Công thức tính Tích có hướng của hai vecto trong không gian (cực hay)
Bài viết Công thức tính Tích có hướng của hai vecto trong không gian với phương pháp giải chi tiết giúp học sinh ôn tập, biết cách làm bài tập Công thức tính Tích có hướng của hai vecto trong không gian.
Công thức tính Tích có hướng của hai vecto trong không gian (cực hay)
(199k) Xem Khóa học Toán 12 KNTTXem Khóa học Toán 12 CDXem Khóa học Toán 12 CTST
Bài giảng: Các dạng bài tập hệ trục tọa độ trong không gian - Cô Nguyễn Phương Anh (Giáo viên VietJack)
A. Phương pháp giải & Ví dụ
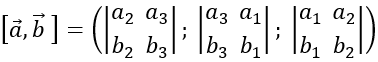
1. Định nghĩa:
Trong không gian Oxyz cho hai vecto a→=(a1;a2;a3 ) và b→=(b1;b2;b3 ). Tích có hướng của hai vecto a→ và b→ , kí hiệu là [a→ , b→ ], được xác định bởi
Chú ý: Tích có hướng của hai vecto là một vecto, tích vô hướng của hai vecto là một số.
2. Tính chất
+ [a→, b→ ]⊥ a→ ; [a→ , b→ ]⊥ b→
+ [a→ , b→ ]=-[b→, a→ ]
+ [i→, j→ ]=k→ ; [ j→ , k→ ]= i→ ; [k→ , i→ ]= j→
+ |[ a→ , b→ ]|=| a→ |.| b→ |.sin( a→ , b→ )
+ a→ , b→ cùng phương ⇔ [a→ , b→ ]= 0→ (chứng minh 3 điểm thẳng hàng)
3. Ứng dụng của tích có hướng (chương trình nâng cao)
+ Điều kiện đồng phẳng của ba vecto:
a→ , b→ và c→ đồng phẳng ⇔[ a→ , b→ ]. c→ =0
+ Diện tích hình bình hành ABCD:
SABCD=|[AB→ ; AD→ ]|
+ Diện tích tam giác ABC:
SABC=1/2 |[AB→ ; AC→ ]|
+ Thể tích khối hộp ABCD.A’B’C’D’:
VABCD.A'B'C'D'=|[AB→; AD→ ]. AA'→ |
+ Thể tích tứ diện ABCD
VABCD=1/3 |[AB→ ; AC→ ]. AD→ |
Ví dụ minh họa
Bài 1: Trong không gian với hệ trục tọa độ Oxyz, cho 4 điểm A(1; 0; 1), B(-1; 1; 2), C(-1; 1; 0), D(2; -1; -2).
a) Chứng minh rằng A, B, C, D là 4 đỉnh của một tứ diện.
b) Tính thể tích tứ diện ABCD. Suy ra độ dài đường cao của tứ diện qua đỉnh A
Lời giải:
AB→ =(-2;1;1); AC→ =(-2;1; -1); AD→ =(1; -1; -3)
⇒[AB→ , AC→ ]=(-2;-4;0) ⇒[ AB→ , AC→ ]. AD→ =2≠0
⇒AB→ , AC→ , AD→ không đồng phẳng.
Vậy A, B, C, D là 4 đỉnh của một tứ diện.
b) VABCD=1/6 |[AB→ , AC→ ]. AD→ |=2/6=1/3
Ta có: BC→ =(0;0; -2), BD→ =(3; -2; -4)
⇒[ BC→ , BD→ ]=(-4; -6;0)⇒SBCD=1/2 |[BC→ , BD→ ]|=√13
VABCD=1/3 d(A;(BCD)).SBCD
⇒d(A;(BCD))
Bài 2: Trong không gian hệ trục tọa độ Oxyz, cho 4 điểm A(-3; 5; 15), B(0; 0; 7), C(2; -1; 4), D(4; -3; 0). Chứng minh AB và CD cắt nhau.
Lời giải:
+ Ta có: AB→ =(3; -5; -8); AC→ =(5; -6; -11);
AD→ =(7; -8; -15), CD→ =(2; -2; -4)
⇒[ AB→ , AC→ ]=(7;-7;7) ⇒[ AB→ ,(AC) ⃗ ].(AD) ⃗=0
⇒ AB→ , AC→ , AD→ đồng phẳng.
⇒ A, B, C, D cùng thuộc một mặt phẳng (1)
+ [AB→ , CD→ ]=(4; -4;4) ≠0→ ⇔ AB→ , CD→ không cùng phương (2)
Từ (1) và (2) suy ra AB và CD cắt nhau.
Bài 3: : Trong không gian với hệ trục tọa độ Oxyz, cho hình hộp ABCD.EFGH với A(1; 1; 1), B(2; 1; 2), E(-1; 2; -2), D(3; 1; 2). Tính khoảng cách từ A đến mặt phẳng (DCGH)
Lời giải:
+ AB→=(1;0;1), AD→=(2;0;1), AE→=(-2;1; -3)
⇒[ AB→ , AD→ ]=(0;1;0)⇒[ AB→ , AD→ ]. AE→=1
⇒VABCD.EFGH=|[ AB→ , AD→ ]. AE→ |=1
+ SAEFB=|[ AB→ , AE→ ]|=√3
⇒SDCGH=SAEFB=√3
VABCD.EFGH=d(A;(DCGH)).SDCGH
⇒d(A;(DCGH))
B. Bài tập vận dụng
Bài 1: Trong không gian với hệ toạ độ Oxyz, cho ba điểm A(-2;2;1), B(1;0;2), C(-1;2;3). Diện tích tam giác ABC là:
A. (3√5)/2 B. 3√5
C. 4√5 D. 5/2
Lời giải:
Đáp án : B
Giải thích :
AB→ =(3; -2;1); AC→ =(1;0;2)⇒[AB→ , AC→ ]=(-4; -5;2)
SABC=1/2 |[AB→ , AC→ ]|=(3√5)/2
Bài 2: Trong không gian với hệ toạ độ Oxyz, cho bốn điểm A(1;0;0), B(0;1;0), C(0;0;1) và D(-2;1;-1). Thể tích của tứ diện ABCD là:
A. 1 B. 2
C. 1/3 D. 1/2
Lời giải:
Đáp án : D
Giải thích :
AB→ =(-1; 1;0); AC→=(-1;0;1); AD→=(-3;1; -1)
⇒[AB→ , AC→ ]=(1;1;1)⇒ AD→ . [AB→ , AC→ ]=-3
VABCD=1/6 |AD→ . [AB→ , AC→ ]|=1/2
Bài 3: Trong không gian với hệ toạ độ Oxyz, cho tam giác ABC biết A(2;-1;6), B(-3;-1;-4), C(5;-1;0). Bán kính đường tròn nội tiếp tam giác ABC là:
A. √5 B. √3
C. 4√2 D. 2√5
Lời giải:
Đáp án : A
Giải thích :
AB→=(-5; 0;-10); AC→=(3;0;-6); BC→=(8;0;4)
AB=5√5;AC=3√5;BC=4√5
SABC=1/2 |[ AB→ , AC→ ]|=30
Gọi r là bán kính đường tròn nội tiếp tam giác ABC, p là nửa chu vi tam giác
Ta có:
S=pr
⇒r=√5
Bài 4: Trong không gian với hệ toạ độ Oxyz, cho tứ diện ABCD biết A(2;-1;1), B(5;5;4), C(3;2;-1), D(4;1;3). Thể tích tứ diện ABCD là:
A. 3 B. 4
C. 9 D. 6
Lời giải:
Đáp án : C
Giải thích :
AB→=(3; 6;3); AC→=(1;3;-2); AD→=(2;-2; 2)
⇒[ AB→ , AC→ ]=(-21;9;3)⇒ AD→ . [AB→ , AC→ ]=-54
VABCD=1/6 |AD→ . [AB→ , AC→ ]|=9
Bài 5: Trong không gian Oxyz cho tứ diện ABCD. Độ dài đường cao vẽ từ D của tứ diện ABCD cho bởi công thức nào sau đây:
A.
B.
C.
D.
Lời giải:
Đáp án : D
Bài 6: Trong không gian với hệ toạ độ Oxyz, cho tam giác ABC biết A(1;0;0), B(0;0;1), C(2;1;1). Độ dài đường cao của tam giác ABC kẻ từ A là:
A. (2√30)/5 B. (√30)/5
C. (√10)/5 D. (√6)/2
Lời giải:
Đáp án : B
Giải thích :
AB→=(-1; 0;1); AC→=(1;1;1)⇒[AB→ , AC→ ]=(-1;2;-1)
SABC=1/2 |[ AB→ , AC→ ]|=√6/2
BC=| BC→ |=√5
SABC=1/2 h.BC ⇒h=(2S)/BC=√(30)/5
Bài 7: Trong không gian với hệ toạ độ Oxyz, cho hình chóp S.OAMN với S(0;0;1), A(1;1;0), M(m;0;0), N(0;n;0). Trong đó m>0, n>0 và m+n=6. Thể tích hình chóp S.OAMN là:
A. 1 B. 2
C. 4 D. 6
Lời giải:
Đáp án : A
Giải thích :
OA→=(1;1;0), OM→=(m;0;0), ON→=(0;n;0), OS→=(0;0;1)
[ OA→ , OM→ ]=(0;0; -m)⇒ OS→ . [ OA→ , OM→ ]=(0;0; -m)
⇒VS.OAM=1/6 |OS→ . [OA→ , OM→ ]|=m/6
[OA→ , ON→ ]=(0;0; m)⇒ OS→ . [OA→ , OM→ ]=(0;0; n)
⇒VS.OAN=1/6 |OS→ . [OA→ , ON→ ]|=n/6
Ta có:
VS.OAMN=m/6+n/6=(m+n)/6=1
Bài 8: Cho A(1;-2;0), B(3;3;2), C(-1;2;2), D(3;3;1). Thể tích của tứ diện ABCD bằng
A. 3 B. 4
C. 5 D. 6
Lời giải:
Đáp án : A
Giải thích :
AB→=(2;5-;2); AC→=(-2;4;2); AD→=(2;5;1)
⇒[AB→ , AC→ ]=(2; -8;18) ⇒ AD→ . [AB→ , AC→ ]=-18
VABCD=1/6 |AD→ . [AB→ , AC→ ]|=3
Bài 9: Trong không gian với hệ toạ độ Oxyz, cho tứ diện ABCD biết A(2;-1;6), B(-3;-1;-4), C(5;-1;0), D(1;2;1). Độ dài đường cao AH của tứ diện ABCD là:
A. 5 B. 6
C. 7 D. 9
Lời giải:
Đáp án : D
Giải thích :
Áp dụng công thức:
tính được: h= 9
Bài 10: Trong không gian với hệ toạ độ Oxyz, cho A(1; 0; 0); B(0; 1; 0), C(0; 0; 1), D(1; 1; 1). Trong các mệnh đề sau, mệnh đề nào sai ?
A. Bốn điểm A, B, C, D không đồng phẳng.
B. Tam giác ABD là tam giác đều.
C. AB⊥CD
D. Tam giác BCD là tam giác vuông.
Lời giải:
Đáp án : D
Bài 11: Trong không gian với hệ toạ độ Oxyz, cho các điểm A(4;0;0), B(x0;y0;0) với x0>0, y0>0 sao cho OB=8 và góc AOBˆ=600 . Gọi C(0;0;c) với c>0. Để thể tích tứ diện OABC bằng 16√3 thì giá trị thích hợp của c là:
A. 6 B. 3
C. √3 D. 6√3
Lời giải:
Đáp án : A
Giải thích :
OA→=(4;0;0), OB→=(x0;y0;0); OC→=(0;0;c)
OB=√(x02+y02 )=8 ⇒y0=4√3
OA→=(4;0;0); OB→=(4;4√3;0) ⇒[ OA→ , OB→ ]=(0;0;16√3)
⇒ OC→[ OA→ , OB→ ]=16c√3
VABCD=1/6 |OC→ [ OA→ , OB→]|=1/6.16c√3=16√3 ⇒c=6
Bài 12: Trong không gian với hệ toạ độ Oxyz, cho A(2;-1;6), B(-3;-1;-4), C(5;-1;0), D(1;2;1). Thể tích của tứ diện ABCD bằng:
A. 30 B. 40
C. 50 D. 60
Lời giải:
Đáp án : A
Giải thích :
VABCD=1/6 |AD→ . [ AB→ , AC→ ]|=30
Bài 13: Trong không gian với hệ toạ độ Oxyz, cho A(2;1;-1), B(3;0;1), C(2;-1;3) điểm D thuộc Oy và thể tích tứ diện ABCD bằng 5. Tọa độ của D là:
Lời giải:
Đáp án : C
Giải thích :
D thuộc Oy ⇒ D(0;y;0)
AB→=(1;-1;2); AC→=(0;-2;4); AD→=(-2;y-1;1)
⇒ [AB→ , AC→ ]=(0; -4;-2) ⇒ AD→ . [AB→ , AC→ ]=2-4y
VABCD=1/6 |AD→ . [ AB→ , AC→ ]|=|2-4y|/6=5
⇒ |2-4y|=30
Bài 14: Trong không gian với hệ toạ độ Oxyz, cho A(0;0;2), B(3;0;5), C(1;1;0), D(4;1;2). Độ dài đường cao của tứ diện ABCD hạ từ đỉnh D xuống (ABC) là:
A. √(11) B. √(11)/11
C. 1 D. 11
Lời giải:
Đáp án : B
Giải thích :
Ta có AB→(3;0;3), AC→(1;1;-2), và AD→(4;1;0).
Dễ thấy [AB→, AC→]=(-3;9;3),
nên SABC=1/2|[AB→, AC→]|
Vậy chiều cao hạ từ đỉnh D của tứ diện là
Bài 15: Trong không gian với hệ toạ độ Oxyz, cho A(0; 2; -2); B(-3; 1; -1);
C(4; 3; 0), D(1; 2; m). Tìm m để bốn điểm A, B, C, D đồng phẳng.
Một học sinh giải như sau:
Bước 1: AB→=(-3;-1;1), AC→=(4;1;2), AD→= (1;0;m+2)
Bước 2: [AB→, AC→]=(-3;10;1)
[AB→ , AC→ ]. AD→= 3+m+2 = m+5
Bước 3: A, B, C, D đồng phẳng⇔[AB→, AC→]. AD→= 3+m+2 = m+5 = 0 ⇔ m= -5.
Bài giải trên đúng hay sai? Nếu sai thì sai từ bước nào?
A. Đúng. B. Sai từ bước 1.
C. Sai từ bước 2. D. Sai từ bước 3.
Lời giải:
Đáp án : C
Giải thích :
Bước 2 sai. Phép tính đúng ở đây phải là [AB→, AC→] . AD→ = -3+m +2= m -1.
Bài 16: Trong không gian với hệ toạ độ Oxyz, cho tam giác ABC có A(1;0;1), B(0;2;3), C(2;1;0). Độ dài đường cao của tam giác kẻ từ C là:
A. √(26) B. √(26)/2
C. √(26)/3 D. 26
Lời giải:
Đáp án : C
Giải thích :
AB→(-1;2;2), AC→(1;1;-1). Độ dài đường cao kẻ từ C của tam giác ABC là:
d(C, AB)
Bài 17: Cho hình chóp S.ABCD biết A(-2;2;6), B(-3;1;8), C(-1;0;7), D(1;2;3). Gọi H là trung điểm của CD, SH⊥(ABCD). Để khối chóp S.ABCD có thể tích bằng 27/2(đvtt) thì có hai điểm S1, S2 thỏa mãn yêu cầu bài toán. Tìm tọa độ trung điểm I của S1S2
A. (0; 1; 5) B. (1; 0; 5)
C. (0; -1; -5) D. (-1; 0; -5)
Lời giải:
Đáp án : A
Giải thích :
Ta có: AB→=(-1;-1;2); AC→=(1; -2;1) ⇒ [AB→; AC→ ]=(3;3;3)
⇒SABC=1/2 |[AB→ ; AC→ ]|=(3√3)/2
DC→=(-2; -2;4); AB→=(-1;-1;2) ⇒ DC→=2 AB→
⇒ ABCD là hình thang và SABCD=3SABC=(9√3)/2
VABCD=1/3 SH.SABCD=27/2 ⇒SH=3√3
Lại có H là trung điểm của CD ⇒H (0;1;5)
Gọi S (a; b; c) ⇒ SH→=(-a;1-b;5-c)
Do SH⊥(ABCD) nên SH→=k[ AB→ ; AC→]=(3k;3k;3k)
⇒3√3⇒k=±1
Với k = 1 ⇒ SH→=(3;3;3)⇒S(-3; -2;2)
Với k = -1 ⇒ SH→=(-3;-3;-3)⇒S(3; 4;8)
⇒I(0;1;5)
Bài 18: Trong không gian với hệ toạ độ Oxyz, cho bốn điểm A(-1;-2;4), B(-4;-2;0), C(3;-2;1), D(1;1;1). Độ dài đường cao của tứ diện kẻ từ D là:
A. 3 B. 1
C. 2 D. 1/2
Lời giải:
Đáp án : A
Bài 19: Trong không gian với hệ toạ độ Oxyz, cho tam giác ABC có A(1;0;1), B(0;2;3), C(2;1;0). Độ dài đường cao của tam giác kẻ từ C là:
A. √(26) B. √(26)/2
C. √(26)/3 D. 26
Lời giải:
Đáp án : C
Bài 20: Trong không gian Oxyz, cho tứ diện ABCD có A(2;1;-1), B(3;0;1), C(2;-1;3) và D thuộc trục Oy. Biết VABCD=5 và có hai điểm D1(0;y1;0), D2(0;y2;0) thỏa mãn yêu cầu bài toán. Khi đó y1+y2 bằng
A. 1 B. 0
C. 2 D. 3
Lời giải:
Đáp án : A
Giải thích :
D thuộc trục Oy ⇒D(0;y;0)
AB→=(1; -1;2), AC→=(0; -2;4), AD→=(-2;y-1;1)
⇒[ AB→; AC→ ]=(0; -4; -2)⇒[AB→ ; AC→ ] . AD→=-4y+2
VABCD=1/6 |[ AB→ ; AC→ ] . AD→ |=1/6 |-4y+2|=5 ⇒y=-7;y=8
⇒D(0; -7;8) và D (0;8;0)
⇒ y1+y2= 1
C. Bài tập tự luyện
Bài 1. Trong không gian Oxyz, cho ba điểm A(-2; 2; 1), B(1; 0; 2), C(-1; 2; 3). Tính diện tích tam giác ABC.
Bài 2. Trong không gian với hệ toạ độ Oxyz, cho hình chóp S.OAMN với S(0; 0; 1), A(1; 1; 0), M(m; 0; 0), N(0; n; 0). Trong đó m > 0, n > 0 và m + n = 6. Tính thể tích hình chóp S.OAMN.
Bài 3. Trong không gian với hệ toạ độ Oxyz, cho bốn điểm A(-1; -2; 4), B(-4; -2; 0), C(3; -2; 1), D(1; 1; 1). Tính độ dài đường cao của tứ diện kẻ từ D.
Bài 4. Trong không gian với hệ toạ độ Oxyz, cho tam giác ABC biết A(2; -1; 6), B(-3; -1; -4), C(5; -1; 0). Tính bán kính đường tròn nội tiếp tam giác ABC.
Bài 5. Trong không gian với hệ toạ độ Oxyz, cho tứ diện ABCD biết A(2; -1; 1), B(5; 5; 4), C(3; 2; -1), D(4; 1; 3). Tính thể tích tứ diện ABCD.
Đã có app VietJack trên điện thoại, giải bài tập SGK, SBT Soạn văn, Văn mẫu, Thi online, Bài giảng....miễn phí. Tải ngay ứng dụng trên Android và iOS.
Theo dõi chúng tôi miễn phí trên mạng xã hội facebook và youtube:Nếu thấy hay, hãy động viên và chia sẻ nhé! Các bình luận không phù hợp với nội quy bình luận trang web sẽ bị cấm bình luận vĩnh viễn.
- Giải Tiếng Anh 12 Global Success
- Giải sgk Tiếng Anh 12 Smart World
- Giải sgk Tiếng Anh 12 Friends Global
- Lớp 12 Kết nối tri thức
- Soạn văn 12 (hay nhất) - KNTT
- Soạn văn 12 (ngắn nhất) - KNTT
- Giải sgk Toán 12 - KNTT
- Giải sgk Vật Lí 12 - KNTT
- Giải sgk Hóa học 12 - KNTT
- Giải sgk Sinh học 12 - KNTT
- Giải sgk Lịch Sử 12 - KNTT
- Giải sgk Địa Lí 12 - KNTT
- Giải sgk Giáo dục KTPL 12 - KNTT
- Giải sgk Tin học 12 - KNTT
- Giải sgk Công nghệ 12 - KNTT
- Giải sgk Hoạt động trải nghiệm 12 - KNTT
- Giải sgk Giáo dục quốc phòng 12 - KNTT
- Giải sgk Âm nhạc 12 - KNTT
- Giải sgk Mĩ thuật 12 - KNTT
- Lớp 12 Chân trời sáng tạo
- Soạn văn 12 (hay nhất) - CTST
- Soạn văn 12 (ngắn nhất) - CTST
- Giải sgk Toán 12 - CTST
- Giải sgk Vật Lí 12 - CTST
- Giải sgk Hóa học 12 - CTST
- Giải sgk Sinh học 12 - CTST
- Giải sgk Lịch Sử 12 - CTST
- Giải sgk Địa Lí 12 - CTST
- Giải sgk Giáo dục KTPL 12 - CTST
- Giải sgk Tin học 12 - CTST
- Giải sgk Hoạt động trải nghiệm 12 - CTST
- Giải sgk Âm nhạc 12 - CTST
- Lớp 12 Cánh diều
- Soạn văn 12 Cánh diều (hay nhất)
- Soạn văn 12 Cánh diều (ngắn nhất)
- Giải sgk Toán 12 Cánh diều
- Giải sgk Vật Lí 12 - Cánh diều
- Giải sgk Hóa học 12 - Cánh diều
- Giải sgk Sinh học 12 - Cánh diều
- Giải sgk Lịch Sử 12 - Cánh diều
- Giải sgk Địa Lí 12 - Cánh diều
- Giải sgk Giáo dục KTPL 12 - Cánh diều
- Giải sgk Tin học 12 - Cánh diều
- Giải sgk Công nghệ 12 - Cánh diều
- Giải sgk Hoạt động trải nghiệm 12 - Cánh diều
- Giải sgk Giáo dục quốc phòng 12 - Cánh diều
- Giải sgk Âm nhạc 12 - Cánh diều


Giải bài tập SGK & SBT
Tài liệu giáo viên
Sách
Khóa học
Thi online
Hỏi đáp

