Bài toán hàm hợp về tính đơn điệu và cực trị lớp 12 (cách giải + bài tập)
Chuyên đề phương pháp giải bài tập Một số bài toán hàm hợp liên quan đến tính đơn điệu và cực trị lớp 12 chương trình sách mới hay, chi tiết với bài tập tự luyện đa dạng giúp học sinh ôn tập, biết cách làm bài tập Một số bài toán hàm hợp liên quan đến tính đơn điệu và cực trị.
Bài toán hàm hợp về tính đơn điệu và cực trị lớp 12 (cách giải + bài tập)
(199k) Xem Khóa học Toán 12 KNTTXem Khóa học Toán 12 CDXem Khóa học Toán 12 CTST
Bài toán hàm hợp về tính đơn điệu và cực trị lớp 12 - Thầy Thành Đạt (Giáo viên VietJack)
1. Phương pháp giải
• Cho hàm số y = f(x) có đạo hàm trên khoảng K.
a) Nếu f’(x) > 0 với mọi x ∈ K thì hàm số f(x) đồng biến trên khoảng K.
b) Nếu f’(x) < 0 với mọi x ∈ K thì hàm số f(x) nghịch biến trên khoảng K.
• h(x) = f(u(x)).
Ta có h'(x) = u'(x).f'(u(x)).
- Nếu h'(x) đổi dấu qua điểm x0 thuộc tập xác định từ đó suy ra các khoảng đồng biến, nghịch biến, điểm cực trị của hàm số.
2. Ví dụ minh họa
Ví dụ 1. Cho hàm số f(x), bảng xét dấu của f'(x) như sau:
Tìm khoảng đồng biến của hàm số y = f(5 – 2x).
Hướng dẫn giải:
Ta có y' = f'(5 – 2x) = −2f'(5 −2x).
Có y' = 0 ⇔ −2f'(5 – 2x) = 0
Ta có f'(5 – 2x) < 0
f'(5 – 2x) > 0
Bảng biến thiên của hàm số y = f(5 – 2x)
Dựa vào bảng biến thiên ta thấy hàm số y = f(5 – 2x) đồng biến trên khoảng (2; 3) và (4; +∞).
Ví dụ 2. Cho hàm số y = f(x) có đạo hàm f'(x) = (x2 – 1)(x – 4) với mọi x ∈ ℝ. Hàm số g(x) = f(3 – x) có bao nhiêu điểm cực đại.
Hướng dẫn giải:
Từ giả thiết, ta có bảng biến thiên của hàm số f(x)
Ta có g'(x) = −f'(3 – x).
Từ bảng biến thiên của hàm số f(x) ta có
g'(x) > 0 ⇔ f'(3 – x) < 0
Như thế ta có bảng biến thiên của hàm số g(x)
Từ bảng biến thiên, ta nhận thấy hàm số g(x) có 1 điểm cực đại.
3. Bài tập tự luyện
Bài 1. Cho hàm số y = f'(x) có đồ thị như hình vẽ
Hàm số y = f(2 – x2) đồng biến trên khoảng (a; b) khi đó a + 2b có giá trị là
A. 1;
B. 2;
C. 3;
D. 4.
Hướng dẫn giải:
Đáp án đúng là: B
Có y' = −2x.f'(2 – x2).
Có y' > 0
Do đó hàm số đồng biến trên (0; 1). Khi đó a = 0; b = 1 và a + 2b = 2.
Bài 2. Cho hàm số y = f(x) có đồ thị y = f'(x) như hình sau. Hàm số g(x) = f(3 – 2x) + 2024 đồng biến trên khoảng nào dưới đây?
A. (1; +∞);
B. ;
C. (0;) ;
D. .
Hướng dẫn giải:
Đáp án đúng là: B
Ta có g'(x) = −2f'(3 – 2x).
Có g'(x) > 0 ⇔ f'(3 – 2x) < 0 ⇔ 1 < 3 – 2x < 2 ⇔ < x < 1.
Vậy hàm số đã cho đồng biến trên .
Bài 3. Cho hàm số y = f(x) có đạo hàm trên ℝ thỏa mãn f(2) = f(−2) = 0 và đồ thị hàm số y = f'(x) có dạng như hình vẽ bên dưới.
Hàm số g(x) = (f(x))2 nghịch biến trên khoảng nào dưới đây?
A. (−2; −1);
B. ;
C. (−1; 1);
D. (1; 2).
Hướng dẫn giải:
Đáp án đúng là: D
Từ đồ thị hàm số trên, ta có bảng biến thiên như sau:
f(x) < 0,∀x ≠ ±2.
Ta có g'(x) = 2f(x).f'(x).
g'(x) = 2f(x).f'(x) < 0 ⇔ f'(x) > 0
Vậy hàm số đã cho nghịch biến trên khoảng (1; 2).
Bài 4. Cho hàm số y = f(x) có đạo hàm f'(x) = x2(x – 9)(x – 4)2. Khi đó hàm số g(x) = f(x2) đồng biến trên khoảng nào?
A. (−2; 2);
B. (3; +∞);
C. (−∞; −3);
D. (−∞; −3) ∪ (0; 3).
Hướng dẫn giải:
Đáp án đúng là: B
Ta có f'(x) = x2(x – 9)(x – 4)2 ⇒ g'(x) = 2x.x4(x2 – 9)(x2 – 4)2.
Có g'(x) = 0 ⇔ 2x5(x2 – 9)(x2 – 4)2 = 0 ⇔ x = 0 hoặc x = ±3 hoặc x = ±2.
Ta có bảng biến thiên
Vậy hàm số y = f(x2) đồng biến trên khoảng (3; +∞).
Bài 5. Cho hàm số y = f(x) = ax4 + bx3 + cx2 + dx + e, đồ thị hình bên là đồ thị của hàm số y = f'(x).
Xét hàm số g(x) = f(x2 – 2) . Mệnh đề nào dưới đây sai?
A. Hàm số g(x) nghịch biến trên khoảng (−∞; −2);
B. Hàm số g(x) đồng biến trên khoảng (2; +∞);
C. Hàm số g(x) nghịch biến trên khoảng (−1; 0);
D. Hàm số g(x) nghịch biến trên khoảng (0; 2).
Hướng dẫn giải:
Đáp án đúng là: C
Ta có: g'(x) = 2x.f'(x2 - 2); g'(x) = 0
Ta có g'(x) > 0
Vậy hàm số g(x) đồng biến trên các khoảng (−2; 0) và (2; +∞) và nghịch biến trên các khoảng (−∞; −2) và (0; 2).
Bài 6. Cho hàm số y = f'(x) có đồ thị như hình bên. Tìm số điểm cực trị của hàm số g(x) = f(x2 – 2x) trên khoảng (0; +∞).
A. 3;
B. 2;
C. 4;
D. 1.
Hướng dẫn giải:
Đáp án đúng là: B
Ta có g'(x) = (2x – 2)f'(x2 – 2x).
Có g'(x) = 0
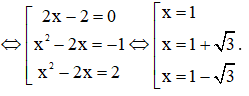
Do g'(x) đổi dấu khi qua các nghiệm x = 1 và x = 1 + nên g(x) = f(x2 – 2x) có 2 điểm cực trị trên khoảng (0; +∞).
Bài 7. Cho hàm số y = f(x) có đạo hàm f'(x2 – 1)(x – 4) với mọi x ∈ ℝ. Hàm số g(x) = f(3 – x) có bao nhiêu điểm cực đại?
A. 0;
B. 1;
C. 2;
D. 3.
Hướng dẫn giải:
Đáp án đúng là: B
Từ giả thiết, ta có bảng biến thiên của hàm số f(x)
Ta có g(x) = f(3 – x) g'(x) = −f'(3 – x).
Từ bảng biến thiên của hàm số f(x) ta có
g'(x) > 0 ⇔ f'(3 – x) < 0
Như thế ta có bảng biến thiên của hàm số g(x)
Từ bảng biến thiên, ta nhận thấy hàm số g(x) có một điểm cực đại.
Bài 8. Cho hàm số y = f(x) có đạo hàm liên tục trên ℝ, bảng biến thiên của hàm số f'(x) như sau:
Số điểm cực trị của hàm số y = f(x2 + 2x) là
A. 4;
B. 5;
C. 1;
D. 7.
Hướng dẫn giải:
Đáp án đúng là: B
Ta có y' = (2x + 2)f'(x2 + 2x) = 0
Từ bảng biến thiên ta thấy phương trình
Đồ thị hàm số y = x2 + 2x có dạng
Từ đồ thị hàm số y = x2 + 2x ta thấy phương trình (2) vô nghiệm; phương trình (3); phương trình (4) đều có 2 nghiệm phân biệt.
Do đó y' = 0 có 5 nghiệm đơn phân biệt. Vậy hàm số y = f(x2 + 2x) có 5 điểm cực trị.
Bài 9. Cho hàm số y = f(x) xác định, liên tục trên ℝ và có đúng hai điểm cực trị x = −1; x = 1 có đồ thị như hình vẽ sau:
Hỏi hàm số y = f(x2 – 2x + 1) có bao nhiêu điểm cực trị?
A. 4;
B. 3;
C. 1;
D. 2.
Hướng dẫn giải:
Đáp án đúng là: B
Do hàm số y = f(x) có đúng hai điểm cực trị x = −1; x = 1 nên phương trình f'(x) = 0 có hai nghiệm bội lẻ phân biệt x = −1; x = 1.
Ta có y' = (2x – 2)f'(x2 – 2x + 1) .
Ta có
Do đó ta có bảng biến thiên:
Từ bảng biến thiên ta suy ra hàm số y = f(x2 – 2x + 1) có 3 cực trị.
Bài 10. Cho hàm số y = f(x) có bảng biến thiên như hình dưới:
Số điểm cực trị của hàm số y = f(x2 – 4x + 1) là:
A. 3;
B. 2;
C. 1;
D. 5.
Hướng dẫn giải:
Đáp án đúng là: D
Ta có y = f(x2 – 4x + 1)
g'(x) = 2(x – 2)f'(x2 – 4x + 1).
Ta có g'(x) = 2(x – 2)f'(x2 – 4x + 1) = 0
Ta có bảng xét dấu của g'(x).
Dựa vào bảng biến thiên ta thấy hàm số g(x) = f(x2 – 4x + 1 ) có 5 điểm cực trị.
(199k) Xem Khóa học Toán 12 KNTTXem Khóa học Toán 12 CDXem Khóa học Toán 12 CTST
Xem thêm các dạng bài tập Toán 12 hay, chi tiết khác:
- Tìm giá trị nhỏ nhất và lớn nhất của hàm số khi biết đồ thị hàm số hoặc bảng biến thiên
- Tìm giá trị lớn nhất và giá trị nhỏ nhất của hàm số trên một khoảng, đoạn hay nửa khoảng
- Một số bài toán thực tế ứng dụng giá trị lớn nhất và giá trị nhỏ nhất của hàm số
- Một số bài toán hàm hợp liên quan đến giá trị lớn nhất và giá trị nhỏ nhất của hàm số
- Sử dụng đồ thị hàm số hoặc bảng biến thiên xác định các đường tiệm cận
Đã có app VietJack trên điện thoại, giải bài tập SGK, SBT Soạn văn, Văn mẫu, Thi online, Bài giảng....miễn phí. Tải ngay ứng dụng trên Android và iOS.
Theo dõi chúng tôi miễn phí trên mạng xã hội facebook và youtube:Nếu thấy hay, hãy động viên và chia sẻ nhé! Các bình luận không phù hợp với nội quy bình luận trang web sẽ bị cấm bình luận vĩnh viễn.
- Giải Tiếng Anh 12 Global Success
- Giải sgk Tiếng Anh 12 Smart World
- Giải sgk Tiếng Anh 12 Friends Global
- Lớp 12 Kết nối tri thức
- Soạn văn 12 (hay nhất) - KNTT
- Soạn văn 12 (ngắn nhất) - KNTT
- Giải sgk Toán 12 - KNTT
- Giải sgk Vật Lí 12 - KNTT
- Giải sgk Hóa học 12 - KNTT
- Giải sgk Sinh học 12 - KNTT
- Giải sgk Lịch Sử 12 - KNTT
- Giải sgk Địa Lí 12 - KNTT
- Giải sgk Giáo dục KTPL 12 - KNTT
- Giải sgk Tin học 12 - KNTT
- Giải sgk Công nghệ 12 - KNTT
- Giải sgk Hoạt động trải nghiệm 12 - KNTT
- Giải sgk Giáo dục quốc phòng 12 - KNTT
- Giải sgk Âm nhạc 12 - KNTT
- Giải sgk Mĩ thuật 12 - KNTT
- Lớp 12 Chân trời sáng tạo
- Soạn văn 12 (hay nhất) - CTST
- Soạn văn 12 (ngắn nhất) - CTST
- Giải sgk Toán 12 - CTST
- Giải sgk Vật Lí 12 - CTST
- Giải sgk Hóa học 12 - CTST
- Giải sgk Sinh học 12 - CTST
- Giải sgk Lịch Sử 12 - CTST
- Giải sgk Địa Lí 12 - CTST
- Giải sgk Giáo dục KTPL 12 - CTST
- Giải sgk Tin học 12 - CTST
- Giải sgk Hoạt động trải nghiệm 12 - CTST
- Giải sgk Âm nhạc 12 - CTST
- Lớp 12 Cánh diều
- Soạn văn 12 Cánh diều (hay nhất)
- Soạn văn 12 Cánh diều (ngắn nhất)
- Giải sgk Toán 12 Cánh diều
- Giải sgk Vật Lí 12 - Cánh diều
- Giải sgk Hóa học 12 - Cánh diều
- Giải sgk Sinh học 12 - Cánh diều
- Giải sgk Lịch Sử 12 - Cánh diều
- Giải sgk Địa Lí 12 - Cánh diều
- Giải sgk Giáo dục KTPL 12 - Cánh diều
- Giải sgk Tin học 12 - Cánh diều
- Giải sgk Công nghệ 12 - Cánh diều
- Giải sgk Hoạt động trải nghiệm 12 - Cánh diều
- Giải sgk Giáo dục quốc phòng 12 - Cánh diều
- Giải sgk Âm nhạc 12 - Cánh diều


Giải bài tập SGK & SBT
Tài liệu giáo viên
Sách
Khóa học
Thi online
Hỏi đáp

