Công thức tính Tích vô hướng của hai vecto trong không gian (cực hay)
Bài viết Công thức tính Tích vô hướng của hai vecto trong không gian với phương pháp giải chi tiết giúp học sinh ôn tập, biết cách làm bài tập Công thức tính Tích vô hướng của hai vecto trong không gian.
Công thức tính Tích vô hướng của hai vecto trong không gian (cực hay)
(199k) Xem Khóa học Toán 12 KNTTXem Khóa học Toán 12 CDXem Khóa học Toán 12 CTST
Bài giảng: Các dạng bài tập hệ trục tọa độ trong không gian - Cô Nguyễn Phương Anh (Giáo viên VietJack)
A. Phương pháp giải & Ví dụ
+ Tích vô hướng của hai vecto:
a→.b→=a1.b1+ a2.b2+ a3.b3
+ a→⊥b→⇔a1.b1+ a2.b2+ a3.b3=0
+ a→2=a12+a22+a32
Ví dụ minh họa
Bài 1: Trong không gian với hệ trục tọa độ Oxyz, cho các vecto a→=(1;2;1),
b→=(3;-1;2), c→=(4; -1; -3),d→=(3; -3; -5),u→=(1;m;2),m∈R.
a) Tính a→.b→; b→(a→-2c→)
b) So sánh a→.(b→.c→) và (a→.b→ ) c→
c) Tính các góc (a→,b→ ), ( a→+b→,3a→- 2c→ )
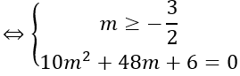
d) Tìm m để u→⊥(b→+d→)
e) Tìm m để (u→,a→ )=600
Lời giải:
a) a→ =(1;2;1),b→ =(3;-1;2)
⇒a→ .b→ =1.3+2.(-1)+1.2=3.
c→ =(4; -1; -3)⇒2c→ =(8; -2; -6)⇒ a→ -2c→ =(-7;4;7)
⇒b→ (a→ -2c→ )=3.(-7)-1.4+2.7=-11
b) b→ .c→ =3.4+(-1).(-1)+2.(-3)=7⇒a→ .(b→ .c→ )=(7;14;7)
a→ .b→ =3⇒(a→ .b→ ) c→ =(12; -3; -9)
Vậy a→ .(b→ .c→ )≠(a→ .b→ ) c→
c) Ta có:
⇒(a→.b→ )≈710
+ a→+ b→=(4;1;3),3a→- 2c→=(-5;8;9)
⇒cos( a→+b→,3a→- 2c→ )
⇒( a→ +b→ ,3a→ - 2c→ )≈770
d) b→ +d→ =(6; -4; -3); u→ =(1;m;2)
u ⃗⊥(b→ +d ⃗ )⇔u→ .(b→ +d→ )=0⇔6-4m-6=0⇔m=0
e)
(u→ ,a→ )=600⇔cos(u→ ,a→ )=1/2
Bài 2: Trong không gian hệ tọa độ Oxyz, cho hai vecto a→,b→ sao cho (a→,b→ )=1200,
|a→ |=2; |b→ |=3. Tính |a→+ b→ | và |a→-2b→ |
Lời giải:
Áp dụng công thức: a→ .b→ =|a→ |.|b→ |.cos(a→ ,b→ )
Ta có: |a→ + b→ |2=(a→ + b→ )2=a→ 2+2a→ .b→ +b→ 2
=|a→ |2+|b→ |2+2|a→ |.|b→ |.cos(a→ ,b→ )=4+9+2.2.3.((-1)/2)=7
⇒|a→ + b→ |=√7
Tương tự:
|a→ -2b→ |2 =|a→ |2+4|b→ |2-4|a→ |.|b→ |.cos(a→ ,b→ )=4+36-4.2.3.((-1)/2)=52
⇒|a→ -2b→ |=2√(13)
Bài 3: Trong không gian Oxyz, cho các điểm A(2; -1; 1), B(3; 5; 2), C(8; 4; 3), D(-2; 2m+1; -3)
a) Chứng minh tam giác ABC là tam giác vuông
b) Tìm m sao cho tam giác ABD vuông tại A
c) Tính số đo góc A của tam giác ABC
Lời giải:
a) Ta có: AB→=(1;6;1); BC→=(5;-1;1)
⇒AB→.BC→=1.5+6.(-1)+1.1=0
⇒AB→⊥BC→⇒ΔABC vuông tại B.
b) AB→=(1;6;1); AD→=(-4;2m+2; -4)
Tam giác ABD vuông tại A ⇔AB→.AD→=0
⇔1.(-4)+6.(2m+2)+1.(-4)=0
⇔12m+4=0⇔m=(-1)/3
c) AB→=(1;6;1); AC→=(6;5;2)
cosA=cos(AB→;AC→ )
⇒Â≈400
B. Bài tập vận dụng
Bài 1: Cho các vectơ u→(u1;u2;u3) và v→(v1;v2;v3), u→. v→=0 khi và chỉ khi:
A. u1v1+u2v2+u3v3=0
B. u1+v1+u2+v2+u3+v3=0
C. u1v1+u2v2+u3v3=1
D. u1v2+u2v3+u3v1=-1
Lời giải:
Đáp án : A
Bài 2: Cho hai vectơ a→ và b→ tạo với nhau góc 600 và |a→| =2; |b→| =4. Khi đó |a→ + b→ | bằng:
A. 2√7 B. 2√3
C. 2√5 D. 2
Lời giải:
Đáp án : A
Giải thích :
|a→ + b→ |2=(a→ + b→ )2=|a→ |2+|b→ |2+2|a→ |.|b→ |.cos(a→ + b→ )
=4+16+2.2.4.1/2=28
⇒|a→ + b→ |=2√7
Bài 3: Cho a→(-2;1;3), b→(1;2;m). Với giá trị nào của m để a→ vuông góc với b→ ?
A. m=-1 B. m=1
C. m=2 D. m=0
Lời giải:
Đáp án : D
Giải thích :
a→ vuông góc với b→ khi và chỉ khi a→ . b→=0
⇔-2.1+1.2+3.m=0⇔m=0
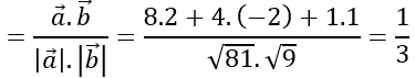
Bài 4: Tính cosin của góc giữa hai vectơ a→ và b→ biết a→(8;4;1), b→(2;-2;1)
A. 1/2 B. √(2)/2
C. √(3)/2 D. 1/3
Lời giải:
Đáp án : D
Giải thích :
cos(a→ , b→)
Bài 5: Cho tam giác ABC với A(-1;-2;4), B(-4;-2;0), C(3;-2;1). Khi đó số đo của góc BACˆ bằng:
A. 300 B. 900
C. 600 D. 450
Lời giải:
Đáp án : B
Giải thích :
AB→=(-3;0; -4); AC→=(4;0;-3)
cosBACˆ=cos( AB→ ; AC→)
⇒BACˆ=900
Bài 6: Cho bốn điểm A(1;0;0), B(0;1;0), C(0;0;1), D(-2;1;-1). Khi đó số đo của góc giữa hai đường thẳng AB và CD là :
A. 300 B. 450
C. 600 D. 900
Lời giải:
Đáp án : B
Giải thích :
AB→ =(-1;1;0); CD→ =(-2;1; -2)
Gọi góc giữa 2 đường thẳng AB và CD là α
⇒α=450
Bài 7: Trong không gian với hệ toạ độ Oxyz, cho hai vecto a→; b→. Trong các khẳng định sau, khẳng định nào đúng:
A. a→ .|b→ |=|a→ |.b→ với mọi a→ ; b→
B. ( a→ b→ )2=a→ 2 . b→ 2 với mọi a→ ; b→
C. |a→ . b→ | ≤|a→ |.|b→ | với mọi a→ ; b→
D. a→ . b→ =0 khi và chỉ khi a→ = 0→ hoặc b→ = 0→
Lời giải:
Đáp án : C
Giải thích :
VD: a→ =(2; -3;1), b→ =(1;1;1)
⇒|a→ |=√14; |b→ |=√3
a) a→ . |b→ |=(2√3; -3√3;√3)
|a→ |. b→ =(√14; √14; √14)
⇒ a→ . |b→ |≠| a→ | . b→
b) a→ b→ =2.1-3.1+1.1=0
a→ 2 . b→ 2=14.3=52
⇒( a→ b→ )2≠ a→ 2 . b→ 2
d) a→ b→ =0 nhưng a→ ≠ 0→ hoặc b→ ≠ 0→
Vậy a, b, d sai, c đúng.
Bài 8: Trong không gian Oxyz, cho a→(-1;2;-3), b→(3;3;4), c→(5;0-1). Giá trị của a→ (b→ + c→ ) là:
A. 8 B. 11
C. -8 D. -11
Lời giải:
Đáp án : D
Giải thích :
b→ + c→ =(8;3;3)
⇒ a→ (b→ + c→ )=-1.8+2.3-3.3=-11
Bài 9: Cho 3 điểm A(2; 1; -3), B(–2; 2; –6), C(5; 0; –1). Tích AB→. AC→ bằng:
A. -6 B. 65
C. -19 D. 33
Lời giải:
Đáp án : C
Giải thích :
AB→ =(-4;1; -3); AC→=(3; -1;2)
⇒ AB→ . AC→ =-4.3+1.(-1)-3.2=-19
Bài 10: Trong không gian với hệ tọa độ Oxyz, điều kiện để a→ vuông góc với b→ là gì ?
A. a→ . b→ =0 B. [ a→ , b→] = 0→
C. a→ + b→ = 0→ D. a→ - b→ = 0→
Lời giải:
Đáp án : A
Giải thích :
Bài 11: Cho hai vecto a→; b→thay đổi nhưng luôn thỏa mãn |a→|=5; |b→ |=3. Giá trị lớn nhất của |a→ -2 b→ | là:
A. 11 B. -1
C. 1 D. √61
Lời giải:
Đáp án : D
Giải thích :
Ta có: |a→ - 2 b→ |2 = ( a→ - 2 b→ )2 = | a→ |2 + 4| b→ |2 - 4| a→ |.| b→ |.cos( a→ ; b→ )
| a→ -2 b→ | lớn nhất ⇔ | a→ - 2 b→ |2 lớn nhất ⇔cos( a→ ; b→ )=0
Khi đó: | a→ - 2 b→ |2=| a→ |2+4| b→ |2=25+4.9=61
⇒|a→ - 2 b→ |=√61
Bài 12: Trong không gian với hệ toạ độ Oxyz, cho ba vectơ a→(-1;1;0), b→(1;1;0), c→(1;1;1,). Trong các mệnh đề sau, mệnh đề nào sai ?
A. | a→|= √2 B. c→ ⊥ b→
C. a→ ⊥ b→ D. | c→ |=√3
Lời giải:
Đáp án : B
Giải thích :
Ta có: c→ . b→=1.1+1.1+0.1=2≠0
⇒ Hai vecto c→ ; b→ không vuông góc với nhau
Bài 13: Trong không gian với hệ toạ độ Oxyz, cho tam giác ABC có AB→=(-3;0;4), AC→=(5;-2;4). Độ dài trung tuyến AM là:
A. 3√2 B. 4√2
C. 2√3 D. 5√3
Lời giải:
Đáp án : A
Giải thích :
Ta có: AB=|AB→ |=5; AC=|AC→ |=√45
cosBACˆ =cos(AB→ ; AC→ )
Ta có: BC2=AB2+AC2 - 2AB.AC.cosBACˆ =68
AM là trung tuyến
⇒AM=3√2
Bài 14: Cho | a→ |=2; | b→ |=5, góc giữa hai vectơ a→ và b→ bằng (2π)/3, u→ = k a→ - b→; v→ = a→ + 2 b→. Để u→ vuông góc với v→ thì k bằng?
A. -45/6 B. 45/6
C. 6/45 D. -6/45
Lời giải:
Đáp án : A
Giải thích :
u→ = k a→ - b→; v→ = a→ + 2 b→
⇒ u→ . v→ =(k a→ - b→ )(a→ +2 b→ )=k a→ 2-2 b→ 2+(2k-1) a→ . b→
Ta có: a→ . b→ =| a→ |.| b→ |.cos( a→ ; b→ )=2.5.cos(2π/3)=-5
⇒ u→ . v→ =4k-2.25+(2k-1).(-5)=-6k-45
Giả thiết: u→ và v→ vuông góc với nhau ⇒ u→ . v→ =0
⇒-6k-45=0 ⇔ k=(-45)/6
Bài 15: Trong không gian với hệ tọa độ Oxyz, cho a→=(x;2;1), b→ =(2;1;2), Tìm x biết cos( a→ , b→ )=2/3.
A. x=1/2 B. x=1/3
C. x=3/2 D. x=1/4
Lời giải:
Đáp án : D
Giải thích :
Bài 16: Trong không gian với hệ tọa độ Oxyz, cho A→ (-2;2;-1), B→ (-2;3;0), C→ (x;3;-1). Giá trị của x để tam giác ABC đều là:
A. x=-1 B. x=-3
C. D. x=1
Lời giải:
Đáp án : C
Giải thích :
AB→ =(0;1;1); AC→ =(x+2;1;0); BC→ =(x+2;0;-1)
Tam giác ABC đều ⇔ BACˆ= ABCˆ=600
Khi đó:
⇔(x+2)2 + 1=2⇔(x+2)2=1
Bài 17: Cho hai vecto a→; b→ tạo với nhau một góc 600. Biết độ dài của hai vecto đó lần lượt là 5 và 10. Độ dài của vecto hiệu a→ - b→ là:
A. 15 B. 5
C. 75 D. √(75)
Lời giải:
Đáp án : D
Giải thích :
Ta có: | a→ - b→ |2=( a→ - b→ )2=| a→ |2+| b→ |2-2| a→ |.| b→ |.cos( a→ ; b→ )
=25+100-2.5.10.cos600 =75
⇒|a→ - b→ |=√75
Bài 18: Trong không gian với hệ tọa độ Oxyz,cho tam giác ABC với A(-4;3;5), B(-3;2;5) và C(5;-3;8). Tính cos(AB→ ; BC→ ).
Lời giải:
Đáp án : C
Giải thích :
AB→ =(1; -1;0); BC→ =(8; -5;3)
Bài 19: Trong không gian với hệ toạ độ Oxyz, tam giác ABC có A(-1;-2;4), B(-4;-2;0), C(3;-2;1). Số đo của góc B là:
A. 450 B. 600
C. 300 D. 1200
Lời giải:
Đáp án : A
Giải thích :
AB→=(-3; 0;-4); BC→=(7; 0;1)
⇒(AB→ ; BC→ )=1350
⇒ Bˆ=450
Bài 20: Trong không gian Oxyz, cho hai điểm A(x; y; z), B(m, n, p) thay đổi nhưng luôn thỏa mãn điều kiện x2+y2+z2=4; m2+n2+p2=9. Vecto AB→ có độ dài nhỏ nhất là:
A. 5 B. 1
C. 13 D. Không tồn tại
Lời giải:
Đáp án : B
Giải thích :
Ta có: OA = 2; OB = 3
AB≤|OA-OB|=1
Dấu bằng xảy ra khi O nằm ngoài đoạn AB.
Đã có app VietJack trên điện thoại, giải bài tập SGK, SBT Soạn văn, Văn mẫu, Thi online, Bài giảng....miễn phí. Tải ngay ứng dụng trên Android và iOS.
Theo dõi chúng tôi miễn phí trên mạng xã hội facebook và youtube:Nếu thấy hay, hãy động viên và chia sẻ nhé! Các bình luận không phù hợp với nội quy bình luận trang web sẽ bị cấm bình luận vĩnh viễn.
- Giải Tiếng Anh 12 Global Success
- Giải sgk Tiếng Anh 12 Smart World
- Giải sgk Tiếng Anh 12 Friends Global
- Lớp 12 Kết nối tri thức
- Soạn văn 12 (hay nhất) - KNTT
- Soạn văn 12 (ngắn nhất) - KNTT
- Giải sgk Toán 12 - KNTT
- Giải sgk Vật Lí 12 - KNTT
- Giải sgk Hóa học 12 - KNTT
- Giải sgk Sinh học 12 - KNTT
- Giải sgk Lịch Sử 12 - KNTT
- Giải sgk Địa Lí 12 - KNTT
- Giải sgk Giáo dục KTPL 12 - KNTT
- Giải sgk Tin học 12 - KNTT
- Giải sgk Công nghệ 12 - KNTT
- Giải sgk Hoạt động trải nghiệm 12 - KNTT
- Giải sgk Giáo dục quốc phòng 12 - KNTT
- Giải sgk Âm nhạc 12 - KNTT
- Giải sgk Mĩ thuật 12 - KNTT
- Lớp 12 Chân trời sáng tạo
- Soạn văn 12 (hay nhất) - CTST
- Soạn văn 12 (ngắn nhất) - CTST
- Giải sgk Toán 12 - CTST
- Giải sgk Vật Lí 12 - CTST
- Giải sgk Hóa học 12 - CTST
- Giải sgk Sinh học 12 - CTST
- Giải sgk Lịch Sử 12 - CTST
- Giải sgk Địa Lí 12 - CTST
- Giải sgk Giáo dục KTPL 12 - CTST
- Giải sgk Tin học 12 - CTST
- Giải sgk Hoạt động trải nghiệm 12 - CTST
- Giải sgk Âm nhạc 12 - CTST
- Lớp 12 Cánh diều
- Soạn văn 12 Cánh diều (hay nhất)
- Soạn văn 12 Cánh diều (ngắn nhất)
- Giải sgk Toán 12 Cánh diều
- Giải sgk Vật Lí 12 - Cánh diều
- Giải sgk Hóa học 12 - Cánh diều
- Giải sgk Sinh học 12 - Cánh diều
- Giải sgk Lịch Sử 12 - Cánh diều
- Giải sgk Địa Lí 12 - Cánh diều
- Giải sgk Giáo dục KTPL 12 - Cánh diều
- Giải sgk Tin học 12 - Cánh diều
- Giải sgk Công nghệ 12 - Cánh diều
- Giải sgk Hoạt động trải nghiệm 12 - Cánh diều
- Giải sgk Giáo dục quốc phòng 12 - Cánh diều
- Giải sgk Âm nhạc 12 - Cánh diều


Giải bài tập SGK & SBT
Tài liệu giáo viên
Sách
Khóa học
Thi online
Hỏi đáp

