Giải phương trình logarit bằng cách đưa về phương trình tích (cực hay)
Bài viết Giải phương trình logarit bằng cách đưa về phương trình tích với phương pháp giải chi tiết giúp học sinh ôn tập, biết cách làm bài tập Giải phương trình logarit bằng cách đưa về phương trình tích.
Giải phương trình logarit bằng cách đưa về phương trình tích (cực hay)
(199k) Xem Khóa học Toán 12 KNTTXem Khóa học Toán 12 CDXem Khóa học Toán 12 CTST
Bài giảng: Cách giải phương trình logarit - Cô Nguyễn Phương Anh (Giáo viên VietJack)
A. Phương pháp giải
Dùng các biến đổi tương đương để đưa phương trình về dạng f(x).g(x)=0.
B. Bài tập vận dụng
Câu 1:Phương trình log2( 3x-4) .log2x= log2x có tổng bình phương các nghiệm là:
A. 6.
B. 5.
C. 4
D. 17
Lời giải:
Điều kiện:
Theo đầu bài ta có:
log2( 3x-4) .log2x= log2x hay log2x [ log2( 3x-4) -1]= 0
Kết hợp điều kiện suy ra nghiệm của phương trình đã cho là x = 2
Tổng bình phương các nghiệm là 22= 4.
Chọn C.
Câu 2:Phương trình log2x + 2log5x= 2+ log2x.log5x có tích các nghiệm là:
A. 21.
B. 20.
C. 22.
D. 24
Lời giải:
Điều kiện x > 0.
Theo đầu bài ta có:
log2x + 2log5x= 2+ log2x.log5x
Hay log2x( log5x- 1) – 2( log5x- 1) =0
Suy ra( log5x-1) (log2x- 2) = 0
Vậy 2 nghiệm của phương trình đã cho là 4; 5 và tích 2 nghiệm của phương trình là 20.
Chọn B.
Câu 3:Tổng các nghiệm của phương trình log2x- logx.log2( 4x)+2log2x=0 là:
A. 100.
B. 101.
C. 102.
D. 103
Lời giải:
Điều kiện: x > 0
Tổng các nghiệm của phương trình là 101.
Chọn B.
Câu 4:Phương trình log2x+ log3x= log2x. log3x) + 1 có số nghiệm là:
A. 1.
B. 2.
C. 3.
D. 4.
Lời giải:
Điều kiện: x > 0
Từ phương trình đã cho ta suy ra:
(log2x- 1)+ ( log3x- log2x. log3x) = 0
Hay ( log2x- 1)+ log3x( 1- log2x) = 0
Suy ra ( 1- log3x) ( 1- log2x) =0
Thỏa mãn điều kiện; vậy phương trình đã cho có 2 nghiệm.
Chọn C.
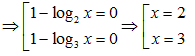
Câu 5:Phương trình có hiệu giữa nghiệm lớn và nghiệm nhỏ bằng:
A. 1.
B. 2.
C. 3.
D. 0.
Lời giải:
Điều kiện: x > 0
Vậy phương trình đã cho có 2 nghiệm là 2 và 1 ; hiệu của nghiệm lớn và nghiệm bé là 1.
Chọn A.
Câu 6:Giải phương trình log2x.log3x+x.log3x +3= log2x+ 3log3x+x. Ta có tổng các nghiệm là:
A. 4
B. 9.
C. 35.
D. 5
Lời giải:
Điều kiện : x > 0
log2x.log3x+x.log3x +3= log2x+ 3log3x+x
hay (log2x.log3x- log2x) +(x.log3x-x) +(3- 3log3x)=0
suy ra: log2x( log3x- 1)+ x( log3x- 1) - 3( log3x- 1) =0
Tương đương ( log3x- 1) ( log2x+ x-3) =0
Thỏa mãn điều kiện; vậy tổng hai nghiệm của phương trình là 5.
Chọn D.
Đã có app VietJack trên điện thoại, giải bài tập SGK, SBT Soạn văn, Văn mẫu, Thi online, Bài giảng....miễn phí. Tải ngay ứng dụng trên Android và iOS.
Theo dõi chúng tôi miễn phí trên mạng xã hội facebook và youtube:Nếu thấy hay, hãy động viên và chia sẻ nhé! Các bình luận không phù hợp với nội quy bình luận trang web sẽ bị cấm bình luận vĩnh viễn.
- Giải Tiếng Anh 12 Global Success
- Giải sgk Tiếng Anh 12 Smart World
- Giải sgk Tiếng Anh 12 Friends Global
- Lớp 12 Kết nối tri thức
- Soạn văn 12 (hay nhất) - KNTT
- Soạn văn 12 (ngắn nhất) - KNTT
- Giải sgk Toán 12 - KNTT
- Giải sgk Vật Lí 12 - KNTT
- Giải sgk Hóa học 12 - KNTT
- Giải sgk Sinh học 12 - KNTT
- Giải sgk Lịch Sử 12 - KNTT
- Giải sgk Địa Lí 12 - KNTT
- Giải sgk Giáo dục KTPL 12 - KNTT
- Giải sgk Tin học 12 - KNTT
- Giải sgk Công nghệ 12 - KNTT
- Giải sgk Hoạt động trải nghiệm 12 - KNTT
- Giải sgk Giáo dục quốc phòng 12 - KNTT
- Giải sgk Âm nhạc 12 - KNTT
- Giải sgk Mĩ thuật 12 - KNTT
- Lớp 12 Chân trời sáng tạo
- Soạn văn 12 (hay nhất) - CTST
- Soạn văn 12 (ngắn nhất) - CTST
- Giải sgk Toán 12 - CTST
- Giải sgk Vật Lí 12 - CTST
- Giải sgk Hóa học 12 - CTST
- Giải sgk Sinh học 12 - CTST
- Giải sgk Lịch Sử 12 - CTST
- Giải sgk Địa Lí 12 - CTST
- Giải sgk Giáo dục KTPL 12 - CTST
- Giải sgk Tin học 12 - CTST
- Giải sgk Hoạt động trải nghiệm 12 - CTST
- Giải sgk Âm nhạc 12 - CTST
- Lớp 12 Cánh diều
- Soạn văn 12 Cánh diều (hay nhất)
- Soạn văn 12 Cánh diều (ngắn nhất)
- Giải sgk Toán 12 Cánh diều
- Giải sgk Vật Lí 12 - Cánh diều
- Giải sgk Hóa học 12 - Cánh diều
- Giải sgk Sinh học 12 - Cánh diều
- Giải sgk Lịch Sử 12 - Cánh diều
- Giải sgk Địa Lí 12 - Cánh diều
- Giải sgk Giáo dục KTPL 12 - Cánh diều
- Giải sgk Tin học 12 - Cánh diều
- Giải sgk Công nghệ 12 - Cánh diều
- Giải sgk Hoạt động trải nghiệm 12 - Cánh diều
- Giải sgk Giáo dục quốc phòng 12 - Cánh diều
- Giải sgk Âm nhạc 12 - Cánh diều


Giải bài tập SGK & SBT
Tài liệu giáo viên
Sách
Khóa học
Thi online
Hỏi đáp

