Cách giải bài tập về Phép biến hình (cực hay)
Bài viết Cách giải bài tập về Phép biến hình với phương pháp giải chi tiết giúp học sinh ôn tập, biết cách làm bài tập Cách giải bài tập về Phép biến hình.
Cách giải bài tập về Phép biến hình (cực hay)
(199k) Xem Khóa học Toán 12 KNTTXem Khóa học Toán 12 CDXem Khóa học Toán 12 CTST
Bài giảng: Tất tần tật về Khối đa diện - Cô Nguyễn Phương Anh (Giáo viên VietJack)
1. Phương pháp giải
1. Phương pháp giải
+ Phép đối xứng qua mặt phẳng: Phép đối xứng qua mặt phẳng (P) là phép biến hình biến mỗi điểm thuộc (P) thành chính nó và biến mỗi điểm M không thuộc (P) thành điểm M’ sao cho (P) là mặt phẳng trung trực của đoạn thẳng MM’.
+ Phép tịnh tiến theo vecto là phép biến hình biến mỗi điểm M thành điểm M’ sao cho
+ Phép đối xứng qua đường thẳng: cho đường thẳng d, phép đối xứng trục qua đường thẳng d là phép biến hình biến mỗi điểm M thuộc d thành chính nó và biến mỗi điểm M không thuộc d thành điểm M’ sao cho trong mặt phẳng (M; d), d là đường trung trực của MM’.
+ Phép đối xứng tâm: Cho điểm O, phép đối xứng qua điểm O là phép biến hình biến mỗi điểm M thành điểm M’ sao cho
+ Phép vị tự: Cho số k không đổi khác 0 và một điểm O cố định. Phép biến hình trong không gian biến mỗi điểm M thành điểm M’ sao cho gọi là phép vị tự. Điểm O gọi là tâm vị tự, số k được gọi là tỉ số vị tự
2. Ví dụ minh họa
Ví dụ 1. Phép đối xứng qua mặt phẳng (P) biến đường thẳng d thành chính nó khi và chỉ khi
A. d song song với (P).
B. d nằm trên (P).
C. d vuông góc với (P) .
D. d nằm trên (P) hoặc d vuông góc với (P).
Hướng dẫn giải
Phép đối xứng qua mặt phẳng (P) biến đường thẳng d thành chính nó khi và chỉ khi d nằm trên (P) hoặc (d)vuông góc với (P).
Chọn D.
Ví dụ 2. Trong không gian cho hai tam giác ABC và A'B'C' bằng nhau (AB = A'B'; AC = A'C'; BC = B'C'). Chọn mệnh đề đúng trong các mệnh đề sau
A. Không thể thực hiện một phép tịnh tiến nào biến tam giác này thành tam giác kia.
B. Tồn tại duy nhất một phép tịnh tiến nào biến tam giác này thành tam giác kia.
C. Có nhiều nhất hai phép tịnh tiến nào biến tam giác này thành tam giác kia.
D. Có thể thực hiện vô số phép tịnh tiến biến tam giác này thành tam giác kia.
Hướng dẫn giải
Trước hết ta nhận thấy rằng, muốn thực hiện được một phép tịnh tiến biến ΔABC thành ΔA'B'C' thì phải có điều kiện, hai tam giác ABC và A'B'C' phải nằm trên hai mặt phẳng song song (hoặc trùng nhau) và
Khi đó phép tịnh tiến theo vecto biến ΔA'B'C' thành ΔABC và phép tịnh tiến theo vecto
biến ΔABC thành ΔA’B’C’.
Như vậy chỉ có hai phép tịnh tiến biến tam giác này thành tam giác kia.
Chọn C.
Ví dụ 3. Cho hình lập phương ABCD. A'B'C'D'. Gọi I, J lần luợt là trung điểm của các cạnh AD, BC. Phép tịnh tiến theo vecto biến tam giác A'IJ thành tam giác
A. C'CD.
B. CD'P với P là trung điểm của B'C'.
C. KDC với K là trung điểm của A’D’
D. DC'D'
Hướng dẫn giải
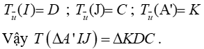
Gọi T là phép tịnh tiến theo vecto
Ta có
Chọn C.
Ví dụ 4. Có tất cả bao nhiêu mặt phẳng cách đều bốn đỉnh của một tứ diện?
A. 1 mặt phẳng.
B. 4 mặt phẳng.
C. 7 mặt phẳng.
D. Có vô số mặt phẳng.
Hướng dẫn giải
Có 2 loại mặt phẳng thỏa mãn đề bài là:
* Loại 1: Mặt phẳng qua trung điểm của 3 cạnh bên có chung đỉnh. Có 4 mặt phẳng thỏa mãn loại này (vì có 4 đỉnh)
Nhận xét. Loại này ta thấy có 1 điểm nằm khác phía với 3 điểm còn lại.
* Loại 2: Mặt phẳng qua trung điểm của 4 cạnh ( 4 cạnh này thuộc 2 cặp cạnh, mỗi cặp cạnh là chéo nhau). Có 3 mặt phẳng như thế.
Nhận xét. Loại này ta thấy có 2 điểm nằm khác phía với 2 điểm còn lại.
Chọn C.
Ví dụ 5. Cho phép vị tự tâm O biến điểm A thành điểm B, biết rằng OA = 2O
B. Khi đó, tỉ số vị tự là bao nhiêu?
A. 2.
B. -2.
C.
D. 1/2
Hướng dẫn giải
Theo giả thiết OA = 2OB nên
Vậy có hai phép vị tự biến điểm A thành điểm B.
Chọn C.
(199k) Xem Khóa học Toán 12 KNTTXem Khóa học Toán 12 CDXem Khóa học Toán 12 CTST
Xem thêm các dạng bài tập Toán lớp 12 ôn thi Tốt nghiệp có lời giải hay khác:
- Cách nhận dạng các khối đa diện (cực hay)
- Dạng bài Tính chất đối xứng của khối đa diện (cực hay)
- Dạng bài Tính chất của khối đa diện (cực hay)
- Cách phân chia, lắp ghép các khối đa diện (cực hay)
- Dạng bài tập về định lí Ơ-le và khối đa diện đều (cực hay)
Đã có app VietJack trên điện thoại, giải bài tập SGK, SBT Soạn văn, Văn mẫu, Thi online, Bài giảng....miễn phí. Tải ngay ứng dụng trên Android và iOS.
Theo dõi chúng tôi miễn phí trên mạng xã hội facebook và youtube:Nếu thấy hay, hãy động viên và chia sẻ nhé! Các bình luận không phù hợp với nội quy bình luận trang web sẽ bị cấm bình luận vĩnh viễn.
- Giải Tiếng Anh 12 Global Success
- Giải sgk Tiếng Anh 12 Smart World
- Giải sgk Tiếng Anh 12 Friends Global
- Lớp 12 Kết nối tri thức
- Soạn văn 12 (hay nhất) - KNTT
- Soạn văn 12 (ngắn nhất) - KNTT
- Giải sgk Toán 12 - KNTT
- Giải sgk Vật Lí 12 - KNTT
- Giải sgk Hóa học 12 - KNTT
- Giải sgk Sinh học 12 - KNTT
- Giải sgk Lịch Sử 12 - KNTT
- Giải sgk Địa Lí 12 - KNTT
- Giải sgk Giáo dục KTPL 12 - KNTT
- Giải sgk Tin học 12 - KNTT
- Giải sgk Công nghệ 12 - KNTT
- Giải sgk Hoạt động trải nghiệm 12 - KNTT
- Giải sgk Giáo dục quốc phòng 12 - KNTT
- Giải sgk Âm nhạc 12 - KNTT
- Giải sgk Mĩ thuật 12 - KNTT
- Lớp 12 Chân trời sáng tạo
- Soạn văn 12 (hay nhất) - CTST
- Soạn văn 12 (ngắn nhất) - CTST
- Giải sgk Toán 12 - CTST
- Giải sgk Vật Lí 12 - CTST
- Giải sgk Hóa học 12 - CTST
- Giải sgk Sinh học 12 - CTST
- Giải sgk Lịch Sử 12 - CTST
- Giải sgk Địa Lí 12 - CTST
- Giải sgk Giáo dục KTPL 12 - CTST
- Giải sgk Tin học 12 - CTST
- Giải sgk Hoạt động trải nghiệm 12 - CTST
- Giải sgk Âm nhạc 12 - CTST
- Lớp 12 Cánh diều
- Soạn văn 12 Cánh diều (hay nhất)
- Soạn văn 12 Cánh diều (ngắn nhất)
- Giải sgk Toán 12 Cánh diều
- Giải sgk Vật Lí 12 - Cánh diều
- Giải sgk Hóa học 12 - Cánh diều
- Giải sgk Sinh học 12 - Cánh diều
- Giải sgk Lịch Sử 12 - Cánh diều
- Giải sgk Địa Lí 12 - Cánh diều
- Giải sgk Giáo dục KTPL 12 - Cánh diều
- Giải sgk Tin học 12 - Cánh diều
- Giải sgk Công nghệ 12 - Cánh diều
- Giải sgk Hoạt động trải nghiệm 12 - Cánh diều
- Giải sgk Giáo dục quốc phòng 12 - Cánh diều
- Giải sgk Âm nhạc 12 - Cánh diều


Giải bài tập SGK & SBT
Tài liệu giáo viên
Sách
Khóa học
Thi online
Hỏi đáp

