Cách giải dạng bài tập thiết diện của hình nón (cực hay)
Bài viết Cách giải dạng bài tập thiết diện của hình nón với phương pháp giải chi tiết giúp học sinh ôn tập, biết cách làm bài tập thiết diện của hình nón.
Cách giải dạng bài tập thiết diện của hình nón (cực hay)
(199k) Xem Khóa học Toán 12 KNTTXem Khóa học Toán 12 CDXem Khóa học Toán 12 CTST
Bài giảng: Tất tần tật về Mặt nón - Cô Nguyễn Phương Anh (Giáo viên VietJack)
1. Phương pháp giải
* Trường hợp 1. Thiết diện qua trục của hình nón: mp (P) đi qua trục của hình nón và cắt mặt nón theo 2 đường sinh ⇒ Thiết diện là tam giác cân.
Cách vẽ hình: trên hình vẽ thiết diện là tam giác SAB
Thiết diện qua trục của hình nón thông thường hay gặp ở một số dạng như:
• Thiết diện qua trục là một tam giác vuông
• Thiết diện qua trục là một tam giác vuông cân
• Thiết diện qua trục là một tam giác đều
• Thiết diện qua trục có góc ở đỉnh bằng số độ cho trước (60 độ hay 120 độ.)
• ….
* Trường hợp 2. Thiết diện qua đỉnh của hình nón: mp(P) đi qua đỉnh của hình nón và cắt mặt nón theo 2 đường sinh ⇒ Thiết diện cũng là tam giác cân.
Cách vẽ hình: trên hình vẽ thiết diện là tam giác SAB
Lưu ý: Khi vẽ thiết diện qua đỉnh, nếu kẻ OH ⊥ AB thì theo tính chất đường kính và dây cung của đường tròn (đường kính vuông góc
với dây cung thì đi qua trung điểm của dây cung và ngược lại), thì H chính là trung điểm của AB. Khi đó góc giữa mặt phẳng (SAB) với đường
tròn đáy chính là
.
* Trường hợp 3.Thiết diện vuông góc với trục của hình nón và song song với đường tròn đáy hình nón: mp(P) vuông góc với trục hình nón ⇒ giao tuyến là một đường tròn.
Cách vẽ hình: trên hình vẽ, thiết diện là đường tròn tâm O’.
* Trường hợp 4. Thiết diện cắt mọi đường sinh của hình nón: mp (P) cắt mọi đường sinh hình nón ⇒giao tuyến là 1 đường elip.
* Trường hợp 5. Thiết diện song song với 1 đường sinh của hình nón: mp(P) song song với 1 đường sinh hình nón ⇒ giao tuyến là 1 đường parabol.
2. Ví dụ minh họa
Ví dụ 1. Thiết diện qua trục một hình nón là một tam giác vuông cân có cạnh huyền bằng 2√3 . Thể tích của khối nón này là
A. √3π B. 3√3π C. 3π D. 3√2π
Hướng dẫn giải:
+Gọi thiết diện qua trục là tam giác SAB, tâm đường tròn đáy là O. Khi đó, tam giác SAB có cạnh huyền
+ Xét tam giác SAB vuông cân tại S có SO là đường trung tuyến nên:
SO = AO =
AB =
2√3 = √3
⇒ Bán kính đường tròn đáy là: r = AO = √3 ; đường cao của hình nón là h = SO = √3
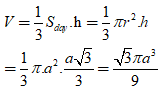
+Thể tích của hình nón là:
Chọn A.
Ví dụ 2. Cho hình nón có thiết diện qua đỉnh S tạo với đáy góc 600 là tam giác đều cạnh bằng 4. Thể tích của khối nón đó là:
A. 9π B. 4√3π C. 3π D. 7π
Hướng dẫn giải:
+Gọi thiết diện qua đỉnh S là tam giác SAB, tâm đường tròn đáy là O.
+ Xác định góc giữa (SAB) và đáy:
Suy ra ((SAB);(O)) = (OH;SH) =
= 600
+ Do tam giác SAB đều cạnh 4 nên SH = 2√3
+Xét tam giác SOH có
+Xét tam giác OAH có:
+ Thể tích hình nón đã cho là
Chọn D.
Ví dụ 3. Cho khối nón tròn xoay có đường cao h = a và bán kính đáy r =
. Một mặt phẳng (P) đi qua đỉnh của khối nón và có khoảng cách đến tâm O của đáy bằng
. Diện tích thiết diện tạo bởi (P) và hình nón là
Hướng dẫn giải:
+ Gọi mặt phẳng qua đỉnh là mp( SAB).
+ Khoảng cách từ O đến mặt phẳng (SAB):
Từ O kẻ OH⊥AB ( HA = HB) , nối SH, từ O kẻ OK⊥SH
⇒ OK⊥(SAB) ⇒ d(O,(SAB)) = OK =
+ Xét tam giác SOH có :
+ Tam giác OAH có:
+Vậy diện tích tam giác SAB là:
Chọn B.
Ví dụ 4. Một hình nón có bán kính đường tròn đáy bằng a. Thiết diện qua trục của hình nón là một tam giác có góc ở đỉnh bằng 1200. Gọi V là thể tích khối nón. Khi đó V bằng:
Hướng dẫn giải:
+ Gọi thiết diện qua trục của hình nón là tam giác SAB. Khi đó, AB là đường kính của đường tròn đáy.
⇒ AB = 2r = 2a
+ Góc ở đỉnh bằng 1200 nên
+ Xét tam giác SAO:
h = SO = OA.cot600 =
+ Thể tích của khối nón là:
Chọn C.
Ví dụ 5. Thiết diện qua trục của một hình nón là một tam giác vuông cân có cạnh góc vuông bằng a. Một thiết diện qua đỉnh tạo với đáy một góc 600. Diện tích của thiết diện qua đỉnh bằng
Hướng dẫn giải:
Gọi thiết diện qua trục là tam giác SAC, thiết diện qua đỉnh là tam giác SBC, góc giữa (SBC) và đáy là
= 600
+ Tam giác SAC vuông cân tại S có cạnh góc vuông bằng a nên AC = √2a
+ Diện tích tam giác SBC là:
Chọn B.
(199k) Xem Khóa học Toán 12 KNTTXem Khóa học Toán 12 CDXem Khóa học Toán 12 CTST
Xem thêm các dạng bài tập Toán lớp 12 ôn thi Tốt nghiệp có lời giải hay khác:
- Phương pháp xác định mặt cầu (cực hay)
- Phương pháp tính diện tích mặt cầu, thể tích khối cầu (cực hay)
- Phương pháp xác định mặt cầu nội tiếp, ngoại tiếp hình chóp (cực hay)
- Phương pháp xác định mặt cầu nội tiếp, ngoại tiếp lăng trụ (cực hay)
- Tính diện tích xung quanh, diện tích toàn phần hình nón, tính thể tích khối nón (cực hay)
- Dạng bài tập về hình nón tròn xoay (cực hay, có lời giải)
- Cách tính diện tích hình trụ, thể tích khối trụ (cực hay)
- Dạng bài tập về hình trụ, mặt trụ (cực hay, có lời giải)
- Dạng bài tập hình trụ nội tiếp, ngoại tiếp hình cầu, nón, lập phương (cực hay)
Đã có app VietJack trên điện thoại, giải bài tập SGK, SBT Soạn văn, Văn mẫu, Thi online, Bài giảng....miễn phí. Tải ngay ứng dụng trên Android và iOS.
Theo dõi chúng tôi miễn phí trên mạng xã hội facebook và youtube:Nếu thấy hay, hãy động viên và chia sẻ nhé! Các bình luận không phù hợp với nội quy bình luận trang web sẽ bị cấm bình luận vĩnh viễn.
- Giải Tiếng Anh 12 Global Success
- Giải sgk Tiếng Anh 12 Smart World
- Giải sgk Tiếng Anh 12 Friends Global
- Lớp 12 Kết nối tri thức
- Soạn văn 12 (hay nhất) - KNTT
- Soạn văn 12 (ngắn nhất) - KNTT
- Giải sgk Toán 12 - KNTT
- Giải sgk Vật Lí 12 - KNTT
- Giải sgk Hóa học 12 - KNTT
- Giải sgk Sinh học 12 - KNTT
- Giải sgk Lịch Sử 12 - KNTT
- Giải sgk Địa Lí 12 - KNTT
- Giải sgk Giáo dục KTPL 12 - KNTT
- Giải sgk Tin học 12 - KNTT
- Giải sgk Công nghệ 12 - KNTT
- Giải sgk Hoạt động trải nghiệm 12 - KNTT
- Giải sgk Giáo dục quốc phòng 12 - KNTT
- Giải sgk Âm nhạc 12 - KNTT
- Giải sgk Mĩ thuật 12 - KNTT
- Lớp 12 Chân trời sáng tạo
- Soạn văn 12 (hay nhất) - CTST
- Soạn văn 12 (ngắn nhất) - CTST
- Giải sgk Toán 12 - CTST
- Giải sgk Vật Lí 12 - CTST
- Giải sgk Hóa học 12 - CTST
- Giải sgk Sinh học 12 - CTST
- Giải sgk Lịch Sử 12 - CTST
- Giải sgk Địa Lí 12 - CTST
- Giải sgk Giáo dục KTPL 12 - CTST
- Giải sgk Tin học 12 - CTST
- Giải sgk Hoạt động trải nghiệm 12 - CTST
- Giải sgk Âm nhạc 12 - CTST
- Lớp 12 Cánh diều
- Soạn văn 12 Cánh diều (hay nhất)
- Soạn văn 12 Cánh diều (ngắn nhất)
- Giải sgk Toán 12 Cánh diều
- Giải sgk Vật Lí 12 - Cánh diều
- Giải sgk Hóa học 12 - Cánh diều
- Giải sgk Sinh học 12 - Cánh diều
- Giải sgk Lịch Sử 12 - Cánh diều
- Giải sgk Địa Lí 12 - Cánh diều
- Giải sgk Giáo dục KTPL 12 - Cánh diều
- Giải sgk Tin học 12 - Cánh diều
- Giải sgk Công nghệ 12 - Cánh diều
- Giải sgk Hoạt động trải nghiệm 12 - Cánh diều
- Giải sgk Giáo dục quốc phòng 12 - Cánh diều
- Giải sgk Âm nhạc 12 - Cánh diều


Giải bài tập SGK & SBT
Tài liệu giáo viên
Sách
Khóa học
Thi online
Hỏi đáp

