Phương pháp giải bài tập hàm số lũy thừa, hàm số mũ, hàm số logarit hay nhất
Với Phương pháp giải bài tập hàm số lũy thừa, hàm số mũ, hàm số logarit hay nhất môn Toán lớp 12 sẽ giúp học sinh nắm vững lý thuyết, biết cách và phương pháp giải các dạng bài tập từ đó có kế hoạch ôn tập hiệu quả để đạt kết quả cao trong các bài thi môn Toán 12.
Phương pháp giải bài tập hàm số lũy thừa, hàm số mũ, hàm số logarit hay nhất
(199k) Xem Khóa học Toán 12 KNTTXem Khóa học Toán 12 CDXem Khóa học Toán 12 CTST

I. LÝ THUYẾT
1. Hàm số lũy thừa
+ Khái niệm: Hàm số y = xα, với α ∈ R , được gọi là hàm số lũy thừa.
+ Tập xác định: Tập xác định của hàm số lũy thừa y = xα tùy thuộc vào giá trị của .
Cụ thể:
- Với α nguyên dương, tập xác định là R .
- Với α nguyên âm hoặc bằng 0, tập xác định là R\ .
- Với α không nguyên, tập xác định (0;+∞).
+ Đạo hàm:
(xα)' = α.xα-1
u = u(x) => (uα)' = α.u'.uα-1
+ Sự biến thiên của hàm số y = xα trong khoảng (0;+∞)
Với α > 0: Hàm số đồng biến trong khoảng (0;+∞)
Với α < 0: Hàm số nghịch biến trong khoảng (0;+∞)
+ Đồ thị hàm số y = xα trong khoảng (0;+∞)

Đồ thị của hàm số lũy thừa y = xα luôn đi qua điểm I(1,1).
2. Hàm số mũ
Hàm số có dạng y = xα, 0 < a ≠ 1 được gọi là hàm số mũ.
+ Tập xác định: D = R .
+ Tập giá trị: T = (0;+∞).
+ Sự biến thiên:
Khi a > 1 hàm số đồng biến trên khoảng (-∞;+∞)
Khi 0 < a < 1 hàm số nghịch biến trên khoảng (-∞;+∞)
+ Đồ thị nhận trục hoành làm tiệm cận ngang.
+ Đạo hàm:

+ Bảng biến thiên và đồ thị:
Với: y = xα, (a > 1)
Bảng biến thiên.

Đồ thị như hình sau.

Với: y = xα, (0 < a < 1)
Bảng biến thiên.

Đồ thị như hình sau.

3. Hàm số logarit
Hàm số có dạng y = log2x (0 < a ≠ 1) .
Tập xác định: D = (0,+∞)
Tập giá trị: T = R.
Đạo hàm:

Sự biến thiên: Khi a > 1 hàm số đồng biến trên khoảng (0,+∞)
Khi 0 < a < 1 hàm số nghịch biến trên khoảng (0,+∞)
Đồ thị:

Đồ thị nhận trục tung làm tiệm cận đứng.
II. CÁC DẠNG BÀI TẬP VÀ PHƯƠNG PHÁP GIẢI
Dạng 1: Tìm tập xác định của hàm số.
A. Phương pháp giải
- Tìm tập xác định của hàm số lũy thừa: y = u(x)α, ∀α ∈ R
Nếu α ∈ Z+, hàm số xác định khi u(x) xác định.
Nếu
, hàm số xác định khi u(x) ≠ 0 .
Nếu α ∉ Z, hàm số xác định khi u(x) > 0.
- Tìm tập xác định của hàm số logarit:
Dựa vào định nghĩa logarit logab xác định
B. Ví dụ minh họa
Câu 1. Hàm số
có tập xác định là
A. D = [2; +∞).
B. D = R.
C. D = (2; +∞)
D. D = R\.
Lời giải
Chọn C
Vì
không nguyên nên hàm số
xác định khi x - 2 > 0 ⇔ x > 2.
Tập xác định của hàm số là D = (2; +∞) .
Câu 2. Cho hàm số y = x-4 . Tìm mệnh đề sai trong các mệnh đề sau.
A. Đồ thị hàm số có một trục đối xứng.
B. Đồ thị hàm số đi qua điểm(1,1).
C. Đồ thị hàm số có hai đường tiệm cận.
D. Đồ thị hàm số có một tâm đối xứng.
Lời giải
Chọn D
* TXĐ: D = R \ .
Ta có:
nên hàm số đã cho là hàm số chẵn => Đồ thị hàm số nhận trục Oy làm trục đối xứng => A đúng.
* Đồ thị hàm số đi qua điểm (1;1) nên B đúng.
* Ta có: 
Đồ thị hàm số có hai đường tiệm cận nên C đúng.
Câu 3. Tập xác định của hàm số y = (x2 - 5x + 6)-2019 là
A. (-∞; 2) ∪ (3;+∞).
B.(2;3).
C. R\.
D. (-∞; 2] ∪ [3;+∞)
Lời giải
Chọn C
Vì -2019 là số nguyên âm nên hàm số y = (x2 - 5x + 6)-2019 xác định khi .

Câu 4.Tìm tập xác định của hàm số y = (x2 - x - 2)√2.
A. D = R .
B. D = (-∞; -1] ∪ [2;+∞).
C. D = (-∞; -1) ∪ (2;+∞).
D. D = R\{-1;2} .
Lời giải
Chọn C
Vì √2 không nguyên nên hàm số y = (x2 - x - 2)√2 xác định khi:
TXĐ: D = (-∞; -1) ∪ (2;+∞).
Câu 5. Tập xác định của hàm số
là
A. D = (3;+∞) .
B. D = R\ .
C. R .
D. D = [3;+∞) .
Lời giải
Chọn A
Vì
không nguyên nên hàm số đã cho xác định khi x3 - 27 > 0 ⇔ x3 > 27 ⇔ x > 3 .
Câu 6. Có bao nhiêu giá trị nguyên của m ∈ (-2018;2018) để hàm số y = (x2 - 2x - m + 1)√2018 có tập xác định là D = R .
A. 2017.
B. Vô số.
C. 2018.
D. 2016.
Lời giải
Chọn A
Vì √2018 không nguyên nên hàm số y = (x2 - 2x - m + 1)√2018 có tập xác định là D = R khi và chỉ khi x2 - 2x - m + 1 > 0, ∀x ∈ R ⇔x2 - 2x + 1 > m, ∀x ∈ R ⇔ (x - 1)2 > m, ∀x ∈ R ⇔ m < 0.
m ∈ (-2018;2018) => m ∈ (-2018;0) mà m nguyên nên m ∈ {-2017;2016;...;-1} . Vậy có 2017 giá trị nguyên của m.
Câu 7: Tìm tập xác định D của hàm số y = log3(2x + 1) .
A.
.
B. 
C. D = (0; +∞) .
D. 
Lời giải
Chọn D
Hàm số y = log3(2x + 1) có nghĩa khi 2x + 1 > 0 ⇔
. Vậy TXĐ là
Câu 8: Tìm tập xác định D của hàm số y = log3(x2 + 3x + 2).
A. D = [-2, -1].
B. D = (-∞;-2) ∪ (-1;+∞) .
C. D = (-2, -1).
D. D = (-∞;-2] ∪ [-1;+∞) .
Lời giải
Chọn B
Điều kiện x2 + 3x + 2 > 0
. Vậy tập xác định của hàm số y = log3(x2 + 3x + 2) là: D = (-∞;-2) ∪ (-1;+∞)
Câu 9: Hàm số y = log2(-x2 + 5x - 6) có tập xác định là:
A. (2, 3).
B. (-∞;-2) ∪ (3;+∞).
C. (-∞;-2).
D. (3;+∞).
Lời giải
Chọn A
Hàm số có nghĩa khi và chỉ khi -x2 + 5x - 6 > 0 ⇔ 2 < x < 3.
Kết luận. Vậy tập xác định là (2; 3).
Câu 10: Tập xác định của hàm số y = ln(x - 1) + ln(x + 1) là:
A. (1;+∞).
B. (-∞; √2).
C. ø.
D. [√2; +∞).
Lời giải
Chọn A
Ta có 
Kết luận: Vậy tập xác định D = (1;+∞).
Dạng 2: Tính đạo hàm của hàm số.
A. Phương pháp giải


B. Ví dụ minh họa
Câu 1. Tính đạo hàm của hàm số

Lời giải
Chọn D
Ta có

Câu 2. Cho hàm số y = (2x2 + 4x + 1)√3. Khi đó đạo hàm y’(0) bằng
A. 4√3 .
B. 0.
C. 12√3
D. 28.
Lời giải
Chọn A
y = (2x2 + 4x + 1)√3 => y’(x) = √3.(4x + 4).(2x2 + 4x + 1)√3-1 => y’(0) = 4√3
Câu 3. Cho hàm số y = (x + 2)-2. Gọi y’’ là đạo hàm cấp hai của hàm số y trên tập xác định của hàm số. Khẳng định nào sau đây là đúng?
A. 2y’’ – 3y = 0.
B. (y’’)2 - 4y = 0 .
C. 2y’’ + 2y = 0.
D. y’’ + 6y2 = 0.
Lời giải
Chọn D
Ta có:
y = (x + 2)-2 => y' = -2(x + 2)-3
=> y’’ = 6(x + 2)-4 = 0.
Suy ra 
Câu 4: Tính đạo hàm của hàm số y = log2017(x2 + 1) .

Lời giải
Chọn B
Ta có
Câu 5: Cho hàm số y = 2xex + 3sin2x. Khi đó y’(0) có giá trị bằng
A. 8 .
B. -4 .
C. 2 .
D. 5 .
Lời giải
Chọn A
y = 2xex + 3sin2x
y' = 2(ex + xex) + 6cos2x => y'(0) = 8
Câu 6: Tính đạo hàm của hàm số y = 2√1-x .

Lời giải
Chọn A

Câu 7: Cho hàm số y = ex + e-x. Tính y''(1) = ?

Lời giải
Chọn A
Ta có: y' = ex + e-x => y'' = ex + e-x => y''(1) = e + 
Câu 8: Tính đạo hàm của hàm số y = 36x+1 .
A. y' = 36x+1.2.
B. y' = (6x + 1).36x .
C. y' = 36x+1.2ln3 .
D. y' = 36x+1.ln3
Lời giải
Chọn C
Ta có:
y = 36x+1 => y' = (6x + 1)'.36x+1ln3 = 6.36x+1.ln3 = 36x+1.2ln3
Câu 9: Cho hàm số
Hệ thức nào sau đây đúng?
A. xy' + 1 = ex .
B. xey + y' = 0 .
C. xy' + ey = 1.
D. xey + y' = 1
Lời giải
Chọn A
Ta có 
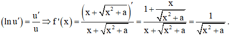
Câu 10: Đạo hàm của hàm số
là :

Lời giải
Chọn A
Áp dụng công thức: 
Dạng 3: Khảo sát sự biến thiên và đồ thị của hàm số.
A. Phương pháp giải
- Sự biến thiên của các hàm số: Áp dụng tính chất:
a) Hàm số lũy thừa y = xα trong khoảng (0; +∞)
Với α > 0: Hàm số đồng biến trong khoảng (0; +∞)
Với α < 0: Hàm số nghịch biến trong khoảng (0; +∞)
b) Hàm số mũ: y = xα (a > 0; a ≠ 1). Tập xác định: R
Nếu a > 1: hàm số luôn đồng biến.
Nếu 0 < a < 1: hàm số luôn nghịch biến.
c) Hàm số logarit y = logax (a > 0, a ≠ 1). Tập xác định: (0; +∞)
Nếu a > 1: hàm số đồng biến (0; +∞)
Nếu 0 < a < 1: hàm số nghịch biến (0; +∞)
- Đồ thị của các hàm số.
B1: Dựa vào tính đơn điệu của hàm số
B2:
Đồ thị của hàm số lũy thừa y = xα luôn đi qua điểm I(1,1)
Đồ thị hàm số mũ y = xα luôn đi qua điểm A(1,a)
Đồ thị hàm số y = logax đi qua điểm B(a;1)
B. Ví dụ minh họa
Câu 1. Hàm số nào sau đây luôn nghịch biến trên tập xác định của nó:
A. y = x√3
B. y = xπ
C. y =
D. y = x√5
Lời giải
Chọn C
Hàm số y = x√3 có tập xác định là (0;+∞) và α = √3 > 0 nên hàm số đồng biến trong khoảng (0; +∞)
Hàm số y = xπ có tập xác định là (0; +∞) và α = π > 0 nên hàm số đồng biến trong khoảng (0; +∞)
Hàm số y =
có tập xác định là (0; +∞) và
< 0 nên hàm số nghịch biến trong khoảng (0; +∞)
Hàm số y = x√5 có tập xác định là (0; +∞) và α = √5 > 0 nên hàm số đồng biến trong khoảng (0; +∞)
Câu 2. Cho ba hàm số y = x√3,
y = x-2 . Khi đó đồ thị của ba hàm số y = x√3,
y = x-2 lần lượt là

A. (C3), (C2), (C1).
B. (C2), (C3), (C1).
C. (C2), (C1), (C3).
D. (C1), (C3), (C2).
Lời giải
Chọn B
Nhìn vào đồ thị (C1) ta thấy nó đi xuống từ trái sang phải. Là đồ thị của hàm số nghịch biến nên nó là đồ thị của hàm số y = x-2.
Vì √3 > 1 nên đồ thị của hàm số y = x√3 là (C2)
Do đó (C3) là đồ thị của hàm số
Vậy đáp án là: B
Câu 3: Hàm số nào sau đây đồng biến trên tập xác định của nó?
A. y = log2(1 - x) .
B. y = 20172-x .
C.
D. 
Lời giải
Chọn C
Hàm số 
Ta có 
Câu 4: Hàm số nào sau đây nghịch biến trên tập xác định của nó?
A.
B. y = log√3x .
C. y = log2x .
D. y = logπx .
Lời giải
Chọn A
Xét hàm
có TXĐ: D = (0; +∞)
Vì
là hàm nghịch biến trên tập xác định D.
Câu 5: Cho hàm số
Trong các khẳng định dưới đây, khẳng định nào đúng?
A. Hàm số luôn đồng biến trên R.
B. Hàm số luôn nghịch biến trên khoảng (-∞; 1) .
C. Hàm số luôn đồng biến trên trên (-∞; 1).
D. Hàm số luôn nghịch biến trên R.
Lời giải
Chọn C

Bảng biến thiên:

Từ bảng biến thiên ta có hàm số luôn đồng biến trên trên (-∞; 1).
Câu 6: Tìm tất cả các giá trị của tham số m để hàm số y = ln(16x2 + 1) - (m + 1)x + m + 2 nghịch biến trên khoảng (-∞; +∞).
A. m ∈ (-∞; -3].
B. m ∈ [3;+∞) .
C. m ∈ (-∞; -3) .
D. m ∈ [-3; 3] .
Lời giải
Chọn B
Ta có: y = ln(16x2 + 1) - (m + 1)x + m + 2
Hàm số nghịch biến trên R khi và chỉ khi y' ≤ 0, ∀x ∈ R

Cách 1:
, ∀x ∈ R ⇔ 32x - (m + 1)(16x2 + 1) ≤ 0,∀x ∈ R
⇔ -16(m + 1)x2 + 32x - (m + 1) ≤ 0,∀x ∈ R (1)

TH: m = -1 thì (1) thành x ≤ 0 nên m = -1 không thỏa mãn
Cách 2: 

Bảng biến thiên:

Dựa vào bảng biến thiên ta có
Do đó: m + 1 ≥ 4 ⇔ m ≥ 3.
III. BÀI TẬP TỰ LUYỆN
Câu 1: Tập xác định D của hàm số y = (x2 - 3x + 2)√2 là
A. D = R\ . B. D = (-∞;-1) ∪ (-2;+∞) .
C. (-∞;-1) ∪ (2;+∞) . D. D = R\{-1,2} .
Câu 2: Hàm số y = (x2 - 2x + 2)ex có đạo hàm là
A. (2x + 2)ex . B. x2ex . C. -2xex . D. (2x - 2)ex
Câu 3: Tính đạo hàm của hàm số y = 2√1-x .

Câu 4: Đạo hàm của hàm số y = (2x2 - 5x + 2)ex là:
A. xex B. (2x2 - x - 3)ex . C. 2x2ex . D. (4x - 5)ex .
Câu 5: Tập xác định D của hàm số y = log3(log2x) là
A. D = R . B. D = (0,1) . C. D = (0; +∞) . D. D = (1; +∞)
Câu 6: Cho hàm số y = log2x2. Tìm khẳng định sai.
A. Hàm số đồng biến trên (0; +∞). B. Hàm số nghịch biến trên (-∞;0).
C. Hàm số có một điểm cực tiểu. D. Đồ thị hàm số có đường tiệm cận.
Câu 7: Cho ba số a , b , c dương và khác 1. Các hàm số y = logax , y = logbx , y = logcx có đồ thị như hình vẽ sau

Khẳng định nào dưới đây đúng?
A. a > c > b B. a > b > c. C. c > b > a. D. b > c > a.
Câu 8: Tập xác định
là:
A. D = (1;2] B. D = [1;2] C. D = (1;1) D. D = (-1;2)
Câu 9: Tìm tập xác định D của hàm số 
A. D = (-∞;1) ∪ (2,10) B. D = (1;+∞)
C. D = (-∞;10) D. D = (2,10)
Câu 10: Đạo hàm của hàm số y = log8(x2 - 3x - 4) là:

Câu 11:Đạo hàm của hàm số y = log(2sinx - 1) trên tập xác định là:

Câu 12: Tính đạo hàm của hàm số 

Bài 13. Tìm tập xác định D của hàm số y = log5(x2 – 3x + 2).
Bài 14. Xét tính đồng biến, nghịch biến của hàm số y = log2x.
Bài 15. Cho ba số a, b, c dương và khác 1. Các hàm số y = logax, y = logbx, y = cx có đồ thị như hình vẽ sau. Khẳng định nào sau đây đúng:
A. c > b > a.
B. c > a > b.
C. a > b > c.
D. b > a > c.
Bài 16. Cho ba số a, b, c dương và khác 1. Các hàm số y = logax, y = logbx, y = logcx có đồ thị như hình vẽ sau. Khẳng định nào sau đây đúng:
A. b < a < c.
B. a < c < b.
C. c < b < a.
D. a < b < c.
Bài 17. Tìm tập xác định của hàm số sau:
a) f(x) = log8(x2 – 5x – 6).
b) y = .
Bảng đáp án bài tập tự luyện
1 |
2 |
3 |
4 |
5 |
6 |
7 |
8 |
9 |
10 |
11 |
12 |
C |
B |
A |
B |
D |
C |
A |
A |
A |
A |
C |
A |
(199k) Xem Khóa học Toán 12 KNTTXem Khóa học Toán 12 CDXem Khóa học Toán 12 CTST
Xem thêm các dạng bài tập Toán lớp 12 ôn thi Tốt nghiệp có lời giải hay khác:
- Phương trình mũ
- Phương trình lôgarit
- Bất phương trình mũ
- Bất phương trình lôgarit
- Bài toán về lãi suất ngân hàng
Đã có app VietJack trên điện thoại, giải bài tập SGK, SBT Soạn văn, Văn mẫu, Thi online, Bài giảng....miễn phí. Tải ngay ứng dụng trên Android và iOS.
Theo dõi chúng tôi miễn phí trên mạng xã hội facebook và youtube:Nếu thấy hay, hãy động viên và chia sẻ nhé! Các bình luận không phù hợp với nội quy bình luận trang web sẽ bị cấm bình luận vĩnh viễn.
- Giải Tiếng Anh 12 Global Success
- Giải sgk Tiếng Anh 12 Smart World
- Giải sgk Tiếng Anh 12 Friends Global
- Lớp 12 Kết nối tri thức
- Soạn văn 12 (hay nhất) - KNTT
- Soạn văn 12 (ngắn nhất) - KNTT
- Giải sgk Toán 12 - KNTT
- Giải sgk Vật Lí 12 - KNTT
- Giải sgk Hóa học 12 - KNTT
- Giải sgk Sinh học 12 - KNTT
- Giải sgk Lịch Sử 12 - KNTT
- Giải sgk Địa Lí 12 - KNTT
- Giải sgk Giáo dục KTPL 12 - KNTT
- Giải sgk Tin học 12 - KNTT
- Giải sgk Công nghệ 12 - KNTT
- Giải sgk Hoạt động trải nghiệm 12 - KNTT
- Giải sgk Giáo dục quốc phòng 12 - KNTT
- Giải sgk Âm nhạc 12 - KNTT
- Giải sgk Mĩ thuật 12 - KNTT
- Lớp 12 Chân trời sáng tạo
- Soạn văn 12 (hay nhất) - CTST
- Soạn văn 12 (ngắn nhất) - CTST
- Giải sgk Toán 12 - CTST
- Giải sgk Vật Lí 12 - CTST
- Giải sgk Hóa học 12 - CTST
- Giải sgk Sinh học 12 - CTST
- Giải sgk Lịch Sử 12 - CTST
- Giải sgk Địa Lí 12 - CTST
- Giải sgk Giáo dục KTPL 12 - CTST
- Giải sgk Tin học 12 - CTST
- Giải sgk Hoạt động trải nghiệm 12 - CTST
- Giải sgk Âm nhạc 12 - CTST
- Lớp 12 Cánh diều
- Soạn văn 12 Cánh diều (hay nhất)
- Soạn văn 12 Cánh diều (ngắn nhất)
- Giải sgk Toán 12 Cánh diều
- Giải sgk Vật Lí 12 - Cánh diều
- Giải sgk Hóa học 12 - Cánh diều
- Giải sgk Sinh học 12 - Cánh diều
- Giải sgk Lịch Sử 12 - Cánh diều
- Giải sgk Địa Lí 12 - Cánh diều
- Giải sgk Giáo dục KTPL 12 - Cánh diều
- Giải sgk Tin học 12 - Cánh diều
- Giải sgk Công nghệ 12 - Cánh diều
- Giải sgk Hoạt động trải nghiệm 12 - Cánh diều
- Giải sgk Giáo dục quốc phòng 12 - Cánh diều
- Giải sgk Âm nhạc 12 - Cánh diều


Giải bài tập SGK & SBT
Tài liệu giáo viên
Sách
Khóa học
Thi online
Hỏi đáp

