Giới hạn của dãy số và cách giải các dạng bài tập (hay, chi tiết)
Bài viết Giới hạn của dãy số và cách giải các dạng bài tập sẽ giúp học sinh nắm vững lý thuyết, biết cách làm bài tập từ đó có kế hoạch ôn tập hiệu quả để đạt kết quả cao trong các bài thi môn Toán 11.
Giới hạn của dãy số và cách giải các dạng bài tập
(199k) Xem Khóa học Toán 11 KNTTXem Khóa học Toán 11 CDXem Khóa học Toán 11 CTST
1. Lý thuyết
a) Dãy số có giới hạn 0
Ta nói rằng dãy số (un) có giới hạn là 0 khi n dần tới dương vô cực, nếu với mỗi số dương nhỏ tùy ý cho trước, mọi số hạng của dãy số kể từ một số hạng nào đó trở đi, |un| nhỏ hơn số dương đó.
Kí hiệu: hay lim un = 0 hay un → 0 khi n → +∞.
b) Dãy số có giới hạn hữu hạn
Ta nói rằng dãy số (un) có giới hạn là số thực L nếu lim (un – L) = 0
Kí hiệu: hay lim un = L hay un → L khi n → +∞.
c) Dãy số có giới hạn vô cực
Dãy số (un) có giới hạn là +∞ khi n → +∞, nếu un có thể lớn hơn một số dương bất kì kể từ một số hạng nào đó trở đi.
Ký hiệu : lim un = +∞ hoặc un → +∞ khi n → +∞
Dãy số (un) có giới hạn là −∞ khi n → +∞ , nếu lim(−un) = +∞
Ký hiệu : lim un = −∞ hoặc un → −∞ khi n → +∞
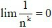
d) Một vài giới hạn đặc biệt
lim un = 0 ⇔ lim|un| = 0
;
,(k > 0, k ∈ ℕ*); lim nk = +∞,(k > 0, k ∈ ℕ*)
e) Định lý về giới hạn hữu hạn
* Nếu lim un = a và lim vn = b và c là hằng số. Khi đó ta có :
lim(un + vn) = a + b
lim(un - vn) = a - b
lim(un vn) = a.b
lim(cun ) = c.a
lim|un | = |a|
Nếu un ≥ 0 với mọi n thì a ≥ 0 và
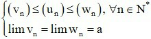
* Định lí kẹp: Cho ba dãy số (vn); (un) và (wn):
Nếu thì lim un = a.
Hệ quả: Cho hai dãy số (un) và (vn):
Nếu thì lim un = 0.
f) Một vài quy tắc tìm giới hạn vô cực
* Quy tắc tìm giới hạn tích lim (unvn)
Nếu lim un = L ≠ 0, lim vn = +∞ (hay −∞). Khi đó: lim (unvn)
|
lim un = L |
lim vn |
lim (unvn) |
|
+ |
+∞ |
+∞ |
|
+ |
−∞ |
−∞ |
|
- |
+∞ |
−∞ |
|
- |
−∞ |
+∞ |
* Quy tắc tìm giới hạn thương
|
lim un = L |
lim vn |
Dấu của vn |
|
|
L |
±∞ |
Tùy ý |
0 |
|
L > 0 |
0 |
+ |
+∞ |
|
0 |
- |
−∞ |
|
|
L < 0 |
0 |
+ |
−∞ |
|
0 |
- |
+∞ |
g) Tổng cấp số nhân lùi vô hạn
Xét cấp số nhân vô hạn u1; u1q; u1q2; … u1qn; … có công bội |q| < 1 được gọi là cấp số nhân lùi vô hạn.
Tổng của cấp số nhân lùi vô hạn là:
2. Các dạng toán
Dạng 1. Tính giới hạn sử dụng một vài giới hạn đặc biệt
Phương pháp giải:
Sử dụng các giới hạn đặc biệt:
lim un = 0 ⇔ lim|un| = 0
;
,(k > 0, k ∈ ℕ*); lim nk = +∞,(k > 0, k ∈ ℕ*)
Ví dụ minh họa:
Ví dụ 1: Tính các giới hạn sau:
Lời giải
Áp dụng công thức tính giới hạn đặc biệt, ta có:
Ví dụ 2: Tính các giới hạn sau:
c) lim (-0,999)n
Lời giải
c) lim (-0,999)n = 0 vì |-0,999| < 1.
Dạng 2. Tính giới hạn hữu hạn của phân thức
Phương pháp giải:
Trường hợp lũy thừa của n: Chia cả tử và và mẫu cho nk (với nk là lũy thừa với số mũ lớn nhất).
Trường hợp lũy thừa mũ n: Chia cả tử và mẫu cho lũy thừa có cơ số lớn nhất.
Sử dụng một vài giới hạn đặc biệt:
lim un = 0 ⇔ lim|un| = 0
;
,(k > 0, k ∈ ℕ*); lim nk = +∞,(k > 0, k ∈ ℕ*)
Ví dụ minh họa:
Ví dụ 1: Tính các giới hạn sau
Lời giải
Ví dụ 2: Tính các giới hạn sau:
Lời giải
Dạng 3: Tính giới hạn hữu hạn sử dụng phương pháp liên hợp
Phương pháp giải: Sử dụng các công thức liên hợp (thường sử dụng trong các bài toán chứa căn)
Ví dụ minh họa:
Ví dụ 1: Tính các giới hạn sau:
Lời giải
Ví dụ 2: Tính giới hạn sau:
Lời giải
Dạng 4: Tính giới hạn ra vô cực dạng chứa đa thức hoặc căn thức
Phương pháp giải:
Rút bậc lớn nhất của đa thức làm nhân tử chung.
Sử dụng quy tắc giới hạn tới vô cực lim (unvn)
Nếu un = L ≠ 0, lim vn = +∞ (hay −∞). Khi đó: lim (unvn)
|
lim un = L |
lim vn |
lim (unvn) |
|
+ |
+∞ |
+∞ |
|
+ |
−∞ |
−∞ |
|
- |
+∞ |
−∞ |
|
- |
−∞ |
+∞ |
Ví dụ minh họa:
Ví dụ 1: Tính các giới hạn sau:
a) lim (n4 − 2n2 +3)
b) lim ( −2n3 + 3n − 1)
c) lim (5n − 2n)
Lời giải
a) lim (n4 − 2n2 +3) =
Vì lim n4 = +∞; .
b) lim ( −2n3 + 3n − 1) =
Vì lim n3 = +∞;
c) lim (5n − 2n) =
Vì lim 5n = +∞ và .
Ví dụ 2: Tính các giới hạn sau
Lời giải
Vì
Dạng 5: Tính giới hạn ra vô cực dạng phân thức
Phương pháp giải:
Rút bậc lớn nhất của tử và mẫu ra làm nhân tử chung.
Sử dụng quy tắc giới hạn tới vô cực lim (unvn)
Nếu lim un = L ≠ 0, lim vn = +∞ (hay −∞). Khi đó: lim (unvn)
|
lim un = L |
lim vn |
lim (unvn) |
|
+ |
+∞ |
+∞ |
|
+ |
−∞ |
−∞ |
|
- |
+∞ |
−∞ |
|
- |
−∞ |
+∞ |
Ví dụ minh họa:
Ví dụ 1: Tính các giới hạn sau:
Lời giải
Ví dụ 2: Tính giới hạn sau .
Lời giải
Dạng 6: Tính giới hạn sử dụng định lý kẹp
Phương pháp giải:
Sử dụng định lý kẹp và hệ quả của định lý kẹp
Định lí kẹp: Cho ba dãy số (vn); (un) và (wn): Nếu thì lim un = a
Hệ quả: Cho hai dãy số (un) và (vn): Nếu thì lim un = 0.
Ví dụ minh họa:
Ví dụ 1: Tính các giới hạn sau:
Lời giải
Ví dụ 2: Tính các giới hạn sau :
Lời giải
Dạng 7: Giới hạn dãy số có công thức truy hồi
Phương pháp giải:
Cho dãy số (un) ở dạng công thức truy hồi, biết (un) có giới hạn hữu hạn
Giả sử lim un = a (a là số thực) thì lim un+1 = a.
Thay a vào công thức truy hồi. Giải phương trình tìm a.
Ta được giới hạn của (un) là lim un = a.
Ví dụ minh họa:
Ví dụ 1: Tìm lim un biết (un) có giới hạn hữu hạn và (un): .
Lời giải
Giả sử lim un = a, khi đó lim un+1 = a
Suy ra ⇒ a2 + 2a = 2a + 3 ⇔ a2 = 3 ⇔
.
Do u1 = 1 > 0, ∀n ∈ ℕ* nên a > 0 ⇒
Vậy .
Ví dụ 2: Tìm lim un biết (un) có giới hạn hữu hạn và (un): .
Lời giải
Vì
Giả sử lim un = a (a > 0), khi đó lim un+1 = a
Suy ra
Vậy lim un = 2.
Dạng 8: Giới hạn của tổng vô hạn hoặc tích vô hạn
Phương pháp giải:
* Rút gọn (un) (sử dụng tổng cấp số cộng, cấp số nhân hoặc phương pháp làm trội)
* Rồi tìm lim un theo định lí hoặc dùng nguyên lí định lí kẹp.
* Định lí kẹp: Cho ba dãy số (vn); (un) và (wn): Nếu thì lim un = a
Hệ quả: Cho hai dãy số (un) và (vn): Nếu thì lim un = 0.
Ví dụ minh họa:
Ví dụ 1: Tính các giới hạn sau:
Lời giải
Xét tử số: Ta thấy 1; 2; 3; 4; … ; n là một dãy số thuộc cấp số cộng có n số hạng với u1 = 1 và d = 1.
Tổng n số hạng của cấp số cộng:
Xét mẫu số: Ta thấy 1; 3 ; 32 ; 33 ; … ; 3n là một dãy số thuộc cấp số nhân có (n+1) số hạng với u1 = 1 và q = 3.
Tổng (n + 1) số hạng của cấp số nhân:
(Bằng quy nạp ta luôn có n < 2n ,∀n ∈ ℕ* và 3n > 1, ∀n ∈ ℕ* ⇒ 3n+1 − 3n = 2.3n > 2 >1 ⇒ 3n+1 − 1 > 3n).
Ví dụ 2: Tính giới hạn sau:
Lời giải
Dạng 9: Tổng cấp số nhân lùi vô hạn
Phương pháp giải:
Tổng của cấp số nhân lùi vô hạn là:
Ví dụ minh họa:
Ví dụ 1: Tính tổng
Lời giải
a) là tổng cấp số nhân lùi vô hạn với u1 = 1 và
Nên
b) S = 1 + 0,9 + (0,9)2 + (0,9)3 +... là cấp số nhân lùi vô hạn với u1 = 1 và q = 0,9.
Nên
Ví dụ 2: Biểu diễn các số thập phân vô hạn tuần hoàn ra phân số:
a) a = 0,32111...
b) b = 2,151515...
Lời giải
a) Ta có a = 0,32111... =
Vì là tổng của cấp số nhân lùi vô hạn với
Nên
b) Ta có b = 2,151515... =
Vì là tổng của cấp số nhân lùi vô hạn với
Nên
3. Bài tập tự luyện
Câu 1. Trong các mệnh đề sau, mệnh đề nào là mệnh đề Sai?
Câu 2. Dãy số nào sau đây có giới hạn bằng 0?
Câu 3. Dãy số nào sau đây có giới hạn bằng 0?
Câu 4. Tính giới hạn bằng
A. 0. B. 1. C. +∞ . D. 2.
Câu 5. Cho dãy số (un) với. Khi đó lim un bằng
Câu 6. Cho dãy số (un) với. Khi đó lim un bằng
Câu 7. Tính bằng:
A. +∞ . B. −∞ . C. -1. D. 0.
Câu 8. Tính bằng:
Câu 9. Tính bằng:
Câu 10. Trong bốn giới hạn sau đây, giới hạn nào là 0 ?
Câu 11. Cho dãy số (un) được xác định bởi u1 = 1, với mọi n ≥ 1. Biết dãy số (un) có giới hạn hữu hạn, lim un bằng:
Câu 12. Giới hạn dãy số (un) với là.
Câu 13. Chọn kết quả đúng của
A. 5. B. . C. −∞ . D. +∞ .
Câu 14. Tổng bằng:
Câu 15. Biểu diễn số thập phân 1,24545454545… như một phân số:
Bảng đáp án
|
1 |
2 |
3 |
4 |
5 |
6 |
7 |
8 |
9 |
10 |
11 |
12 |
13 |
14 |
15 |
|
C |
D |
D |
A |
A |
B |
B |
C |
D |
D |
B |
A |
D |
B |
B |
(199k) Xem Khóa học Toán 11 KNTTXem Khóa học Toán 11 CDXem Khóa học Toán 11 CTST
Xem thêm phương pháp giải các dạng bài tập Toán lớp 11 có đáp án, hay khác:
- Giới hạn của hàm số và cách giải các dạng bài tập
- Hàm số liên tục và cách giải các dạng bài tập
- Cách tính đạo hàm bằng định nghĩa hay, chi tiết
- Quy tắc tính đạo hàm và cách giải bài tập
- Đạo hàm của hàm số lượng giác và cách giải
Tủ sách VIETJACK shopee lớp 10-11 (cả 3 bộ sách):
Đã có app VietJack trên điện thoại, giải bài tập SGK, SBT Soạn văn, Văn mẫu, Thi online, Bài giảng....miễn phí. Tải ngay ứng dụng trên Android và iOS.
Theo dõi chúng tôi miễn phí trên mạng xã hội facebook và youtube:Nếu thấy hay, hãy động viên và chia sẻ nhé! Các bình luận không phù hợp với nội quy bình luận trang web sẽ bị cấm bình luận vĩnh viễn.
- Giải Tiếng Anh 11 Global Success
- Giải sgk Tiếng Anh 11 Smart World
- Giải sgk Tiếng Anh 11 Friends Global
- Lớp 11 - Kết nối tri thức
- Soạn văn 11 (hay nhất) - KNTT
- Soạn văn 11 (ngắn nhất) - KNTT
- Giải sgk Toán 11 - KNTT
- Giải sgk Vật Lí 11 - KNTT
- Giải sgk Hóa học 11 - KNTT
- Giải sgk Sinh học 11 - KNTT
- Giải sgk Lịch Sử 11 - KNTT
- Giải sgk Địa Lí 11 - KNTT
- Giải sgk Giáo dục KTPL 11 - KNTT
- Giải sgk Tin học 11 - KNTT
- Giải sgk Công nghệ 11 - KNTT
- Giải sgk Hoạt động trải nghiệm 11 - KNTT
- Giải sgk Giáo dục quốc phòng 11 - KNTT
- Giải sgk Âm nhạc 11 - KNTT
- Lớp 11 - Chân trời sáng tạo
- Soạn văn 11 (hay nhất) - CTST
- Soạn văn 11 (ngắn nhất) - CTST
- Giải sgk Toán 11 - CTST
- Giải sgk Vật Lí 11 - CTST
- Giải sgk Hóa học 11 - CTST
- Giải sgk Sinh học 11 - CTST
- Giải sgk Lịch Sử 11 - CTST
- Giải sgk Địa Lí 11 - CTST
- Giải sgk Giáo dục KTPL 11 - CTST
- Giải sgk Hoạt động trải nghiệm 11 - CTST
- Giải sgk Âm nhạc 11 - CTST
- Lớp 11 - Cánh diều
- Soạn văn 11 Cánh diều (hay nhất)
- Soạn văn 11 Cánh diều (ngắn nhất)
- Giải sgk Toán 11 - Cánh diều
- Giải sgk Vật Lí 11 - Cánh diều
- Giải sgk Hóa học 11 - Cánh diều
- Giải sgk Sinh học 11 - Cánh diều
- Giải sgk Lịch Sử 11 - Cánh diều
- Giải sgk Địa Lí 11 - Cánh diều
- Giải sgk Giáo dục KTPL 11 - Cánh diều
- Giải sgk Tin học 11 - Cánh diều
- Giải sgk Công nghệ 11 - Cánh diều
- Giải sgk Hoạt động trải nghiệm 11 - Cánh diều
- Giải sgk Giáo dục quốc phòng 11 - Cánh diều
- Giải sgk Âm nhạc 11 - Cánh diều


Giải bài tập SGK & SBT
Tài liệu giáo viên
Sách
Khóa học
Thi online
Hỏi đáp

