Tìm số phức z thỏa mãn điều kiện cho trước (cực hay)
Bài viết Tìm số phức z thỏa mãn điều kiện cho trước với phương pháp giải chi tiết giúp học sinh ôn tập, biết cách làm bài tập Tìm số phức z thỏa mãn điều kiện cho trước.
Tìm số phức z thỏa mãn điều kiện cho trước (cực hay)
(199k) Xem Khóa học Toán 12 KNTTXem Khóa học Toán 12 CDXem Khóa học Toán 12 CTST
Bài giảng: Các phép biến đổi cơ bản trên tập hợp số phức - Cô Nguyễn Phương Anh (Giáo viên VietJack)
A. Phương pháp giải & Ví dụ
Phương pháp giải
Cho hai số phức z1 = a + bi và z2 = c + d.i thì:
+ Phép cộng số phức: z1 + z2 = (a + c) + (b + d)i
+ Phép trừ số phức: z1 - z2 = (a - c) + (b - d)i
+ z1 = z2 khi và chỉ khi a = c và b = d
Ví dụ minh họa
Ví dụ 1:Các số thực x;y thỏa mãn: 3x + y + 5xi = 2y-1 + (x - y)i là
Lời giải:
Chọn đáp án A.
Ví dụ 2:Cho số phức z thỏa mãn: 3z + 2 = (4 - i)2 . Môđun của số phức z là
A.-73. B.-√73. C. 73. D.√73.
Lời giải:
Gọi z = a + bi => = a - bi
Hay 5a + bi = 15 - 8i
Vậy z = 3 - 8i
Chọn đáp án D.
Ví dụ 3:Tìm số phức z , biết z - (2 + 3i) = 1 - 9i .
A. z = -2 + i. B. z = - 2 - i. C. z = 3 + 2i. D. z = 2 - i.
Lời giải:
Gọi z = a + bi ta có :
Vậy z = 2 - i
Chọn đáp án D.
Ví dụ 4:Cho số phức z = a + bi thỏa mãn : z - (2 + 3i) . Giá trị của ab + 1 là :
A. -1 B. 0. C. 1. D. -2
Lời giải:
Chọn đáp án A.
Ví dụ 5: Có bao nhiêu số phức z thỏa mãn |z| = √2 và z2 là số thuần ảo ?
A. 4. B. 3.
C. 2. D. 1.
Lời giải:
Gọi z = a + bi.
Ta có và z 2 = a2 - b2 + 2abi
Yêu cầu của bài toán thỏa mãn khi và chỉ khi
Vậy có 4 số phức thỏa mãn điều kiện bài toán
Chọn đáp án A.
Ví dụ 6: Cho 2 số phức với z = x + yi, x,y ∈ R .
Mệnh đề nào sau đây đúng?
A.z1 và z2 là số thuần ảo. B. z2 là số thuần ảo.
C. z1 là số thuần ảo. D. z1 và z2 là số thực
Lời giải:
Khi đó :
Suy ra z1 là số thuần ảo; z2là số thuần thực.
Chọn đáp án C.
Ví dụ 7:Tìm tất cả số phức z thỏa z2 = |z|2 +
Lời giải:
Đặt z = x + yi
Ta có:
z2 = |z|2 + <=> 2y2 + x - (2xy + y)i = 0
Chọn đáp án A.
Ví dụ 8:Có bao nhiêu số phức thỏa mãn điều kiện z2 = |z|2 + ?
A. 3 B. 0 C. 1 D. 2
Lời giải:
Gọi z = a + bi là số phức thỏa mãn điều kiện trên.
Ta có:
Vậy có 3 số phức thỏa mãn yêu cầu bài toán.
Chọn đáp án A.
B. Bài tập vận dụng
Câu 1:Các số thực x; y thỏa mãn: (2x + 3y +1) + (-x + 2y)i = (3x - 2y + 2) + (4x - y -3)i là
Lời giải:
Đáp án : B
Giải thích :
(2x + 3y +1) + (-x + 2y)i = (3x - 2y + 2) + (4x - y -3)i
Câu 2:Số phức z thỏa mãn: z - (2+3i) = 1 - 9i là
A.2+1 B.-2-i C.-4+i D.2-i
Lời giải:
Đáp án : D
Giải thích :
Gọi z = a + bi với a,b ∈ R ; i2 = -1 => = a - bi
z - (2 + 3i) = 1 - 9i
=> a + bi - (2a - 2bi + 3ai + 3b) = 1 - 9i
Hay a + bi - (2a - 2bi + 3ai + 3b) = 1 - 9i
<=> -a - 3b + (-3 + 3b)i = 1 - 9i
Câu 3:Tìm số phức z thỏa mãn hệ thức
A. z = 3 + 4i; z = 5. B. z = 3 + 4i; z = -4.
C. z = -3 + 4i; z = 5. D. z = 3 - 4i; z = -5.
Lời giải:
Đáp án : A
Giải thích :
Gọi z = a + bi khi đó = a- bi
Hay (a-2)2 + (b-1)2 = 10 (*)
Vậy z = 3 + 4i hoặc z = 5.
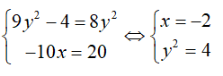
Câu 4:Tìm số thực x; y để hai số phức z1 = 9y2 - 4 - 10xi5 và z2 = 82 + 20i11 là liên hợp của nhau?
A. x = -2; y = 2. B.x = 2; y = ±2 .
C. x = 2; y = 2. D.x = -2 ; y = ±2 .
Lời giải:
Đáp án : D
Giải thích :
z1 và z2 là liên hợp của nhau khi và chỉ khi:
Câu 5:Cho số phức z thỏa mãn (2z - 1)(1+i) + ( + 1)(1- i) = 2 - 2i . Giá trị của |z| là ?
Lời giải:
Đáp án : A
Giải thích :
Gọi z = a + bi ta có :
(2z - 1)(1+i) + ( + 1)(1- i) = 2 - 2i
<=>[(2a - 1) + 2bi](1 + i) + [(a + 1) - bi](1- i) = 2 - 2i
>=< (2a - 2b - 1) + (2a + 2b -1) = (a - b + 1) - (a + b + 1)i = 2 -2i
Câu 6:Cho số phức z thỏa mãn z2 - 6z + 13 = 0 . Giá trị của là:
A. √17 hoặc 5 B. -√17 hoặc √175
C. √17 hoặc 4 D. √17 hoặc √5.
Lời giải:
Đáp án : A
Giải thích :
Câu 7: Cho số phức z thỏa . Viết z dưới dạng z = a + bi. Khi đó tổng a+b có giá trị bằng bao nhiêu?
A.3 B. -1 . C. 1. D. 2.
Lời giải:
Đáp án : C
Giải thích :
Câu 8:Có bao nhiêu số phức z thỏa mãn:
A. 2. B. 3. C. 2. D. 1
Lời giải:
Đáp án : A
Giải thích :
Đặt z = x + yi (x,y ∈ R), ta có
Ta có
=>có 2 số phức thỏa yêu cầu đề bài.
Câu 9:Tìm số phức z để z - = z2 .
A. z = 0; z = 1- i B. z = 0; z = 1 + i
C.z = 0 ; z = 1 + i; z = 1 - i D. z = 1 + i; z = 1 - i
Lời giải:
Đáp án : C
Giải thích :
Gọi z = a + bi là số phức thỏa mãn đẳng thức trên. Ta có:
Câu 10:Tìm số nguyên x, y sao cho số phức z = x + yi thỏa mãn z3 = 18 + 26i
Lời giải:
Đáp án : C
Giải thích :
z3 = 18 + 26i >=< (x + yi)3 = 18 + 26i <=> x3 + 3x2 - 3xy2 - y3i = 18 + 26i
<=> (x3 - 3 xy2) + (3x2 - y3)i = 18 + 26i
Do x; y nguyên nên
Mà y (3x2 - y2) = 26 => x = 3; y = 1
Câu 11:Cho số phức z = a + bi thỏa mãn Tính P = a + bi
A.-3 B.-1 C.1 D.2
Lời giải:
Đáp án : C
Giải thích :
Đặt z = a + bi.
Theo giải thiết ta có:
[(a + 1) + (b + 1)i](a - bi - i) + 3i = 9
Do |z| > 2 => a = -1; b = 2 => a + b = 1
C. Bài tập tự luyện
Bài 1. Cho số phức z thỏa mãn z + 2 = 6 − 3i. Tìm phần ảo b của số phức z.
Bài 2. Cho số phức z thỏa điều kiện . Tìm số phức w = z + 2i - 3 có môđun nhỏ nhất.
Bài 3. Cho số phức z thỏa mãn z(1 + i) = 3 – 5i. Tính môđun của z.
Bài 4. Cho số phức z thỏa mãn . Tìm giá trị lớn nhất của .
Bài 5. Tìm môđun số phức z thỏa mãn z(2 – i) + 13i = 1.
(199k) Xem Khóa học Toán 12 KNTTXem Khóa học Toán 12 CDXem Khóa học Toán 12 CTST
Xem thêm các dạng bài tập Toán lớp 12 ôn thi Tốt nghiệp có lời giải hay khác:
- Dạng đại số của số phức
- Căn bậc hai của số phức và phương trình bậc hai
- Dạng lượng giác của số phức
- Tập hợp điểm biểu diễn số phức
- Tìm max min số phức
- Bài tập số phức tổng hợp
Đã có app VietJack trên điện thoại, giải bài tập SGK, SBT Soạn văn, Văn mẫu, Thi online, Bài giảng....miễn phí. Tải ngay ứng dụng trên Android và iOS.
Theo dõi chúng tôi miễn phí trên mạng xã hội facebook và youtube:Nếu thấy hay, hãy động viên và chia sẻ nhé! Các bình luận không phù hợp với nội quy bình luận trang web sẽ bị cấm bình luận vĩnh viễn.
- Giải Tiếng Anh 12 Global Success
- Giải sgk Tiếng Anh 12 Smart World
- Giải sgk Tiếng Anh 12 Friends Global
- Lớp 12 Kết nối tri thức
- Soạn văn 12 (hay nhất) - KNTT
- Soạn văn 12 (ngắn nhất) - KNTT
- Giải sgk Toán 12 - KNTT
- Giải sgk Vật Lí 12 - KNTT
- Giải sgk Hóa học 12 - KNTT
- Giải sgk Sinh học 12 - KNTT
- Giải sgk Lịch Sử 12 - KNTT
- Giải sgk Địa Lí 12 - KNTT
- Giải sgk Giáo dục KTPL 12 - KNTT
- Giải sgk Tin học 12 - KNTT
- Giải sgk Công nghệ 12 - KNTT
- Giải sgk Hoạt động trải nghiệm 12 - KNTT
- Giải sgk Giáo dục quốc phòng 12 - KNTT
- Giải sgk Âm nhạc 12 - KNTT
- Giải sgk Mĩ thuật 12 - KNTT
- Lớp 12 Chân trời sáng tạo
- Soạn văn 12 (hay nhất) - CTST
- Soạn văn 12 (ngắn nhất) - CTST
- Giải sgk Toán 12 - CTST
- Giải sgk Vật Lí 12 - CTST
- Giải sgk Hóa học 12 - CTST
- Giải sgk Sinh học 12 - CTST
- Giải sgk Lịch Sử 12 - CTST
- Giải sgk Địa Lí 12 - CTST
- Giải sgk Giáo dục KTPL 12 - CTST
- Giải sgk Tin học 12 - CTST
- Giải sgk Hoạt động trải nghiệm 12 - CTST
- Giải sgk Âm nhạc 12 - CTST
- Lớp 12 Cánh diều
- Soạn văn 12 Cánh diều (hay nhất)
- Soạn văn 12 Cánh diều (ngắn nhất)
- Giải sgk Toán 12 Cánh diều
- Giải sgk Vật Lí 12 - Cánh diều
- Giải sgk Hóa học 12 - Cánh diều
- Giải sgk Sinh học 12 - Cánh diều
- Giải sgk Lịch Sử 12 - Cánh diều
- Giải sgk Địa Lí 12 - Cánh diều
- Giải sgk Giáo dục KTPL 12 - Cánh diều
- Giải sgk Tin học 12 - Cánh diều
- Giải sgk Công nghệ 12 - Cánh diều
- Giải sgk Hoạt động trải nghiệm 12 - Cánh diều
- Giải sgk Giáo dục quốc phòng 12 - Cánh diều
- Giải sgk Âm nhạc 12 - Cánh diều


Giải bài tập SGK & SBT
Tài liệu giáo viên
Sách
Khóa học
Thi online
Hỏi đáp

