Cách chứng minh một dãy số là cấp số nhân (cực hay có lời giải)
Bài viết Cách chứng minh một dãy số là cấp số nhân với phương pháp giải chi tiết giúp học sinh ôn tập, biết cách làm bài tập Cách chứng minh một dãy số là cấp số nhân.
Cách chứng minh một dãy số là cấp số nhân (cực hay có lời giải)
(199k) Xem Khóa học Toán 11 KNTTXem Khóa học Toán 11 CDXem Khóa học Toán 11 CTST
A. Phương pháp giải
Cách 1. Chứng minh ∀n ≥ 1; un+1 = un q trong đó q là một số không đổi.
Cách 2. Nếu un ≠ 0 với mọi n thì ta lập tỉ số
T là hằng số thì (un) là cấp số nhân có công bội q = T.
T phụ thuộc vào n thì (un) không là cấp số nhân.
Cách 3. Chỉ ra tồn tại số k ≥ 2 sao cho:
B. Ví dụ minh họa
Ví dụ 1: Cho dãy số (un) xác định bởi: un= 22n+1. Chứng minh (un) là cấp số nhân
Hướng dẫn giải:
Ta có:
Xét tỉ số
=> Dãy số (un) là cấp số nhân với công bội q = 4.
Ví dụ 2: Cho dãy số (un) xác định bởi: un = (-1)n.(-3)n+1. Chứng minh (un) là cấp số nhân.
Hướng dẫn giải:
Ta có:
Xét tỉ số
=> Dãy số (un) là cấp số nhân với công bội q = 3.
Ví dụ 3: Cho dãy số (un) xác định bởi . Chứng minh dãy số (un) không phải là cấp số nhân
Hướng dẫn giải:
Ta có
Xét tỉ số:
=> Dãy số (un) không là cấp số nhân.
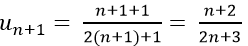
Ví dụ 4: Cho dãy số (un) xác định bởi un = 2n+ 10. Chứng minh dãy số (un) không là cấp số nhân.
Hướng dẫn giải:
Ta có:
=> dãy số (un) không là cấp số nhân.
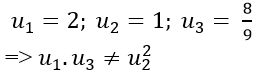
Ví dụ 5: Cho dãy số (un) xác định bởi . Chứng minh rằng dãy số (un) là cấp số nhân?
Hướng dẫn giải:
* Ta có:
* Do đó có: u1 = u3 = u5 =...= u2n+ 1 = ... (1)
Và u2 = u4 = u6 = ...= u2n = ... (2)
Theo đề bài có
Từ (1), (2) ,(3) suy ra u1= u2 = u3 =...= u2n = u2n+ 1 =....
Kết luận (un) là cấp số nhân với công bội q = 1.
Ví dụ 6: Cho dãy số (un) được xác định bởi un = 30. Chứng minh rằng ( un) là cấp số nhân.
Hướng dẫn giải:
Ta có:
=> (un) là cấp số nhân với q = 1.
Ví dụ 7: Cho dãy số (un) xác định bởi . Chứng minh dãy số (un) là cấp số nhân.
Hướng dẫn giải:
Ta có:
Xét tỉ số:
=> dãy số (un) là cấp số nhân với
C. Bài tập trắc nghiệm
Câu 1: Cho dãy số (un): . Chứng minh dãy số (un) là cấp số nhân.
Lời giải:
Ta có:
Và
=> dãy số trên là cấp số nhân với
Câu 2: Cho dãy số (un) xác định bởi: . Chứng minh dãy số (un) là cấp số nhân.
Lời giải:
Ta có:
Xét tỉ số
=> (un) là cấp số nhân.
Câu 3: Cho dãy số (un) xác định bởi: un = 10n + 10. Chứng minh dãy số (un) không là cấp số nhân.
Lời giải:
Ta có:
Xét tỉ số: phụ thuộc vào n.
=> Dãy số (un) không là cấp số nhân.
Câu 4: Cho dãy số (un) xác định bởi . Chứng minh (un) là cấp số nhân.
Lời giải:
Ta có:
Xét tỉ số:
=> (un) là cấp số nhân.
Câu 5: Cho dãy số (un) xác định bởi : un= n. 2n. Chứng minh dãy số (un) không là cấp số nhân.
Lời giải:
Ta có;
Xét tỉ số:
=> Dãy số (un) không là cấp số nhân.
Câu 6: Cho dãy số (un) được xác định bởi. Đặt vn= un + 3. Chứng minh (vn) là cấp số nhân.
Lời giải:
Ta có: vn = un+ 3 ( 1) nên vn+1 = un+1 + 3 (2).
Theo đề bài: un+1 = 4un + 9 => un+1 + 3 = 4un + 9 + 3 = 4( un + 3) (3)
Thay (1) và (2) vào (3) được: vn+1 = 4vn ∀n ≥ 1
Kết luận (vn) là cấp số nhân với công bội q = 4 và số hạng đầu v1 = u1 + 3 = 5.
Câu 7: Cho dãy số (un) xác định bởi . Chứng minhh rằng dãy số (un) không là cấp số nhân.
Lời giải:
Ta có:
Suy ra dãy số (un) đã cho không là cấp số nhân.
D. Bài tập tự luyện
Bài 1. Chứng minh rằng mỗi dãy số (un) sau là một cấp số nhân. Hãy tìm số hạng đầu và công bội của nó.
a) un = ; b) un = .
Bài 2. Chứng minh mỗi dãy số (un) với mỗi số hạng tổng quát như sau là cấp số nhân:
a) un = (-0,75)n b) un = .
Bài 3. Cho dãy (un) với u1 = 1; un = 5un-1 - 3 (n ≥ 2); lập dãy vn = un - 18.
Chứng minh (vn) là một cấp số nhân.
Bài 4. Cho dãy (un) được xác định như sau:
Lập dãy (vn) với vn = un+1 – un. Chứng minh (vn) là một cấp số nhân.
Bài 5. Chứng minh rằng dãy số hữu hạn sau là một cấp số nhân:
(199k) Xem Khóa học Toán 11 KNTTXem Khóa học Toán 11 CDXem Khóa học Toán 11 CTST
Xem thêm các dạng bài tập Toán lớp 11 có trong đề thi THPT Quốc gia khác:
- Cách tìm số hạng đầu tiên, công sai, số hạng thứ k của cấp số cộng cực hay
- Cách tính tổng n số hạng đầu tiên của cấp số cộng (cực hay có lời giải)
- Tìm điều kiện để dãy số lập thành cấp số cộng cực hay
- Cách chứng minh đẳng thức dựa vào tính chất của cấp số cộng cực hay
- Cách tìm số hạng đầu tiên, công bội, số hạng thứ k của cấp số nhân cực hay
- Cách tính tổng n số hạng đầu tiên của cấp số nhân (cực hay có lời giải)
Tủ sách VIETJACK shopee lớp 10-11 (cả 3 bộ sách):
Đã có app VietJack trên điện thoại, giải bài tập SGK, SBT Soạn văn, Văn mẫu, Thi online, Bài giảng....miễn phí. Tải ngay ứng dụng trên Android và iOS.
Theo dõi chúng tôi miễn phí trên mạng xã hội facebook và youtube:Nếu thấy hay, hãy động viên và chia sẻ nhé! Các bình luận không phù hợp với nội quy bình luận trang web sẽ bị cấm bình luận vĩnh viễn.
- Giải Tiếng Anh 11 Global Success
- Giải sgk Tiếng Anh 11 Smart World
- Giải sgk Tiếng Anh 11 Friends Global
- Lớp 11 - Kết nối tri thức
- Soạn văn 11 (hay nhất) - KNTT
- Soạn văn 11 (ngắn nhất) - KNTT
- Giải sgk Toán 11 - KNTT
- Giải sgk Vật Lí 11 - KNTT
- Giải sgk Hóa học 11 - KNTT
- Giải sgk Sinh học 11 - KNTT
- Giải sgk Lịch Sử 11 - KNTT
- Giải sgk Địa Lí 11 - KNTT
- Giải sgk Giáo dục KTPL 11 - KNTT
- Giải sgk Tin học 11 - KNTT
- Giải sgk Công nghệ 11 - KNTT
- Giải sgk Hoạt động trải nghiệm 11 - KNTT
- Giải sgk Giáo dục quốc phòng 11 - KNTT
- Giải sgk Âm nhạc 11 - KNTT
- Lớp 11 - Chân trời sáng tạo
- Soạn văn 11 (hay nhất) - CTST
- Soạn văn 11 (ngắn nhất) - CTST
- Giải sgk Toán 11 - CTST
- Giải sgk Vật Lí 11 - CTST
- Giải sgk Hóa học 11 - CTST
- Giải sgk Sinh học 11 - CTST
- Giải sgk Lịch Sử 11 - CTST
- Giải sgk Địa Lí 11 - CTST
- Giải sgk Giáo dục KTPL 11 - CTST
- Giải sgk Hoạt động trải nghiệm 11 - CTST
- Giải sgk Âm nhạc 11 - CTST
- Lớp 11 - Cánh diều
- Soạn văn 11 Cánh diều (hay nhất)
- Soạn văn 11 Cánh diều (ngắn nhất)
- Giải sgk Toán 11 - Cánh diều
- Giải sgk Vật Lí 11 - Cánh diều
- Giải sgk Hóa học 11 - Cánh diều
- Giải sgk Sinh học 11 - Cánh diều
- Giải sgk Lịch Sử 11 - Cánh diều
- Giải sgk Địa Lí 11 - Cánh diều
- Giải sgk Giáo dục KTPL 11 - Cánh diều
- Giải sgk Tin học 11 - Cánh diều
- Giải sgk Công nghệ 11 - Cánh diều
- Giải sgk Hoạt động trải nghiệm 11 - Cánh diều
- Giải sgk Giáo dục quốc phòng 11 - Cánh diều
- Giải sgk Âm nhạc 11 - Cánh diều


Giải bài tập SGK & SBT
Tài liệu giáo viên
Sách
Khóa học
Thi online
Hỏi đáp

