15 Bài tập Cấp số nhân nâng cao có lời giải
Bài viết 15 Bài tập Cấp số nhân nâng cao có lời giải gồm các dạng bài tập về Cấp số nhân nâng cao lớp 11 từ cơ bản đến nâng cao giúp học sinh lớp 11 biết cách làm bài tập Cấp số nhân nâng cao.
15 Bài tập Cấp số nhân nâng cao có lời giải
(199k) Xem Khóa học Toán 11 KNTTXem Khóa học Toán 11 CDXem Khóa học Toán 11 CTST
A. Ví dụ minh họa
Ví dụ 1: Tìm a, b biết rằng 1,a,b là 3 số hạng liên tiếp của cấp số cộng và 1; a2; b2 là 3 số hạng liên tiếp của một cấp số nhân .Tính a+ b?
Hướng dẫn giải:
Theo đề bài ta có hệ phương trình:
Từ (2) suy ra: b = ± a2
* Với b = a2 thay vào (1) được :
*Với b = −a2 thay vào (1) được:
+ Nếu
Khi đó: a + b = −4 + 3√2
+ Nếu
Khi đó; a + b = −4 − 3√2
Chọn D.
Ví dụ 2: Cho bốn số hạng liên tiếp của một cấp số nhân, trong đó số hạng thứ hai nhỏ hơn số hạng thứ nhất 35, còn số hạng thứ ba lớn hơn số hạng thứ tư 560. Tìm số hạng thứ 4?
Hướng dẫn giải:
Theo đề bài ta có hệ phương trình:
Thay (1) vào (2) ta được:
* Với q= 4 thay vào (1) được
* Với q= - 4 thay vào (1) ta được :
Vậy số hạng thứ tư của cấp số nhân là:
Chọn D.
Ví dụ 3: Cho bốn số nguyên dương, trong đó ba số đầu lập thành một cấp số cộng, ba số hạng sau thành lập cấp số nhân. Biết rằng tổng của số hạng đầu và số hạng cuối là 37, tổng của hai số hạng giữa là 36. Tìm số hạng thứ tư.
Hướng dẫn giải:
Gọi bốn số nguyên dương cần tìm là: a, b, c, d.
* Theo đề bài có a, b, c là ba số hạng liên tiếp của cấp số cộng.
=> a + c = 2b (1)
* Ba số hạng b, c, d là ba số hạng liên tiếp của cấp số nhân.
=> bd = c2 ( 2)
* Theo giả thiết ta có hệ phương trình:
* Từ (4) có: b= 36- c thay vào (1) được:
a+ c = 72- 2c ⇔ a = 72- 3c, thay a vào (3) được:
d = 37- 72 + 3c ⇔ d = - 35 + 3c.
* Thay b, d vào (2) được:
Với c = 20 => b = 16,a = 12,d = 95.
Với ( loại- vì bốn số đó là các số nguyên dương)
Chọn B.
Ví dụ 4: Ba số khác nhau có tổng là 217 có thể coi là các số hạng liên tiếp của một cấp số nhân hoặc là các số hạng thứ 2 thứ 9 và thứ 44 của một cấp số cộng. Hỏi phải lấy bao nhiêu số hạng đầu tiên của cấp số cộng để tổng của chúng là 820?
Hướng dẫn giải:
Gọi u1; u2; u3 là ba số hạng liên tiếp của cấp số nhân, với công bội là q.
Theo đề bài u1 = a2, u2 = a9 , u3 = a44 với a2, a9, a44 là các số hạng của một cấp số cộng với công sai d.
Ta có
Lấy phương trình (1) – (2) được:
Vì u1; u2; u3 khác nhau nên chọn q= 5..
Theo đề bài có:
Mà q = 5 => u1 = 7
Suy ra u2 = u1q = 35.
Ta có
Theo đề bài ta có:Sn = 820 nên
Kết luận phải lấy 20 số hạng đầu tiên để tổng của chúng bằng 820.
Chọn A.
Ví dụ 5: Cho cấp số nhân (un) có u1 = 2 và u1 − 12u2 − 6u3 đạt giá trị lớn nhất. Tìm số hạng thứ 8 của cấp số nhân đã cho.
Hướng dẫn giải:
* Trước tiên ta đi tìm công bội của cấp số nhân.
Gọi q là công bội của cấp số nhân (un)
Ta có
Do đó để u1 − 12u2 − 6u3 đạt giá trị lớn nhất thì q = -1.
* Số hạng thứ 8 của cấp số nhân đã cho là: u8= u1.q7 = 2.(-1)7 = - 2.
Chọn C .
Ví dụ 6: Tính các cạnh của 1 hình hộp chữ nhật; biết thể tích của nó là a3 ; diện tích toàn phần là 6a2 và 3 cạnh lập thành cấp số nhân?
Hướng dẫn giải:
Gọi x;y;z là 3 canh của hình hộp chữ nhật.
Theo giả thiết ta có:
V=xyz nên
Do đó q = 1
Khi đó 3 cạnh của hình hộp chữ nhật là a;a;a.
Chọn D.
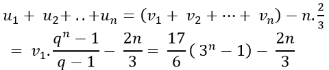
Ví dụ 7: Cho dãy số (un) thỏa mãn . Giá trị nhỏ nhất của n để
là
Hướng dẫn giải:
Ta có
Đặt
=> (vn) là cấp số nhân với và công bội q= 3.
Suy ra:
Yêu cầu bài toán trở thành:
Vậy giá trị nhỏ nhất của n thỏa mãn bài toán là n = 146.
Chọn D.
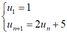
Ví dụ 8: Cho dãy số (un) xác định bởi .Tính số hạng thứ 2018 của dãy.
Hướng dẫn giải:
Ta có
Đặt:
Khi đó ta được dãy mới; là cấp số nhân với : v1 = 6 và q = 2
Chọn D.
B. Bài tập trắc nghiệm
Câu 1: Cho ba số dương có tổng 65 lập thành một cấp số nhân tăng. Nếu bớt 1 đơn vị ở số hạng thứ nhất và 19 đơn vị ở số hạng thứ ba ta được một cấp số cộng. Tính tích của ba số đó?
Lời giải:
Đáp án: C
Gọi u1; u2; u3 theo thứ tự lập thành một cấp số nhân.
Theo đề: u1 − 1; u2 ; u3 − 19 theo thứ tự đó lập thành một cấp số cộng. Do đó, ta có hệ phương trình sau:
Lấy (1) chia (2) vế chia vế ta được
Vì u1; u2; u3 theo thứ tự lập thành cấp số nhân tăng dần nên chọn q = 3 => u1 = 5
Vậy u1 = 5; u2 = 15 và u3 = 45 . Tích ba số đó là: 5.15.45= 3375.
Câu 2: Tìm công bội của một cấp số nhân có số hạng đầu là 7; số hạng cuối là 448 và tổng số các số hạng là 889.
Lời giải:
Đáp án: A
Theo đề bài ta có
Thế (3) vào (2) ta được : 448q − u1 = 889(q − 1) (*)
Thay u1 = 7 vào (*) ta được :
Vậy công bội của cấp số nhân là q = 2.
Câu 3: Một cấp số cộng và một cấp số nhân đều là các dãy tăng. Các số hạng thứ nhất của hai dãy số đều bằng 3; các số hạng thứ hai bằng nhau. Tỉ số giữa các số hạng thứ ba của cấp số nhân và cấp số cộng là . Tìm ba số hạng của cấp số nhân.
Lời giải:
Đáp án: C
Gọi u1; u2; u3 là ba số hạng liên tiếp của cấp số cộng có công sai d.
Gọi a1; a2; a3 là ba số hạng liên tiếp của cấp số nhân có công bội q.
Theo đề bài ta có hệ phương trình:
Ta có (2) ⇔ 15q2 = 27 + 18d thay (1) vào ta được:
Vì cấp số nhân là dãy tăng nên ta chọn q = 3 .
=> ba số hạng của cấp số nhân là: 3; 9; 27.
Câu 4: Ba số khác nhau có tổng bằng 114 là ba số hạng liên tiếp của một cấp số nhân, hoặc coi là số hạng thứ nhất, thứ tư và thứ hai mươi lăm của một cấp số cộng. Tìm số lớn nhất trong 3 số đó?
Lời giải:
Đáp án: C
Gọi u1; u2; u3 là ba số hạng liên tiếp của cấp số nhân, với công bội là q.
Theo đề bài: u1 = a1, u2 = a4, u3 = a25, với a1, a4, a25 là các số hạng của một cấp số cộng với công sai d.
Ta có:
Lấy phương trình (1) – (2) được:
Vì u1; u2; u3 khác nhau nên chọn q = 7.
Theo đề bài có:
Kết luận ba số cần tìm: u = 2, u2 = 14, u3 = 98.
Câu 5: Một cấp số cộng và cấp số nhân đều có số hạng đầu tiên là bằng 5, số hạng thứ hai của cấp số cộng lớn hơn số hạng thứ hai của cấp số nhân là 10, còn các số hạng thứ 3 của hai cấp số thì bằng nhau. Tìm số hạng thứ ba của cấp số nhân.
Lời giải:
Đáp án: D
Gọi u1; u2; u3 là ba số hạng đầu tiên liên tiếp của cấp số cộng, với công sai d.
Gọi a1; a2; a3 là ba số hạng đầu tiên liên tiếp của cấp số nhân, với công bội q.
Theo đề bài ta có:
Thế (1) vào (2) được:
* Với q = 3 => d = 20.
=> a1 = 5; a2= 15 và a3 = 45.
Với q = -1 => a1 = 5, a2 = - 5, a3 = 5.
Vậy số hạng thứ ba của cấp số nhân là 45 hoặc 5.
Câu 6: Ba số x, y, z theo thứ tự đó lập thành một cấp số nhân với công bội q (q ≠ 1), đồng thời các số x, 2y, 3z theo thứ tự đó lập thành một cấp số cộng với công sai d(d ≠ 0). Hãy tìm q?
Lời giải:
Đáp án: A
* Do ba số x, y,z theo thứ tự lập thành cấp số nhân nên:
* Do các số x, 2y, 3z theo thứ tự lập thành cấp số cộng nên ta có:
x + 3z = 2.2y thay (1) vào ta được:
x+ 3xq2 = 4xq mà x ≠ 0 nên:
Vậy công bội
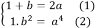
Câu 7: Cho a,b,c là ba số hạng liên tiếp của một cấp số cộng và b,c,a là ba số hạng liên tiếp của một cấp số nhân, đồng thời a.b.c= 125. Tính a. b
Lời giải:
Đáp án: D
* Do a,b, c là ba số hạng liên tiếp của cấp số cộng nên: a + c = 2b
* b,c, a là ba số hạng liên tiếp của một cấp số nhân, nên ba = c2
Ta có hệ phương trình:
Thay (2) vào (3) được: c3 = 125 => c= 5
Thay c = 5 vào (1) và (2):
Vậy a= b= c= 5 hoặc a= - 10; ;c=5
=> Tích a . b bằng 25.
Câu 8: Có bao nhiêu giá trị của m để phương trình: x3 + (5 − m)x2 + (6 − 5m)x − 6m = 0 có 3 nghiệm phân biệt lập thành cấp số nhân ?
Lời giải:
Đáp án: C
* Ta có: x3 + (5 − m)x2 + (6 − 5m)x − 6m = 0
* Để phương trình đã cho có ba nghiệm phân biệt khi và chỉ khi:
* Do các nghiệm này lập thành cấp số nhân và ta sắp xếp các nghiệm này theo thứ tự tăng dần được các dãy số sau:
- 3; -2; m lập thành cấp số nhân
- 3; m; - 2 lập thành cấp số nhân
m; -3; - 2lập thành cấp số nhân
Vậy có 4 giá trị của m thỏa mãn đầu bài.
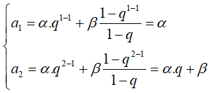
Câu 9: Cho dãy số (an) xác định bởi a1, an + 1 = q.an + 3 với mọi n ≥ 1 trong đó q là hằng số, a ≠ 0, q ≠ 1. Biết công thức số hạng tổng quát của dãy số viết được dưới dạng .Tính α + 2β
Lời giải:
Đáp án: C
Ta có:
Đặt
Khi đó
Vậy
Do đó:
Cách 2.
Theo giả thiết ta có a1 = 5, a2 = 5q + 3 Áp dụng công thức tổng quát, ta được
Suy ra hay
α + 2β = 5 + 2.3 = 11
(199k) Xem Khóa học Toán 11 KNTTXem Khóa học Toán 11 CDXem Khóa học Toán 11 CTST
Xem thêm các dạng bài tập Toán lớp 11 có trong đề thi THPT Quốc gia khác:
- Cách chứng minh một dãy số là cấp số nhân (cực hay có lời giải)
- Cách tìm số hạng đầu tiên, công bội, số hạng thứ k của cấp số nhân cực hay
- Cách tính tổng n số hạng đầu tiên của cấp số nhân (cực hay có lời giải)
- Tìm điều kiện để dãy số lập thành cấp số nhân cực hay
- Cách chứng minh đẳng thức dựa vào tính chất của cấp số nhân cực hay
- Bài toán thực tế về cấp số nhân (cực hay có lời giải)
Tủ sách VIETJACK shopee lớp 10-11 (cả 3 bộ sách):
Đã có app VietJack trên điện thoại, giải bài tập SGK, SBT Soạn văn, Văn mẫu, Thi online, Bài giảng....miễn phí. Tải ngay ứng dụng trên Android và iOS.
Theo dõi chúng tôi miễn phí trên mạng xã hội facebook và youtube:Nếu thấy hay, hãy động viên và chia sẻ nhé! Các bình luận không phù hợp với nội quy bình luận trang web sẽ bị cấm bình luận vĩnh viễn.
- Giải Tiếng Anh 11 Global Success
- Giải sgk Tiếng Anh 11 Smart World
- Giải sgk Tiếng Anh 11 Friends Global
- Lớp 11 - Kết nối tri thức
- Soạn văn 11 (hay nhất) - KNTT
- Soạn văn 11 (ngắn nhất) - KNTT
- Giải sgk Toán 11 - KNTT
- Giải sgk Vật Lí 11 - KNTT
- Giải sgk Hóa học 11 - KNTT
- Giải sgk Sinh học 11 - KNTT
- Giải sgk Lịch Sử 11 - KNTT
- Giải sgk Địa Lí 11 - KNTT
- Giải sgk Giáo dục KTPL 11 - KNTT
- Giải sgk Tin học 11 - KNTT
- Giải sgk Công nghệ 11 - KNTT
- Giải sgk Hoạt động trải nghiệm 11 - KNTT
- Giải sgk Giáo dục quốc phòng 11 - KNTT
- Giải sgk Âm nhạc 11 - KNTT
- Lớp 11 - Chân trời sáng tạo
- Soạn văn 11 (hay nhất) - CTST
- Soạn văn 11 (ngắn nhất) - CTST
- Giải sgk Toán 11 - CTST
- Giải sgk Vật Lí 11 - CTST
- Giải sgk Hóa học 11 - CTST
- Giải sgk Sinh học 11 - CTST
- Giải sgk Lịch Sử 11 - CTST
- Giải sgk Địa Lí 11 - CTST
- Giải sgk Giáo dục KTPL 11 - CTST
- Giải sgk Hoạt động trải nghiệm 11 - CTST
- Giải sgk Âm nhạc 11 - CTST
- Lớp 11 - Cánh diều
- Soạn văn 11 Cánh diều (hay nhất)
- Soạn văn 11 Cánh diều (ngắn nhất)
- Giải sgk Toán 11 - Cánh diều
- Giải sgk Vật Lí 11 - Cánh diều
- Giải sgk Hóa học 11 - Cánh diều
- Giải sgk Sinh học 11 - Cánh diều
- Giải sgk Lịch Sử 11 - Cánh diều
- Giải sgk Địa Lí 11 - Cánh diều
- Giải sgk Giáo dục KTPL 11 - Cánh diều
- Giải sgk Tin học 11 - Cánh diều
- Giải sgk Công nghệ 11 - Cánh diều
- Giải sgk Hoạt động trải nghiệm 11 - Cánh diều
- Giải sgk Giáo dục quốc phòng 11 - Cánh diều
- Giải sgk Âm nhạc 11 - Cánh diều


Giải bài tập SGK & SBT
Tài liệu giáo viên
Sách
Khóa học
Thi online
Hỏi đáp

