Phương trình mặt cầu và cách giải (hay, chi tiết)
Với loạt Phương trình mặt cầu và cách giải sẽ giúp học sinh nắm vững lý thuyết, biết cách làm bài tập từ đó có kế hoạch ôn tập hiệu quả để đạt kết quả cao trong các bài thi môn Toán 12.
Phương trình mặt cầu và cách giải
(199k) Xem Khóa học Toán 12 KNTTXem Khóa học Toán 12 CDXem Khóa học Toán 12 CTST
I. LÝ THUYẾT
Trong không gian Oxyz, mặt cầu (S) tâm I (a; b; c) và bán kính R có phương trình là: (S): (x - a)2 + (y - b)2 + (z - c)2 = R2 (1)
Phương trình mặt cầu nói trên có thể viết dưới dạng (S) : x2 + y2 + z2 + 2ax + 2by + 2cz + d = 0 (2) với d = a2 + b2 + c2 - R2
Từ đó ta có phương trình (2) với điều kiện a2 + b2 + c2 - d > 0 là phương trình mặt cầu tâm I (-a; -b; -c) có bán kính là
Đặc biệt nếu mặt cầu (S) có
thì phương trình mặt cầu (S) là (S): x2 + y2 + z2 = R2
II. PHƯƠNG PHÁP GIẢI VÀ VÍ DỤ MINH HỌA
Dạng 1: Xác định tâm và bán kính mặt cầu – Điều kiện để (S) là một mặt cầu.
Phương pháp giải:
Xét phương trình (S): (x - a)2 + (y - b)2 + (z - c)2 = R2
Khi đó mặt cầu có tâm I (a; b; c), bán kính R
+) Xét phương trình (S) : x2 + y2 + z2 + 2ax + 2by + 2cz + d = 0
Khi đó mặt cầu có 
Điều kiện để (S) là phương trình mặt cầu là a2 + b2 + c2 - d > 0.
+) Đặc biệt: (S): x2 + y2 + z2 = R2, suy ra (S) có
Ví dụ 1: Trong không gian với hệ tọa độ Oxyz, cho mặt cầu (S): (x - 1)2 + (y - 2)2 + (z - 1)2 = 9. Tính tọa độ tâm I và bán kính R của (S).
A. I (-1; 2; 1) và R = 3.
B. I (1; -2; -1) và R = 3.
C. I (-1; 2; 1) và R = 9.
D. I (1; -2; -1) và R = 9.
Hướng dẫn giải
Dựa vào phương trình mặt cầu (S): (x - 1)2 + (y - 2)2 + (z - 1)2 = 9 , ta có tâm I(-1;2;1) và
.
Chọn A.
Ví dụ 2: Trong không gian với hệ tọa độ Oxyz, cho mặt cầu (S) có phương trình x2 + y2 + z2 + 2x - 4y + 6z - 2 = 0. Tính tọa độ tâm I và bán kính R của (S).
A. Tâm I (-1; 2; -3) và bán kính R = 4.
B. Tâm I (1; -2; 3) và bán kính R = 4.
C. Tâm I (-1; 2; 3) và bán kính R = 4.
D. Tâm I (1; -2; 3) và bán kính R = 16.
Hướng dẫn giải
Dựa vào phương trình mặt cầu x2 + y2 + z2 + 2x - 4y + 6z - 2 = 0, ta có:

Chọn A.
Ví dụ 3: Cho phương trình (S):x2 + y2 + z2 + 2(3 - m)x - 2(m + 1)y - 2mz + 2m2 + 7 = 0. Tìm tất cả giá trị của m để (S) là một phương trình mặt cầu.

Hướng dẫn giải
Gọi tâm của mặt cầu là I (a ; b ; c) và bán kính là R.
Ta có : a = m – 3, b = m + 1, c = m, d = 2m2 + 7.
(S) là mặt cầu <=> a2 + b2 + c2 - d > 0

Chọn C.
Dạng 2: Viết phương trình mặt cầu khi biết tâm và bán kính
Phương pháp giải:
Bước 1: Xác định tâm I (a; b; c).
Bước 2: Xác định bán kính R của (S).
Bước 3: Thế vào phương trình (S):
Dạng phương trình mặt cầu (S) có tâm I (a; b; c) và bán kính R.
(S): (x - a)2 + (y - b)2 + (z - c)2 = R2
Ví dụ 4: Trong không gian Oxyz cho điểm A (-1; 2; 0), viết phương trình mặt cầu tâm A bán kính bằng 4
A. (S): (x + 1)2 + (y - 2)2 + z2 = 16
B. (S): (x + 1)2 + (y - 2)2 + z2 = 4
C. (S): (x - 1)2 + (y - 2)2 + z2 = 16
D. (S): (x - 1)2 + (y - 2)2 + z2 = 4
Hướng dẫn giải
Dạng phương trình mặt cầu (S) : (x - a)2 + (y - b)2 + (z - c)2 = R2
Tâm là A suy ra a = -1, b = 2, c = 0 và R = 4
Thế vào phương trình mặt cầu (S) ta được (S): (x + 1)2 + (y - 2)2 + z2 = 16
Chọn A
Ví dụ 5: Trong không gian Oxyz cho A (-2; 1; 0), B (2; -1; 2). Viết phương trình mặt cầu (S) có tâm B và đi qua điểm A.

Hướng dẫn giải
Dạng phương trình mặt cầu (S) : (x - a)2 + (y - b)2 + (z - c)2 = R2
Tâm B (2; -1; 2).
Bán kính
Vậy phương trình mặt cầu là: (S): (x - 2)2 + (y + 1)2 + (z - 2)2 = 24
Chọn B.
Dạng 3: Viết phương trình mặt cầu biết tâm và tiếp xúc với mặt phẳng
Phương pháp giải:
Cho điểm I (a; b; c) và mặt phẳng (P): Ax + By + Cz + D = 0
Vì mặt cầu tiếp xúc với mặt phẳng nên ta có

Từ đó viết được phương trình mặt cầu tâm I và bán kính R đã tính phía trên.
Ví dụ 6: Trong không gian với hệ tọa độ Oxyz, cho điểm A (2; 1; 1) và mặt phẳng (P): 2x – y + 2z + 1 = 0. Phương trình mặt cầu tâm A tiếp xúc với mặt phẳng (P) là
A. (x - 2)2 + (y - 1)2 + (z - 1)2 = 4
B. (x - 2)2 + (y - 1)2 + (z - 1)2 = 9
C. (x - 2)2 + (y - 1)2 + (z - 1)2 = 3
D. (x - 2)2 + (y - 1)2 + (z - 1)2 = 5
Hướng dẫn giải :
Vì mặt cầu tâm A tiếp xúc với mặt phẳng (P) nên bán kính của mặt cầu là .

Vậy phương trình mặt cầu là: (x - 2)2 + (y - 1)2 + (z - 1)2 = 4
Chọn A.
Dạng 4: Viết phương trình mặt cầu biết tâm và tiếp xúc với đường thẳng
Phương pháp giải:

Cho điểm I (a; b; c) và đường thẳng d.
Gọi H là tiếp điểm của đường thẳng d và mặt cầu tâm I. Tìm H.
Khi đó bán kính của mặt cầu R = IH.
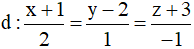
Ví dụ 7: Trong không gian với hệ tọa độ Oxyz cho đường thẳng
và điểm I (1; -2; 3). Phương trình mặt cầu có tâm I và tiếp xúc với d là

Hướng dẫn giải

Gọi H là tiếp điểm của đường tròn lớn tâm I và đường thẳng d.
Vì H thuộc d nên H (-1 + 2t; 2 + t; -3 – t). Suy ra
.
Vectơ chỉ phương của d là
Vì IH vuông góc với đường thẳng d nên

Suy ra
Vì mặt cầu tiếp xúc với đường thẳng nên bán kính của mặt cầu:

Vậy phương trình mặt cầu là (x - 1)2 + (y + 2)2 + (z - 3)2 = 50
Chọn B.
Dạng 5: Viết phương trình mặt cầu (S) biết tâm I và đường thẳng d cắt mặt cầu theo dây cung AB
Phương pháp giải:

Bước 1: Tính khoảng cách từ tâm I đến đường thẳng d
Bước 2: Dựa vào giả thuyết đề cho, ta tính độ dài dây cung AB. Suy ra độ dài AH (với H là trung điểm AB)
Bước 3: Tính IA theo định lý Pytago cho tam giác vuông AIH. Suy ra bán kính R = IA.
Bước 4: Viết phương trình mặt cầu (S) tâm I và bán kính R đã tính bên trên.
Ví dụ 8: Viết phương trình mặt cầu (S) có tâm I (2; 3; -1) và cắt đường thẳng
tại hai điểm A, B với AB = 16.
A. (x - 2)2 + (y - 3)2 + (z + 1)2 = 76
B. (x - 2)2 + (y + 3)2 + (z + 1)2 = 76
C. (x - 2)2 + (y - 3)2 + (z + 1)2 = 56
D. (x - 2)2 + (y - 3)2 + (z + 1)2 = 66
Hướng dẫn giải:

Gọi H là hình chiếu vuông góc của I trên đường thẳng d.
Vì H thuộc d nên H (-1 + t; 1 – 4t; t). Suy ra
Đường thẳng d có vectơ chỉ phương là
Vì IH vuông góc với đường thẳng d nên
Suy ra
Vì AB = 16 nên
Áp dụng định lí Py – ta – go trong tam giác vuông IAB ta có:

Vậy bán kính mặt cầu là R = IA = 
Khi đó phương trình mặt cầu là (x - 2)2 + (y - 3)2 + (z + 1)2 = 76
Chọn A.
Dạng 6: Viết phương trình mặt cầu (S) biết tâm I và mặt cầu cắt mặt phẳng (P) theo giao tuyến là đường tròn (C)
Phương pháp giải:

Bước 1: Tính khoảng cách từ tâm I đến mặt phẳng (P)
Bước 2: Dựa vào giả thuyết đề cho, ta tính bán kính r của đường tròn giao tuyến. Suy ra bán kính mặt cầu
Bước 3: Kết luận phương trình mặt cầu (S)
Ví dụ 9: Cho mặt cầu (S) có tâm I (1; 0; 1) và mặt phẳng (Q): 2x – y + z + 7 = 0. Viết phương trình mặt cầu (S) sao cho (Q) cắt (S) theo một hình tròn có diện tích là 20π.

Hướng dẫn giải:
Ta có : 
Gọi r là bán kính đường tròn giao tuyến của (S) và mặt phẳng (Q). Ta có diện tích đường tròn giao tuyến là 
Gọi R là bán kính mặt cầu (S) cần tìm.
Theo giả thiết:
Vậy (S):
Chọn B.
Dạng 7: Phương trình mặt cầu biết tâm thuộc một đường thẳng và thỏa mãn một điều kiện cho trước
Phương pháp giải:
Bước 1: Rút tọa độ tâm I theo đường thẳng d đã cho trước.
Giả sử điểm I là tâm của mặt cầu và đường thẳng d có phương trình d:
Khi đó nếu I ∈ d thì ta có I(x0 + at;y0 +bt;z0 + ct)
Bước 2: Dựa vào yêu cầu bài toán lập một phương trình theo biến t để giải
=> Tọa độ tâm I
Bước 3: Xác định bán kính R của mặt cầu
Bước 4: Viết phương trình mặt cầu (S).
Ví dụ 10: Viết phương trình mặt cầu (S) có tâm I thuộc đường thẳng
và (S) tiếp xúc với hai mặt phẳng (α): x + 2y + 2z + 3 = 0 và (β): x + 2y + 2z + 7 = 0.

Hướng dẫn giải:
Do I thuộc d nên tâm mặt cầu có tọa độ dạng I (t; -1; -t). Khi đó do (S) tiếp xúc với (P), (Q) nên khoảng cách từ I tới (P), (Q) là bằng nhau và cùng bằng bán kính mặt cầu.

Hay
Thay vào phương trình khoảng cách ta được
. Vậy phương trình mặt cầu:
Chọn D
III. BÀI TẬP ÁP DỤNG
Câu 1 : Mặt cầu (S):(x - 1)2 + (y + 2)2 + z2 = 9 có tâm I là :
A. I (1 ; -2 ; 0).
B. I (-1 ; 2 ; 0).
C. I (1 ; 2 ; 0).
D. I (-1 ; -2 ; 0).
Câu 2 : Mặt cầu (S) : x2 + y2 + z2 - 8x + 2y + 1 = 0 có tâm I là :
A. I (8 ; -2 ; 0).
B. I (-4 ; 1 ; 0).
C. I (-8 ; 2 ; 0).
D. I (4 ; -1 ; 0).
Câu 3 : Mặt cầu (S) : x2 + y2 + z2 - 4x + 1 có tọa độ tâm I và bán kính R là :
A. I (2; 0; 0),
B. I (2; 0; 0),
C. I (0; 2; 0),
D. I (-2; 0; 0),
Câu 4: Phương trình nào sau đây là phương trình mặt cầu?
A. x2 + y2 + z2 - 2x = 0
B. x2 + y2 + z2 + 2x - y + 1 = 0
C. 2x2 + 2y2 = (x + y)2 - z2 + 2x - 1
D. (x + y)2 = 2xy - z2 - 1
Câu 5: Trong không gian với hệ tọa độ Oxyz, giả sử tồn tại mặt cầu (S) có phương trình x2 + y2 + z2 - 4x + 8y - 2az + 6a = 0. Nếu (S) có đường kính bằng 12 thì a nhận những giá trị nào?

Câu 6: Trong không gian với hệ tọa độ Oxyz. Mặt cầu tâm I (1; 3; 2), bán kính R = 4 có phương trình
A. (x - 1)2 + (y - 3)2 + (x - 2)2 = 4
B. (x - 1) + (y - 3) + (x - 2) = 16
C. (x - 1)2 + (y - 3)2 + (x - 2)2 = 16
D. (x - 1)2 + (y - 3)2 + (x - 2)2 = 8
Câu 7: Trong không gian Oxyz cho A (-2; 1; 0), B (2; -1; 2). Viết phương trình mặt cầu (S) có đường kính là AB.

Câu 8: Trong không gian với hệ tọa độ Oxyz viết phương trình mặt cầu (S) có tâm I (1; 2; -3) và đi qua A (1; 0; 4).

Câu 9: Trong không gian với hệ tọa độ Oxyz, phương trình mặt cầu (S) có tâm I (-1; 2; 1) và tiếp xúc với mặt phẳng (P): x – 2y – 2z – 2 = 0 là
A. (x +1)2 + (y - 2)2 + (z - 1)2 = 3
B. (x +1)2 + (y - 2)2 + (z - 1)2 = 9
C. (x +1)2 + (y - 2)2 + (z + 1)2 = 3
D. (x +1)2 + (y - 2)2 + (z + 1)2 = 9
Câu 10: Trong không gian Oxyz, mặt cầu (S) : x2 + y2 + z2 - 2x + 4y - 4 = 0 cắt mặt phẳng (P): x + y – z + 4 = 0 theo giao tuyến là đường tròn (C). Tính diện tích S của hình tròn giới hạn bởi (C).

Câu 11: Viết phương trình mặt cầu (S) đi qua hai điểm A (2; 6; 0), B (4; 0; 8) và có tâm thuộc

ĐÁP ÁN
Câu |
1 |
2 |
3 |
4 |
5 |
6 |
7 |
8 |
9 |
10 |
11 |
Đáp án |
A |
D |
A |
A |
A |
B |
C |
B |
B |
A |
D |
(199k) Xem Khóa học Toán 12 KNTTXem Khóa học Toán 12 CDXem Khóa học Toán 12 CTST
Xem thêm phương pháp giải các dạng bài tập Toán lớp 12 hay, chi tiết khác:
- Các bài toán về Vị trí tương đối trong không gian và cách giải
- Các bài toán về Góc trong không gian và cách giải
- Các bài toán về Khoảng cách trong không gian và cách giải
- Bài toán Cực trị trong hình học không gian và cách giải
- Tọa độ điểm, tọa độ vectơ và cách giải
Đã có app VietJack trên điện thoại, giải bài tập SGK, SBT Soạn văn, Văn mẫu, Thi online, Bài giảng....miễn phí. Tải ngay ứng dụng trên Android và iOS.
Theo dõi chúng tôi miễn phí trên mạng xã hội facebook và youtube:Nếu thấy hay, hãy động viên và chia sẻ nhé! Các bình luận không phù hợp với nội quy bình luận trang web sẽ bị cấm bình luận vĩnh viễn.
- Giải Tiếng Anh 12 Global Success
- Giải sgk Tiếng Anh 12 Smart World
- Giải sgk Tiếng Anh 12 Friends Global
- Lớp 12 Kết nối tri thức
- Soạn văn 12 (hay nhất) - KNTT
- Soạn văn 12 (ngắn nhất) - KNTT
- Giải sgk Toán 12 - KNTT
- Giải sgk Vật Lí 12 - KNTT
- Giải sgk Hóa học 12 - KNTT
- Giải sgk Sinh học 12 - KNTT
- Giải sgk Lịch Sử 12 - KNTT
- Giải sgk Địa Lí 12 - KNTT
- Giải sgk Giáo dục KTPL 12 - KNTT
- Giải sgk Tin học 12 - KNTT
- Giải sgk Công nghệ 12 - KNTT
- Giải sgk Hoạt động trải nghiệm 12 - KNTT
- Giải sgk Giáo dục quốc phòng 12 - KNTT
- Giải sgk Âm nhạc 12 - KNTT
- Giải sgk Mĩ thuật 12 - KNTT
- Lớp 12 Chân trời sáng tạo
- Soạn văn 12 (hay nhất) - CTST
- Soạn văn 12 (ngắn nhất) - CTST
- Giải sgk Toán 12 - CTST
- Giải sgk Vật Lí 12 - CTST
- Giải sgk Hóa học 12 - CTST
- Giải sgk Sinh học 12 - CTST
- Giải sgk Lịch Sử 12 - CTST
- Giải sgk Địa Lí 12 - CTST
- Giải sgk Giáo dục KTPL 12 - CTST
- Giải sgk Tin học 12 - CTST
- Giải sgk Hoạt động trải nghiệm 12 - CTST
- Giải sgk Âm nhạc 12 - CTST
- Lớp 12 Cánh diều
- Soạn văn 12 Cánh diều (hay nhất)
- Soạn văn 12 Cánh diều (ngắn nhất)
- Giải sgk Toán 12 Cánh diều
- Giải sgk Vật Lí 12 - Cánh diều
- Giải sgk Hóa học 12 - Cánh diều
- Giải sgk Sinh học 12 - Cánh diều
- Giải sgk Lịch Sử 12 - Cánh diều
- Giải sgk Địa Lí 12 - Cánh diều
- Giải sgk Giáo dục KTPL 12 - Cánh diều
- Giải sgk Tin học 12 - Cánh diều
- Giải sgk Công nghệ 12 - Cánh diều
- Giải sgk Hoạt động trải nghiệm 12 - Cánh diều
- Giải sgk Giáo dục quốc phòng 12 - Cánh diều
- Giải sgk Âm nhạc 12 - Cánh diều


Giải bài tập SGK & SBT
Tài liệu giáo viên
Sách
Khóa học
Thi online
Hỏi đáp

