Tập hợp điểm biểu diễn số phức là đường tròn (cực hay)
Bài viết Tập hợp điểm biểu diễn số phức là đường tròn với phương pháp giải chi tiết giúp học sinh ôn tập, biết cách làm bài tập Tập hợp điểm biểu diễn số phức là đường tròn.
Tập hợp điểm biểu diễn số phức là đường tròn (cực hay)
(199k) Xem Khóa học Toán 12 KNTTXem Khóa học Toán 12 CDXem Khóa học Toán 12 CTST
Bài giảng: Các dạng bài tập hợp biểu diễn số phức cơ bản - Cô Nguyễn Phương Anh (Giáo viên VietJack)
Ví dụ minh họa
Ví dụ 1: Tập hợp các điểm M biểu diễn số phức |z -2 + 5i| = 4 thoả mãn là:
A. Đường tròn tâm I(2 ; -5) và bán kính bằng 2.
B. Đường tròn tâm I(-2 ; 5) và bán kính bằng 4.
C. Đường tròn tâm I(2 ; -5) và bán kính bằng 4.
D. Đường tròn tâm O và bán kính bằng 2.
Lời giải:
.Gọi số phức z = x + yi
|z -2 + 5i| = 4 <=> |x - 2 + (y + 5)i| = 4
Vậy tập hợp điểm biểu diễn số phức là đường tròn tâm I(2; -5) bán kính R = 4.
Chọn C.
Ví dụ 2: Cho số phức z thỏa mãn |z - 2| = 2 . Biết rằng tập hợp các điểm biểu diễn các số phức w = (1-i)z + i là một đường tròn. Tính bán kính r của đường tròn đó
A.2√2 B.r = 4 C.r = √2 D.r = 2
Lời giải:
Ta có:
Ta có:
Đường tròn có bán kính là
Chọn A.
Ví dụ 3:Cho số phức z thỏa mãn |z -1| = 2 ; w = (1 + √3i)z + 2 .Tập hợp điểm biểu diễn của số phức w là đường tròn, tính bán kính đường tròn đó
A. R = 3 B. R = 2 C. R = 4 D. R = 5 .
Lời giải:
w = (1 + √3i)z + 2 <=> w = (1 + √3i)(z -1) + 1 + √3i + 2
<=> w - (3 + √3i) = (1 + √3i)(z-1)
=> |w - (3 + √3i) | = | (1 + √3i)(z-1)| = |(1 + √3i)| |(z-1)| = 4
Chọn C.
Ví dụ 4:Trong mặt phẳng phức Oxy, tập hợp biểu diễn số phức z thỏa mãn là đường tròn C. Diện tích S của đường tròn C bằng bao nhiêu?
A.S = 4π B.S = 2π C.S = 3π D.S = π
Lời giải:
Gọi M(x; y) là điểm biểu diễn số phức z = x + yi
Ta có:
|z|2 + z + z = 0 <=> x2 + y2 + x + yi + x - yi = 0
<=>x2 + y2 + 2x = 0
=> bán kinh R = 1 => S = πR2 = π
Chọn D
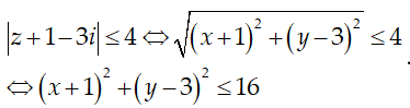
Ví dụ 5:xác định tập hợp các điểm trong mặt phẳng biểu diễn số phức z thoả điều kiện |z - 1 + 3i| ≤ 4 .
A. Hình tròn tâm I(-1;3), bán kính r = 4. B. Đường tròn tâm I(-1;3), bán kính r = 4.
C. Hình tròn tâm I(-1;-3), bán kính r = 4. D. Đường tròn tâm I(1;3), bán kính r = 4
Lời giải:
Giả sử z = x + yi(x,y∈ R) , ta có z + 1 - 3i = x + 1 + (y-3)i.
Vậy tập hợp các điểm trong mặt phẳng biểu diễn số phức z là hình tròn tâm I(-1; 3), bán kính r = 4.
Chọn A.
Ví dụ 6:Cho số phức z thỏa mãn là số thuần ảo. Tập hợp các điểm M biểu diễn số phức z là:
A. Đường tròn tâm O, bán kính R = 1.
B. Hình tròn tâm O, bán kính R = 1 (kể cả biên).
C. Hình tròn tâm O, bán kính R = 1 (không kể biên).
D. Đường tròn tâm O, bán kính R = 1 bỏ đi một điểm (0;1)
Lời giải:
Gọi M(a ; b) là điểm biểu diễn số phức z = a + bi
Ta có:
Tập hợp các điểm M là đường tròn tâm O, bán kính R=1 bỏ đi một điểm (0;1)
Đáp án D.
Ví dụ 7: Trong mặt phẳng phức Oxy, cho số phức z thỏa lần lượt một trong bốn điều kiện :
(III) : |z - 2i| = 4 , (IV) : |i(z - 4i)| = 3
Hỏi điều kiện nào để số phức z có tập hợp biểu diễn là đường thẳng.
Lời giải:
A.(II),(III),(IV) B.(I),(II) C.(I)(IV) D.(I)
Gọi M(x; y) là điểm biểu diễn số phức z = x + yi
(III) : |z - 2i| = 4 <=> x2 + (y-2)2 = 16 ; (Đường tròn)
(IV) : |i(z - 4i)| = 3 <=> |4 + iz| = 3 <=> x2 + (y - 4)2 (Đường tròn)
Chọn D.
Ví dụ 8:Cho số phức z thỏa mãn điều kiện |z -3 + 4i| ≤ 2 . Trong mặt phẳng Oxy tập hợp điểm biểu diễn số phức w = 2z + 1 - i là hình tròn có diện tích
A. S = 9π B.S = 12π C.S = 16π D.S = 25π
Hướng dẫn:
<=> |w - 1 + i - 6 + 8i| ≤ 4 <=> |w - 7 + 9i| ≤ 4 (1)
Giả sử w = x + yi , khi đó (1) <=> (x -7)2 + (y + 9)2 ≤ 16
Suy ra tập hợp điểm biểu diễn số phức w là hình tròn tâm I(7; -9), bán kính r = 4
Vậy diện tích cần tìm là S = π.42 = 16π
Chọn C.
Ví dụ 9:Trong mặt phẳng phức Oxy. tập hợp biểu diễn số phức z thỏa mãn là đường tròn C. Khoảng cách từ tâm I của đường tròn (C) đến trục tung bằng bao nhiêu?
A. d(I ; Oy) = 1. B.d(I ; Oy) = 2. C.d(I ; Oy) = 0. D.d(I ; Oy) = √2 .
Lời giải:
Gọi M(x ; y) là điểm biểu diễn số phức z = x + yi.
<=> |-iz - i| = 3 <=> |y + i(-x - 1)| = 3
<=> (x + 1)2 + y 2 = 9
Suy ra I(-1 ; 0) là tâm đường tròn (C)
=> d(I,Oy) = |XI| = 1
Chọn đáp án A.
Bài tập tự luyện
Bài 1. Cho số phức z = a + bi (a, b ∈ ℝ). Để điểm biểu diễn của z nằm trong hình tròn như hình 3 (không tính biên), điều kiện của a và b là:
A. a2 + b2 < 4.
B. a2 + b2 ≤ 4.
C. a2 + b2 > 4.
D. a2 + b2 ≥ 4.
Bài 2. Trong mặt phẳng phức Oxy, tập hợp điểm biểu diễn số phức z thỏa mãn là đường tròn (C). Tính diện tích của đường tròn (C)?
Bài 3. Cho số phức z thỏa mãn là số thuần ảo. Tìm tập hợp các điểm M biểu diễn số phức z biết tập hợp các điểm M là một đường tròn.
Bài 4. Xét các số phức z thỏa mãn là số thuần ảo. Trên mặt phẳng tọa độ, tập hợp tất cả các điểm biểu diễn các số phức z là một đường tròn. Tính bán kính đường tròn đó.
Bài 5. Xét các số phức z thỏa mãn là số thuần ảo. Trên mặt phẳng tọa độ, tập hợp tất cả các điểm biểu diễn các số phức z là một đường tròn. Tính tâm và bán kính đường tròn đó.
Bài giảng: Các dạng bài tập hợp biểu diễn số phức nâng cao - Cô Nguyễn Phương Anh (Giáo viên VietJack)
(199k) Xem Khóa học Toán 12 KNTTXem Khóa học Toán 12 CDXem Khóa học Toán 12 CTST
Xem thêm các dạng bài tập Toán lớp 12 ôn thi Tốt nghiệp có lời giải hay khác:
- Dạng 1: Điểm biểu diễn số phức
- Dạng 2: Tập hợp điểm biểu diễn số phức là đường thẳng
- Dạng 4: Tập hợp điểm biểu diễn số phức là một miền
- Dạng 5: Tập hợp điểm biểu diễn số phức là đường eclip
Đã có app VietJack trên điện thoại, giải bài tập SGK, SBT Soạn văn, Văn mẫu, Thi online, Bài giảng....miễn phí. Tải ngay ứng dụng trên Android và iOS.
Theo dõi chúng tôi miễn phí trên mạng xã hội facebook và youtube:Nếu thấy hay, hãy động viên và chia sẻ nhé! Các bình luận không phù hợp với nội quy bình luận trang web sẽ bị cấm bình luận vĩnh viễn.
- Giải Tiếng Anh 12 Global Success
- Giải sgk Tiếng Anh 12 Smart World
- Giải sgk Tiếng Anh 12 Friends Global
- Lớp 12 Kết nối tri thức
- Soạn văn 12 (hay nhất) - KNTT
- Soạn văn 12 (ngắn nhất) - KNTT
- Giải sgk Toán 12 - KNTT
- Giải sgk Vật Lí 12 - KNTT
- Giải sgk Hóa học 12 - KNTT
- Giải sgk Sinh học 12 - KNTT
- Giải sgk Lịch Sử 12 - KNTT
- Giải sgk Địa Lí 12 - KNTT
- Giải sgk Giáo dục KTPL 12 - KNTT
- Giải sgk Tin học 12 - KNTT
- Giải sgk Công nghệ 12 - KNTT
- Giải sgk Hoạt động trải nghiệm 12 - KNTT
- Giải sgk Giáo dục quốc phòng 12 - KNTT
- Giải sgk Âm nhạc 12 - KNTT
- Giải sgk Mĩ thuật 12 - KNTT
- Lớp 12 Chân trời sáng tạo
- Soạn văn 12 (hay nhất) - CTST
- Soạn văn 12 (ngắn nhất) - CTST
- Giải sgk Toán 12 - CTST
- Giải sgk Vật Lí 12 - CTST
- Giải sgk Hóa học 12 - CTST
- Giải sgk Sinh học 12 - CTST
- Giải sgk Lịch Sử 12 - CTST
- Giải sgk Địa Lí 12 - CTST
- Giải sgk Giáo dục KTPL 12 - CTST
- Giải sgk Tin học 12 - CTST
- Giải sgk Hoạt động trải nghiệm 12 - CTST
- Giải sgk Âm nhạc 12 - CTST
- Lớp 12 Cánh diều
- Soạn văn 12 Cánh diều (hay nhất)
- Soạn văn 12 Cánh diều (ngắn nhất)
- Giải sgk Toán 12 Cánh diều
- Giải sgk Vật Lí 12 - Cánh diều
- Giải sgk Hóa học 12 - Cánh diều
- Giải sgk Sinh học 12 - Cánh diều
- Giải sgk Lịch Sử 12 - Cánh diều
- Giải sgk Địa Lí 12 - Cánh diều
- Giải sgk Giáo dục KTPL 12 - Cánh diều
- Giải sgk Tin học 12 - Cánh diều
- Giải sgk Công nghệ 12 - Cánh diều
- Giải sgk Hoạt động trải nghiệm 12 - Cánh diều
- Giải sgk Giáo dục quốc phòng 12 - Cánh diều
- Giải sgk Âm nhạc 12 - Cánh diều


Giải bài tập SGK & SBT
Tài liệu giáo viên
Sách
Khóa học
Thi online
Hỏi đáp

