Bài toán Vay vốn trả góp ôn thi Tốt nghiệp (có lời giải)
Bài toán thực tế Vay vốn trả góp ôn thi Tốt nghiệp với phương pháp giải chi tiết giúp học sinh ôn tập, biết cách làm bài toán Vay vốn trả góp.
Bài toán Vay vốn trả góp ôn thi Tốt nghiệp (có lời giải)
(199k) Xem Khóa học Toán 12 KNTTXem Khóa học Toán 12 CDXem Khóa học Toán 12 CTST
1. Phương pháp giải
- Định nghĩa.
Vay ngân hàng số tiền là A đồng với lãi suất r%/tháng. Sau đúng một tháng kể từ ngày vay, bắt đầu hoàn nợ; hai lần hoàn nợ cách nhau đúng một tháng, mỗi hoàn nợ số tiền là X đồng và trả hết tiền nợ sau đúng n tháng.
- Công thức tính
Cách tính số tiền còn lại sau n tháng giống hoàn toàn công thức tính gửi ngân hàng và rút tiền hàng tháng nên ta có
Để sau đúng n tháng trả hết nợ thì Sn = 0 nên
và
2. Ví dụ minh họa
Ví dụ 1. Chị Ngọc vay trả góp ngân hàng số tiền 50 triệu đồng với lãi suất 1,15%/tháng trong vòng 4 năm thì mỗi tháng chị Ngọc phải trả gần với số tiền nào nhất ?
A. 1 362 000 đồng B. 1 432 000 đồng
C. 1 361 000 đồng D. 1 232 000 đồng
Lời giải:
Đáp án: C
Áp dụng công thức (13) với A = 50 triệu; r= 1,15 % và n= 4.12= 48 tháng. Số tiền chị Ngọc phải trả mỗi tháng là:
Ví dụ 2. Anh Sơn vay trả góp ngân hàng số tiền 500 triệu đồng với lãi suất 0,9%/tháng , mỗi tháng trả 15 triệu đồng. Sau bao nhiêu tháng thì anh Sơn trả hết nợ?
A. 40 tháng B. 36 tháng C.38 tháng D. 39 tháng
Lời giải:
Đáp án: A
Áp dụng công thức với A= 500 triệu; r= 0,9% ; X= 15 triệu đồng ta được:
giải được n= 39, 80862049 ( tháng)
Do đó, để trả hết nợ thì anh Sơn phải trả nợ trong vòng 40 tháng.
Ví dụ 3. Một người vay ngân hàng số tiền 350 triệu đồng, mỗi tháng trả góp 8 triệu đồng và lãi suất cho số tiền chưa trả là 0,79% một tháng. Kỳ trả đầu tiên là cuối tháng thứ nhất. Hỏi số tiền phải trả ở kỳ cuối là bao nhiêu để người này hết nợ ngân hàng? (làm tròn đến hàng nghìn)
A. 2 921 000. B. 7 084 000 C. 2 944 000. D. 7 140 000
Lời giải:
Đáp án: D
Kỳ trả đầu tiên là cuối tháng thứ nhất nên đây là bài toán vay vốn trả góp cuối kỳ.
Gọi A là số tiền vay ngân hàng, B là số tiền trả trong mỗi chu kỳ, d= r% là lãi suất cho số tiền chưa trả trên một chu kỳ, n là số kỳ trả nợ.
Số tiền còn nợ ngân hàng (tính cả lãi) trong từng chu kỳ như sau:
+ Đầu kỳ thứ nhất là A.
+ Cuối kỳ thứ nhất là A(1+ d) − B.
+ Cuối kỳ thứ hai là : [A( 1+ d) – B]. ( 1+ d) − B= A. (1+ d)2 − B. [(1+ d) + 1].
+ Cuối kỳ thứ ba là :
[ A. (1+ d)2 – B.( 1+ d) + 1].(1+ d) − B= A. (1+ d)3 − B.[ (1+ d)2 +(1+ d)+ 1].
……
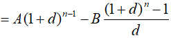
+ Theo giả thiết quy nạp, cuối kỳ thứ n là
Vậy số tiền còn nợ (tính cả lãi) sau n chu kỳ là
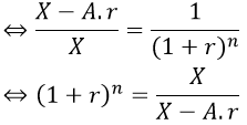
Trở lại bài toán, gọi n (tháng) là số kỳ trả hết nợ.
Khi đó, ta có:
Tức là phải mất 54 tháng người này mới trả hết nợ.
Cuối tháng thư 53, số tiền còn nợ (tính cả lãi) là :
Kỳ trả nợ tiếp theo là cuối tháng thứ 54 , khi đó phải trả số tiền S53 và lãi của số tiền này nữa là :
Ví dụ 4. Anh Bình vay ngân hàng 2 tỷ đồng để xây nhà và trả dần mỗi năm 500 triệu đồng. Kỳ trả đầu tiên là sau khi nhận vốn với lãi suất trả chậm 9% một năm. Hỏi sau mấy năm anh Bình mới trả hết nợ đã vay?
A. 6 B. 3 C. 4 D. 5
Lời giải:
Đáp án: D
Kỳ trả nợ đầu tiên là sau khi nhận vốn nên đây là bài toán vay vốn trả góp đầu kỳ.
Gọi A là số tiền vay ngân hàng, B là số tiền trả trong mỗi chu kỳ, d= r% là lãi suất trả chậm (tức là lãi suất cho số tiền còn nợ ngân hàng) trên một chu kỳ, n là số kỳ trả nợ.
Số tiền còn nợ ngân hàng (tính cả lãi) trong từng chu kỳ như sau:
+ Đầu kỳ thứ nhất là A − B.
+ Đầu kỳ thứ hai là ( A − B).(1+ d) − B= A( 1+ d) − B.[ ( 1+ d) + 1] .
+ Đầu kỳ thứ ba là :
[A( 1+ d) − B((1+ d)+ 1)] (1+d) − B= A( 1+ d)2 − B.[ (1+ d)2+ (1+ d)+ 1].
……
+ Theo giả thiết quy nạp, đầu kỳ thứ n là
Vậy số tiền còn nợ (tính cả lãi) sau n chu kỳ là
Trở lại bài toán, để sau n năm (chu kỳ ở đây ứng với một năm) anh Bình trả hết nợ thì ta có
Vậy phải sau 5 năm anh Bình mới trả hết nợ đã vay.
Ví dụ 5. Ông A mua được căn nhà ở quận 1 với giá 2 tỷ đồng. với số tiền quá lớn buộc ông A phải trả góp với lãi suất hàng tháng là 0,5%. Hàng tháng ông trả 30 triệu đồng (bắt đầu từ khi mua nhà). Hỏi sau 36 tháng thì số tiền ông còn nợ là (làm tròn đến đơn vị triệu):
A. 1209 triệu đồng. B. 1207 triệu đồng. C.1205 triệu đồng. D. 1200 triệu đồng.
Lời giải:
Đáp án: B
* Số tiền còn lại sau 36 tháng được tính theo công thức: >
* Với A là số tiền nợ ban đầu , m là số tiền trả hàng tháng , r là lãi suất.>
Ta có:
Ví dụ 6. Để có được căn nhà 5 tỉ đồng, ông A đã vay ngân hàng với số tiền là 3,1 tỉ đồng với lãi suất 9% trên năm. Ông A muốn hoàn nợ theo cách: sau khi vay đúng một tháng nợ, ông A bắt đầu hoàn nợ; hai lần hoàn nợ liến tiếp cách nhau đúng một tháng , số tiền hoàn nợ mỗi tháng là 60 triệu đồng. Hỏi sau bao nhiêu tháng thì ông A có thể trả hết nợ ?
A. 63 tháng. B. 64 tháng. C. 65 tháng. D. 66 tháng.
Lời giải:
Đáp án: D
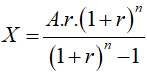
Dạng toán trả góp áp dụng công thức:
Trong đó X là số tiền trả hàng tháng X= 60 triệu đồng ,
A là số tiền vay A= 3,1 tỉ và r= 9%.
Vậy sau 66 tháng, ông A có thể trả hết nợ.
Ví dụ 7. Ông Cường đi vay ngân hàng với số tiền 500 triệu đồng, lãi suất 8%/năm. Sau khi vay xong một tháng ông hoàn nợ theo cách : mỗi tháng đi hoàn lại 8 300 000 đồng cho ngân hàng và bắt đầu kể từ ngày vay ? Hỏi sau bao nhiêu tháng thì ông Cường trả hết nợ?
A. 48 tháng. B. 49 tháng. C. 77 tháng. D. 78 tháng.
Lời giải:
Đáp án: D
Đây là dạng toán trả góp, số tiền cần trả góp mỗi tháng là:
Với A= 500 triệu đồng;, X= 8,3 triệu đồng
Ta có:
Như vậy phải mất 78 tháng thì ông Cường mới trả hết nợ cho ngân hàng.
Ví dụ 8. Ông An mua một máy quay phim nhưng vì ngân sách mua một lần không đủ ông An đã chọn phương thức mua trả góp với lãi suất tiền chưa trả là 0,5% mỗi tháng. Biết giá của một chiếc máy quay là 60 triệu đồng. Vậy nếu cuối mỗi tháng ông An chi trả 2,034 triệu đồng cho hợp đồng thì hỏi sau thời gian bao lâu ông An hoàn thành hợp đồng?
A. 32 tháng. B. 30 tháng. C. 33 tháng. D. 31 tháng.
Lời giải:
Đáp án: A
Đây là dạng toán trả góp dùng công thức:
với A là số tiền vay ban đầu ( 160 triệu đồng); r= 0,5% là lãi suất; X = 2,034 triệu đồng là số tiền trả hàng tháng.
Do đó, sau 32 tháng ông An hoàn thành hợp đồng.
Ví dụ 9. Ông An đã làm hợp đồng vay vốn ngân hàng với số tiền là m triệu đồng với lãi suất 12%/năm. Ông An muốn hoàn nợ lại cho ngân hàng theo cách sau đúng một tháng kể từ ngày ông An vay vốn, ông An bắt đầu hoàn nợ, hai lần hoàn nợ liên tiếp cách nhau một tháng, số tiền hoàn nợ mỗi tháng là như nhau và cách nhau 3 tháng kể từ ngày ông bắt đầu kí hợp đồng vay vốn. Số tiền mỗi lần ông An phải trả cho ngân hàng là 34 triệu đồng, biết rằng lãi suất ngân hàng không thay đổi trong thời gian ông An hoàn nợ, vậy giá trị của m gần đúng với giá trị nào sau đây nhất?
A. m= 100 triệu đồng. B. m= 90 triệu đồng.
C. m= 80 triệu đồng. D. m= 110 triệu đồng.
Lời giải:
Đáp án: A
Đây là dạng toán vay vốn trả góp.
Khi đó,số tiền mỗi tháng ông An cần trả là:
Với m là số tiền vay ban đầu (triệu đồng); là lãi suất, a= 34 triệu đồng là số tiền trả hàng tháng; n= 3 tháng.
3. Bài tập tự luyện
Bài 1. Anh Tài vay ngân hàng 2 tỉ đồng để xây nhà và trả dần mỗi năm 500 triệu đồng. Kì trả đầu tiên là sau khi nhận vốn với lãi suất trả chậm 9% một năm. Hỏi sau mấy năm anh Tài mới trả hết nợ đã vay?
A. 5 năm.
B. 3 năm.
C. 4 năm.
D. 6 năm.
Bài 2. Một người vay ngân hàng số tiền 350 triệu đồng, mỗi tháng trả góp 8 triệu đồng và lãi suất cho số tiền chưa trả là 0,79% một tháng. Kì trả đầu tiên là cuối tháng thứ nhất. Hỏi số tiền phải trả ở kì cuối là bao nhiêu để người này hết nợ ngân hàng? (làm tròn đến hàng nghìn).
A. 7140000 đồng.
B. 984000 đồng.
C. 2944000 đồng.
D. 2921000 đồng.
Bài 3. Theo chính sách tín dụng của chính phủ hỗ trợ sinh viên vay vốn trang trải học tập: mỗi sinh viên được vay tối đa 900000 đồng/tháng (9 triệu/năm học), với lãi suất 0,45% một tháng. Mỗi năm lập thủ tục vay 2 lần ứng với 2 học kì và được nhận tiền vay đầu mỗi học kì (mỗi lần nhận tiền vay là 4,5 triệu). Giả sử sinh viên A trong thời gian học đại học 5 năm vay tối đa theo chính sách thì tổng số tiền nợ bao gồm cả lãi là bao nhiêu? (làm tròn đến hàng đơn vị).
A. 52343156 đồng.
B. 52343155 đồng.
C. 46128921 đồng.
D. 96128922 đồng.
Bài 4. Ông B đến siêu thị điện máy để mua một cái laptop với giá 15,5 triệu đồng theo hình thức trả góp với lãi suất 2,5%/tháng. Để mua trả góp ông B phải trước 30% số tiền, số tiền còn lại ông sẽ trả dần trong thời gian 6 tháng kể từ ngày mua, mỗi lần trả cách nhau 1 tháng. Số tiền mỗi tháng ông B phải trả là như nhau và tiền lãi được tính theo nợ gốc còn lại ở cuối mỗi tháng. Hỏi nếu ông B mua theo hình thức trả góp như trên thì số tiền phải trả nhiều hơn so với giá niêm yết là bao nhiêu? Biết rằng lãi suất không đổi trong thời gian ông B hoàn nợ (làm tròn đến chữ số hàng nghìn).
A. 1628000 đồng.
B. 2325000 đồng.
C. 1384000 đồng.
D. 970000 đồng.
Bài 5. Một người vay vốn ở một ngân hàng với số tiền là 50 triệu đồng, thời hạn 48 tháng, lãi suất 1,15% trên tháng, tính theo dư nợ, trả đúng ngày quy định. Hỏi hằng tháng, người đó phải điều đặn trả một khoản tiền cả gốc lẫn lãi là bao nhiêu để đến tháng thứ 48 thì người đó trả hết cả gốc lẫn lãi cho ngân hàng?
A. 1616666,667 đồng.
B. 1361312,807 đồng.
C. 1561312,208 đồng.
D. 1461312,208 đồng.
Bài 6. Một anh công nhân được lĩnh lương khởi điểm là 700000 đồng/tháng. Cứ ba năm anh ta lại được tăng lương thêm 7%. Hỏi sau 36 năm làm việc anh công nhận được lĩnh tổng cộng bao nhiêu tiền (lấy chính xác đến hàng đơn vị)?
A. 456788972 đồng.
B. 450788972 đồng.
C. 452788972 đồng.
D. 454788972 đồng.
Bài 7. Một học sinh muốn mua Iphone 7 Plus có giá 20 triệu đồng. Vì không có tiền nên em giấu bố mẹ đi mua trả góp kì hạn theo tháng với lãi suất 5% mỗi tháng. Nếu em muốn sau 18 tháng trả hết nợ thì mỗi tháng em cần trả số tiền là m (kết quả được quy tròn về hàng nghìn đồng). Biết trong thời gian đó, lương của mẹ em mỗi tháng bằng 2,5 triệu, so sánh m với lương của mẹ bạn đó ta có
A. Ít hơn 958.000 đồng
B. Nhiều hơn 912.000 đồng.
C. Ít hơn 789.000 đồng
D. Nhiều hơn 128.000 đồng
Bài 8. Được sự hỗ trợ từ Ngân hàng Chính sách xã hội địa phương, nhằm giúp đỡ các sinh viên có hoàn cảnh khó khăn hoàn thành việc đóng học phí học tập, một bạn sinh viên A đã vay của ngân hàng 20 triệu đồng với lãi suất 12%/năm và ngân hàng chỉ bắt đầu tính lãi sau khi bạn A kết thúc khóa học. Bạn A đã hoàn thành khóa học và đi làm với mức lương là 5,5 triệu đồng/tháng. Bạn A dự tính sẽ trả hết nợ gốc lẫn lãi suất cho ngân hàng trong 36 tháng. Hỏi số tiền m mỗi tháng mà bạn A phải trả cho ngân hàng là bao nhiêu?
Bài 9. Anh Bình mua một chiếc điện thoại giá 9 triệu đồng theo hình thức trả trước 30% và phần còn lại trả góp hàng tháng với lãi suất 0,9%/tháng. Biết rằng anh Bình muốn trả nợ cửa hàng theo cách: Sau đúng một tháng kể từ ngày mua, anh Bình bắt đầu trả nợ, hai lần trả nợ liên tiếp cách nhau đúng một tháng, số tiền trả nợ ở mỗi lần như nhau. Hỏi, sau 12 tháng anh Bình muốn trả hết nợ thì hàng tháng anh Bình phải trả cho cửa hàng bao nhiêu tiền (làm tròn đến ngàn đồng)? Biết lãi suất không thay đổi trong thời gian anh Bình trả nợ.
Bài 10. Bạn An mua một chiếc máy tính giá 10 triệu đồng bằng hình thức trả góp với lãi suất 0,7%/tháng. Để mang máy về dùng, ban đầu An trả 3 triệu đồng. Kể từ tháng tiếp theo sau khi mua An trả mỗi tháng 500 ngàn đồng. Hỏi tháng cuối cùng An phải trả bao nhiêu tiền thì hết nợ (làm tròn đến đơn vị ngàn đồng).
(199k) Xem Khóa học Toán 12 KNTTXem Khóa học Toán 12 CDXem Khóa học Toán 12 CTST
Xem thêm các dạng bài tập Toán lớp 12 ôn thi Tốt nghiệp có lời giải hay khác:
- Bài toán lãi đơn có lời giải
- Bài toán lãi kép có lời giải
- Bài toán Tiền gửi ngân hàng có lời giải
- Bài toán Gửi ngân hàng và rút tiền gửi hàng tháng có lời giải
- Bài toán Lãi kép liên tục có lời giải
- Bài tập lãi suất tổng hợp ôn thi Tốt nghiệp
Đã có app VietJack trên điện thoại, giải bài tập SGK, SBT Soạn văn, Văn mẫu, Thi online, Bài giảng....miễn phí. Tải ngay ứng dụng trên Android và iOS.
Theo dõi chúng tôi miễn phí trên mạng xã hội facebook và youtube:Nếu thấy hay, hãy động viên và chia sẻ nhé! Các bình luận không phù hợp với nội quy bình luận trang web sẽ bị cấm bình luận vĩnh viễn.
- Giải Tiếng Anh 12 Global Success
- Giải sgk Tiếng Anh 12 Smart World
- Giải sgk Tiếng Anh 12 Friends Global
- Lớp 12 Kết nối tri thức
- Soạn văn 12 (hay nhất) - KNTT
- Soạn văn 12 (ngắn nhất) - KNTT
- Giải sgk Toán 12 - KNTT
- Giải sgk Vật Lí 12 - KNTT
- Giải sgk Hóa học 12 - KNTT
- Giải sgk Sinh học 12 - KNTT
- Giải sgk Lịch Sử 12 - KNTT
- Giải sgk Địa Lí 12 - KNTT
- Giải sgk Giáo dục KTPL 12 - KNTT
- Giải sgk Tin học 12 - KNTT
- Giải sgk Công nghệ 12 - KNTT
- Giải sgk Hoạt động trải nghiệm 12 - KNTT
- Giải sgk Giáo dục quốc phòng 12 - KNTT
- Giải sgk Âm nhạc 12 - KNTT
- Giải sgk Mĩ thuật 12 - KNTT
- Lớp 12 Chân trời sáng tạo
- Soạn văn 12 (hay nhất) - CTST
- Soạn văn 12 (ngắn nhất) - CTST
- Giải sgk Toán 12 - CTST
- Giải sgk Vật Lí 12 - CTST
- Giải sgk Hóa học 12 - CTST
- Giải sgk Sinh học 12 - CTST
- Giải sgk Lịch Sử 12 - CTST
- Giải sgk Địa Lí 12 - CTST
- Giải sgk Giáo dục KTPL 12 - CTST
- Giải sgk Tin học 12 - CTST
- Giải sgk Hoạt động trải nghiệm 12 - CTST
- Giải sgk Âm nhạc 12 - CTST
- Lớp 12 Cánh diều
- Soạn văn 12 Cánh diều (hay nhất)
- Soạn văn 12 Cánh diều (ngắn nhất)
- Giải sgk Toán 12 Cánh diều
- Giải sgk Vật Lí 12 - Cánh diều
- Giải sgk Hóa học 12 - Cánh diều
- Giải sgk Sinh học 12 - Cánh diều
- Giải sgk Lịch Sử 12 - Cánh diều
- Giải sgk Địa Lí 12 - Cánh diều
- Giải sgk Giáo dục KTPL 12 - Cánh diều
- Giải sgk Tin học 12 - Cánh diều
- Giải sgk Công nghệ 12 - Cánh diều
- Giải sgk Hoạt động trải nghiệm 12 - Cánh diều
- Giải sgk Giáo dục quốc phòng 12 - Cánh diều
- Giải sgk Âm nhạc 12 - Cánh diều


Giải bài tập SGK & SBT
Tài liệu giáo viên
Sách
Khóa học
Thi online
Hỏi đáp

