Cách tìm cực trị của hàm bậc ba (cực hay, có lời giải)
Bài viết Cách tìm cực trị của hàm bậc ba với phương pháp giải chi tiết giúp học sinh ôn tập, biết cách làm bài tập Cách tìm cực trị của hàm bậc ba.
Cách tìm cực trị của hàm bậc ba (cực hay, có lời giải)
(199k) Xem Khóa học Toán 12 KNTTXem Khóa học Toán 12 CDXem Khóa học Toán 12 CTST
Bài giảng: Các dạng bài tìm cực trị của hàm số - Cô Nguyễn Phương Anh (Giáo viên VietJack)
A. Phương pháp giải
a. Quy tắc 1
- Bước 1: Tìm tập xác định.
- Bước 2: Tính f'(x). Tìm các điểm tại đó f'(x) = 0 hoặc f'(x) không xác định.
- Bước 3: Lập bảng biến thiên.
- Bước 4: Từ bảng biến thiên suy ra các điểm cực trị.
b. Quy tắc 2
- Bước 1: Tìm tập xác định.
- Bước 2: Tính f'(x)và f''(x).
- Bước 3: Tìm các nghiệm xi (i = 1,2,3...) của phương trình f'(x) = 0.
- Bước 4: Với mỗi xi tính f''(xi):
+) Nếu f''(xi) < 0 thì hàm số đạt cực đại tại điểm xi.
+) Nếu f''(xi) > 0 thì hàm số đạt cực tiểu tại điểm xi.
B. Ví dụ minh họa
Ví dụ 1: Tọa độ điểm cực đại của hàm số y = x3 - 3x2 + 4 là:
A. (2;4).
B. (2;0).
C. (0;-4).
D. (0;4).
Lời giải
Chọn D
Ví dụ 2: Giá trị cực tiểu của hàm số y = x3 - 3x2 - 9x + 2 là:
A. -20.
B. 7.
C. -25.
D. 3.
Lời giải
Chọn C
Vậy giá trị cực tiểu là yCT = -25.
Ví dụ 3: Cho hàm số y = x3 - 3x2 + 1(C). Đường thẳng d đi qua điểm A(-1;1) và vuông góc với đường thẳng đi qua hai điểm cực trị của (C) có phương trình là:
A. y = -x.
B. y = 2x + 3.
C. x - 4y + 5 = 0.
D. x - 2y + 3 = 0.
Lời giải
Chọn D.
C. Bài tập trắc nghiệm
Bài 1: Điểm cực tiểu của hàm số: y = -x3 + 3x + 4 là:
A. x = -1.
B. x = 1.
C. x = -3.
D. x = 3.
Lời giải:
Chọn A
Bài 2: Cho hàm số y = 2x3 - 3x2 - 4. Tích các giá trị cực đại và cực tiểu của hàm số bằng:
A. 0.
B. -12.
C. 20.
D. 12.
Lời giải:
Chọn C
Bài 3: Giá trị cực đại của hàm số y = x3 - 3x + 2 bằng:
A. 0.
B. 1.
C. 4.
D. -1.
Lời giải:
Chọn C
Từ bảng biến thiên suy ra giá trị cực đại của hàm số bằng 4.
Bài 4: Cho hàm số . Mệnh đề nào sau đây đúng?
Lời giải:
Chọn A
Bài 5: Tìm điểm cực tiểu của hàm
A. x = -3.
B. x = 3.
C. x = -1.
D. x = 1.
Lời giải:
Chọn B
Bài 6: Cho hàm số y = ax3 + bx2 + cx + d, (a ≠ 0) có đồ thị như hình bên dưới.
Hàm số có giá trị cực đại bằng?
A. 1.
B. 2.
C. 3.
D. -1.
Lời giải:
Chọn C
Hàm số đạt cực đại tại x = 1 ⇒ hàm số có giá trị cực đại bằng y(1) = 3.
Bài 7: Cho hàm số bậc ba có bảng biến thiên như sau:
Khẳng định nào sau đây đúng?
A. Hàm số có giá trị cực tiểu bằng -2 và giá trị cực đại bằng 2.
B. Hàm số có giá trị lớn nhất bằng 2 và giá trị nhỏ nhất bằng -2.
C. Hàm số đạt cực đại tại x = -1 và đạt cực tiểu tại x = 2.
D. Hàm số có đúng một cực trị.
Lời giải:
Chọn A
Dựa vào bảng biến thiên ta thấy hàm số có giá trị cực tiểu bằng -2 và giá trị cực đại bằng 2.
Bài 8: Cho hàm số y = ax3 + bx2 + cx + d, (a ≠ 0) có bảng biến thiên như hình dưới:
Khẳng định nào sau đây là đúng?
A. Hàm số đạt cực đại tại x = 3.
B. Hàm số đạt cực đại tại x = 1.
C. Hàm số đạt cực đại tại x = 4.
D. Hàm số đạt cực đại tại x = -2.
Lời giải:
Chọn B
Dựa vào bảng biến thiên ta thấy hàm số đạt cực đại tại x = 1.
Bài 9: Biết đồ thị hàm số y = ax3 + bx2 + cx + d có 2 điểm cực trị là (-1;18) và (3;-16). Tính a + b + c + d.
A. 0
B. 1
C. 2
D. 3
Lời giải:
Chọn B.
TXĐ: D = R
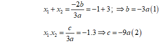
Ta có y = ax3 + bx2 + cx + d ⇒ y' = 3ax2 + 2bx + c = 0 có 2 nghiệm:
Mà 2 điểm cực trị là(-1;18) và (3;-16) thuộc đồ thị hàm số nên ta có:
-a + b - c + d = 18(3)
27a + 9b + 3c + d = -16(4).
Giải hệ 4 phương trình(1),(2),(3),(4) ta có:
Bài 10: Cho hàm số y = -x3 + 3x2 + 3(m2 - 1)x - 3m2 - 1. Có bao nhiêu giá trị nguyên của m để đồ thị hàm số có điểm cực đại, cực tiểu nằm bên trái đường thẳng x = 2?
A. 3.
B. 1.
C. 2.
D. 0.
Lời giải:
Chọn D
Để đồ thị hàm số có điểm cực đại, cực tiểu nằm bên trái đường thẳng x = 2 thì .
Vậy không có giá trị nguyên nào của m thỏa yêu cầu bài toán.
(199k) Xem Khóa học Toán 12 KNTTXem Khóa học Toán 12 CDXem Khóa học Toán 12 CTST
Xem thêm các dạng bài tập Toán lớp 12 ôn thi Tốt nghiệp có lời giải hay khác:
- Cách tìm cực trị của hàm chứa dấu giá trị tuyệt đối (cực hay, có lời giải)
- Cách tìm cực trị của hàm chứa căn thức (cực hay, có lời giải)
- Cách tìm cực trị của hàm hợp (cực hay, có lời giải)
- Tìm cực trị của hàm số dựa vào bảng biến thiên (cực hay, có lời giải)
- Tìm cực trị của hàm số dựa vào đồ thị (cực hay, có lời giải)
Đã có app VietJack trên điện thoại, giải bài tập SGK, SBT Soạn văn, Văn mẫu, Thi online, Bài giảng....miễn phí. Tải ngay ứng dụng trên Android và iOS.
Theo dõi chúng tôi miễn phí trên mạng xã hội facebook và youtube:Nếu thấy hay, hãy động viên và chia sẻ nhé! Các bình luận không phù hợp với nội quy bình luận trang web sẽ bị cấm bình luận vĩnh viễn.
- Giải Tiếng Anh 12 Global Success
- Giải sgk Tiếng Anh 12 Smart World
- Giải sgk Tiếng Anh 12 Friends Global
- Lớp 12 Kết nối tri thức
- Soạn văn 12 (hay nhất) - KNTT
- Soạn văn 12 (ngắn nhất) - KNTT
- Giải sgk Toán 12 - KNTT
- Giải sgk Vật Lí 12 - KNTT
- Giải sgk Hóa học 12 - KNTT
- Giải sgk Sinh học 12 - KNTT
- Giải sgk Lịch Sử 12 - KNTT
- Giải sgk Địa Lí 12 - KNTT
- Giải sgk Giáo dục KTPL 12 - KNTT
- Giải sgk Tin học 12 - KNTT
- Giải sgk Công nghệ 12 - KNTT
- Giải sgk Hoạt động trải nghiệm 12 - KNTT
- Giải sgk Giáo dục quốc phòng 12 - KNTT
- Giải sgk Âm nhạc 12 - KNTT
- Giải sgk Mĩ thuật 12 - KNTT
- Lớp 12 Chân trời sáng tạo
- Soạn văn 12 (hay nhất) - CTST
- Soạn văn 12 (ngắn nhất) - CTST
- Giải sgk Toán 12 - CTST
- Giải sgk Vật Lí 12 - CTST
- Giải sgk Hóa học 12 - CTST
- Giải sgk Sinh học 12 - CTST
- Giải sgk Lịch Sử 12 - CTST
- Giải sgk Địa Lí 12 - CTST
- Giải sgk Giáo dục KTPL 12 - CTST
- Giải sgk Tin học 12 - CTST
- Giải sgk Hoạt động trải nghiệm 12 - CTST
- Giải sgk Âm nhạc 12 - CTST
- Lớp 12 Cánh diều
- Soạn văn 12 Cánh diều (hay nhất)
- Soạn văn 12 Cánh diều (ngắn nhất)
- Giải sgk Toán 12 Cánh diều
- Giải sgk Vật Lí 12 - Cánh diều
- Giải sgk Hóa học 12 - Cánh diều
- Giải sgk Sinh học 12 - Cánh diều
- Giải sgk Lịch Sử 12 - Cánh diều
- Giải sgk Địa Lí 12 - Cánh diều
- Giải sgk Giáo dục KTPL 12 - Cánh diều
- Giải sgk Tin học 12 - Cánh diều
- Giải sgk Công nghệ 12 - Cánh diều
- Giải sgk Hoạt động trải nghiệm 12 - Cánh diều
- Giải sgk Giáo dục quốc phòng 12 - Cánh diều
- Giải sgk Âm nhạc 12 - Cánh diều


Giải bài tập SGK & SBT
Tài liệu giáo viên
Sách
Khóa học
Thi online
Hỏi đáp

