên có ac= b2.
Ta có:
Ví dụ 2: Cho a,b,c là ba số hạng liên tiếp của một cấp số nhân. Chứng minh : (a2 + b2).(b2 + c2) = (ab + bc)2
Hướng dẫn giải:
Ta có:
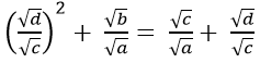
Ví dụ 3: Cho 3 số a, b và c theo thứ tự lập thành cấp số nhân với công bội q≠0 và a ≠ 0. Chứng minh:
Hướng dẫn giải:
Do 3 số a, b và c theo thứ tự lập thành cấp số nhân nên ta có:
Ta có:
Lại có: (do (*) ( 2)
Và (do (*)) (3)
Từ (1),(2) và (3) ta có điều phải chứng minh.
Ví dụ 4: Cho bốn số a,b, c và d theo thứ tự lập thành cấp số nhân. Chứng minh: ac + 2ad + bd = (b+c)2
Hướng dẫn giải:
* Do bốn số a,b,c và d theo thứ tự lập thành cấp số nhân nên ta có:
Ví dụ 5: Cho bốn số dương a ,b,c và d thỏa mãn √a; √b; √c và √d theo thứ tự lập thành cấp số nhân. Chứng minh:
Hướng dẫn giải:
Gọi 4 số √a; √b; √c và √d theo thứ tự lập thành cấp số nhân với công bội q. Ta có:
Do đó; ta có:
Và
Từ (1) và (2) suy ra:
Ví dụ 6: Cho bốn số dương a, b, c và d theo thứ thự lập thành cấp số nhân. Chứng minh:
Hướng dẫn giải:
Gọi 4 số a,b, c, và d theo thứ tự lập thành cấp số nhân có công bội q. Ta có:
Khi đó;
Và
Từ (1) và (2) suy ra:
Ví dụ 7: Cho bốn số dương phân biệt a, b, c và d theo thứ tự lập thành cấp số nhân. Chứng minh:
Hướng dẫn giải:
* Do bốn số a, b, c và d theo thứ tự lập thành cấp số nhân công bội q nên
* Ta có:
( chú ý bốn số đã cho là phân biệt nên q ≠ 1)
* Lại có :
Từ (1) và (2) ta có:
C. Bài tập trắc nghiệm
Câu 1: Cho a,b,c là ba số hạng liên tiếp của cấp số nhân .Chứng minh : (a + b +c). (a - b + c) = a2 + b2 + c2
Lời giải:
*Ta có a, b và c theo thứ tự lập thành cấp số nhân nên ta có: b2 = ac
* Xét:
Câu 2: Cho a, b, c và d theo thứ tự lập thành cấp số nhân. Chứng minh: (b-c)2 + (c-a)2 + ( d- b)2 + ( a- d)2 = (a-d)2
Lời giải:
Vì a,b,c và d theo thứ tự lập thành cấp số nhân nên ta có:
a.d= bc; ac = b2 và bd= c2
Ta có:
Câu 3: Cho a, b và c theo thứ tự lập thành cấp số nhân. Chứng minh:
Lời giải:
* Do a,b và c theo thứ tự lập thành cấp số nhân nên ta có:
* Ta có:
Câu 4: Cho ba số dương a,b,c lập thành cấp số nhân. Chứng minh:
cũng lập thành cấp số nhân.
Lời giải:
* Ta có a, b và c theo thứ tự lập thành cấp số nhân nên: ac= b2 *Ta phải chứng minh:
Câu 5: Cho (un) là cấp số nhân và các số nguyên dương m; k ( m < k). Chứng minh: uk-m . uk+m = uk2
Lời giải:
Ta có :
Câu 6: Cho 3 số a,b, c là 3 số hạng liên tiếp của cấp số nhân. Chứng minh: (a2+ b2). (b2 + c2)= ( ab+ bc)2
Lời giải:
Do 3 số a, b, c là 3 số hạng liên tiếp của cấp số nhân. Gọi q là công bội của cấp số nhân ta có: b= aq và c= aq2
• Từ (1) và (2) ta suy ra .( đpcm)
Câu 7: Cho a, b, c là cấp số cộng thỏa mãn: . Chứng minh tan a; tanb và tan c theo thứ tự đó lập thành cấp số nhân.
Lời giải:
* Ta có a, b và c theo thứ tự lập thành cấp số cộng nên a + c= 2b.
Lại có:
Suy ra
* Ta có
Vậy tan a. tan c= tan2
=> tana; tanb; tanc theo thứ tự đó lập thành cấp số nhân.
(199k) Xem Khóa học Toán 11 KNTTXem Khóa học Toán 11 CDXem Khóa học Toán 11 CTST
Xem thêm các dạng bài tập Toán lớp 11 có trong đề thi THPT Quốc gia khác:
- Cách chứng minh một dãy số là cấp số nhân (cực hay có lời giải)
- Cách tìm số hạng đầu tiên, công bội, số hạng thứ k của cấp số nhân cực hay
- Cách tính tổng n số hạng đầu tiên của cấp số nhân (cực hay có lời giải)
- Tìm điều kiện để dãy số lập thành cấp số nhân cực hay
- Bài toán thực tế về cấp số nhân (cực hay có lời giải)
- Bài tập về cấp số nhân nâng cao (cực hay có lời giải)
Tủ sách VIETJACK shopee lớp 10-11 (cả 3 bộ sách):
Đã có app VietJack trên điện thoại, giải bài tập SGK, SBT Soạn văn, Văn mẫu, Thi online, Bài giảng....miễn phí. Tải ngay ứng dụng trên Android và iOS.
Theo dõi chúng tôi miễn phí trên mạng xã hội facebook và youtube:Nếu thấy hay, hãy động viên và chia sẻ nhé! Các bình luận không phù hợp với nội quy bình luận trang web sẽ bị cấm bình luận vĩnh viễn.
- Giải Tiếng Anh 11 Global Success
- Giải sgk Tiếng Anh 11 Smart World
- Giải sgk Tiếng Anh 11 Friends Global
- Lớp 11 - Kết nối tri thức
- Soạn văn 11 (hay nhất) - KNTT
- Soạn văn 11 (ngắn nhất) - KNTT
- Giải sgk Toán 11 - KNTT
- Giải sgk Vật Lí 11 - KNTT
- Giải sgk Hóa học 11 - KNTT
- Giải sgk Sinh học 11 - KNTT
- Giải sgk Lịch Sử 11 - KNTT
- Giải sgk Địa Lí 11 - KNTT
- Giải sgk Giáo dục KTPL 11 - KNTT
- Giải sgk Tin học 11 - KNTT
- Giải sgk Công nghệ 11 - KNTT
- Giải sgk Hoạt động trải nghiệm 11 - KNTT
- Giải sgk Giáo dục quốc phòng 11 - KNTT
- Giải sgk Âm nhạc 11 - KNTT
- Lớp 11 - Chân trời sáng tạo
- Soạn văn 11 (hay nhất) - CTST
- Soạn văn 11 (ngắn nhất) - CTST
- Giải sgk Toán 11 - CTST
- Giải sgk Vật Lí 11 - CTST
- Giải sgk Hóa học 11 - CTST
- Giải sgk Sinh học 11 - CTST
- Giải sgk Lịch Sử 11 - CTST
- Giải sgk Địa Lí 11 - CTST
- Giải sgk Giáo dục KTPL 11 - CTST
- Giải sgk Hoạt động trải nghiệm 11 - CTST
- Giải sgk Âm nhạc 11 - CTST
- Lớp 11 - Cánh diều
- Soạn văn 11 Cánh diều (hay nhất)
- Soạn văn 11 Cánh diều (ngắn nhất)
- Giải sgk Toán 11 - Cánh diều
- Giải sgk Vật Lí 11 - Cánh diều
- Giải sgk Hóa học 11 - Cánh diều
- Giải sgk Sinh học 11 - Cánh diều
- Giải sgk Lịch Sử 11 - Cánh diều
- Giải sgk Địa Lí 11 - Cánh diều
- Giải sgk Giáo dục KTPL 11 - Cánh diều
- Giải sgk Tin học 11 - Cánh diều
- Giải sgk Công nghệ 11 - Cánh diều
- Giải sgk Hoạt động trải nghiệm 11 - Cánh diều
- Giải sgk Giáo dục quốc phòng 11 - Cánh diều
- Giải sgk Âm nhạc 11 - Cánh diều


Giải bài tập SGK & SBT
Tài liệu giáo viên
Sách
Khóa học
Thi online
Hỏi đáp

