Cách tìm tâm, bán kính mặt cầu ngoại tiếp (cực hay)
Bài viết Cách tìm tâm, bán kính mặt cầu ngoại tiếp với phương pháp giải chi tiết giúp học sinh ôn tập, biết cách làm bài tập Cách tìm tâm, bán kính mặt cầu ngoại tiếp.
Cách tìm tâm, bán kính mặt cầu ngoại tiếp (cực hay)
(199k) Xem Khóa học Toán 12 KNTTXem Khóa học Toán 12 CDXem Khóa học Toán 12 CTST
Bài giảng: Các dạng bài toán liên quan đến mặt cầu - Cô Nguyễn Phương Anh (Giáo viên VietJack)
A. Tự luận
Bài 1: Cho hình chóp S.ABCD có đáy ABCD là hình vuông cạnh bằng a, SA = 2a và vuông góc với (ABCD). Tính thể tích của khối cầu ngoại tiếp khối chóp S.ABCD.
Lời giải:
Gọi O là trung điểm của SC
Xét các vuông tại A ∆SAC; ∆SAD; ∆SAB có:
Ta có:
⇒ ∆SBC; ∆SCD vuông tại C
Hình chóp S.ABCD có:
Thể tích khối cầu là:
Bài 2: Cho tứ diện ABCD có DA = 5a và vuông góc với (ABC), ∆ABC vuông tại B và AB = 3a, BC = 4a. Diện tích của mặt cầu ngoại tiếp tứ diện ABCD là:
Lời giải:
Xét các vuông tại A ∆BAC; ∆DAB; ∆DAC có:
AC2 = BC2 + AB2 = 16a2 + 9a2 = 25a2
DB2 = DA2 + AB2 = 25a2 + 9a2 = 34a2
DC2 = DA2 + AC2 = 25a2 + 25a2 = 50a2
Xét ∆DBC có:
DB2 + BC2 = 34a2 + 16a2 = 50a2 = DC2
⇒ ∆DBC vuông tại B
Gọi O là trung điểm của CD
∆DAC vuông tại A có AO là trung tuyến
⇒ OA = OC = OD = CD/2 (1)
∆DBC vuông tại B có BO là trung tuyến
⇒ OB = OC = OD = CD/2 (2)
Từ (1) và (2) ta có:
Diện tích của mặt cầu ngoại tiếp tứ diện ABCD là:
Bài 3: Cho hình chóp tứ giác đều có cạnh đáy bằng a, cạnh bên hợp với đáy một góc 30º. Tính thể tích mặt cầu ngoại tiếp hình chóp
Lời giải:
Gọi O là tâm đáy ABCD
Hình chóp S.ABCD đều nên SO ⊥ (ABCD)
OA là hình chiếu vuông góc của SA lên (ABCD)
⇒ Góc giữa cạnh bên SA và đáy là góc ∠(SAO)=30º
Gọi M là trung điểm của SA. Trung trực của SA cắt SO tại I
⇒ I là tâm mặt cầu ngoại tiếp hình chóp.
ABCD là hình vuông cạnh a, O là tâm
Ta có: ∆SMI ~ ∆SOA (g.g)
Xét ∆SOA vuông tại O, ∠(SAO) = 30º có:
Thể tích mặt cầu là:
Bài 4: Cho lăng trụ tam giác đều có đáy là tam giác đều có cạnh đáy bằng 2√3, cạnh bên bằng √5. Tính thể tích mặt cầu ngoại tiếp lăng trụ
Lời giải:
Áp dụng công thức giải nhanh:
Công thức tính nhanh: Cho lăng trụ tam giác đều có đáy là tam giác đều cạnh a, cạnh bên bằng b.
Bán kính mặt cầu ngoại tiếp:
Thể tích khối cầu ngoại tiếp:
Chứng minh:
Gọi O, O’ là tâm của ∆ABC và ∆A' B' C' là OO’ là trục của đường tròn ngoại tiếp ∆ABC và ∆A' B' C'.
Gọi I là trung điểm của OO’ thì IA = IB = IC = IA’ = IB’ = IC’ hay I là tâm mặt cầu ngoại tiếp hình trụ. Bán kính mặt cầu là R = IA.
∆AOI vuông có:
Thể tích khối cầu ngoại tiếp lăng trụ:
Bài 5: Cho hình chóp tam giác đều S.ABC có cạnh đáy bằng 2 và cạnh bên bằng 2√3. Tính bán kính mặt cầu ngoại tiếp hình chóp S.ABC
Lời giải:
Áp dụng công thức giải nhanh:
Trong đó, a = 2; b=2√3 ta được:
Công thức tính nhanh: Cho hính chóp tam giác đều có đáy là tam giác đều cạnh a, cạnh bên bằng b.
Bán kính mặt cầu ngoại tiếp:
Thể tích khối cầu ngoại tiếp:
Chứng minh:
Gọi O là hình chiếu của S lên mặt phẳng (ABC) thì O là tâm của đường tròn ngoại tiếp ∆ABC đều cạnh a.
Mặt phẳng trung trực của SA cắt SA tại I và cắt SO tại K
Khi đó SK = KB = KC hay K là tâm của mặt cầu ngoại tiếp hình chóp S.ABC
Tam giác SOA vuông tại O
B. Trắc nghiệm
Bài 1: Cho hình chóp S.ABCD có đáy là hình thang cân ABCD với AB=2a, BC=CD=DA=a và SA (ABCD). Một mặt phẳng qua A vuông góc với SB và cắt AB, SC, SD lần lượt tại M, N, P. Tính đường kính khối cầu ngoại tiếp khối ABCDMNP.
Lời giải:
Đáp án : B
Giải thích :
Nhận xét hình thang ABCD cân và AB =2AD =2BC = 2CD =2a nên ∠(ACB) = ∠(ADB) = 90º
Mặt phẳng qua A vuông góc với SB tại M nên AMB = 90º.
Ta có BC ⊥ AC và BC ⊥ SA nên BC ⊥ (SAC)
Do đó AN ⊥ BC và AN ⊥ SB nên AN ⊥ (SBC)
⇒ AN ⊥ BN, hay ANB = 90º
Ta cũng có AP ⊥ SB và AP ⊥ BD nên AP ⊥ (SBD) ⇒ AP ⊥ BP, hay APB = 90º
Ta thấy các điểm C,D,M,N đều nhìn AB dưới một góc vuông.
Vậy AB chính là đường kính của khối cầu ngoại tiếp khối ABCDMNP.
Bài 2: Cho hình chóp S.ABC có đáy ABC là tam giác đều cạnh a, SA vuông góc với mặt đáy và SA = a.Tính diện tích mặt cầu ngoại tiếp hình chóp S.ABC.
Lời giải:
Đáp án : C
Giải thích :
Gọi O là trọng tâm của tam giác đều ABC và M là trung điểm của BC
Đường trung trực của SA cắt SA tại N và cắt đường thẳng đi qua O, song song với SA tại I
⇒ I là tâm mặt cầu ngoại tiếp hình chóp S.ABC.
⇒ IO ⊥ (ABC) và IN ⊥ SA ⇒ AOIN là hình chữ nhật.
Bài 3: Cho hình chóp S.ABC có đáy là tam giác vuông cân tại B, AB=a. Cạnh bên SA vuông góc mp(ABC) và SC hợp với đáy một góc bằng 60º. Gọi (S) là mặt cầu ngoại tiếp hình chóp S.ABC. Thể tích của khối cầu tạo nên bởi mặt cầu (S) bằng:
Lời giải:
Đáp án : B
Giải thích :
AC là hình chiếu vuông góc của SC lên (ABC)
⇒ Góc giữa SC và (ABC) là góc ∠(SCA) = 60º
Xét các ∆ABC; ∆SAB; ∆SAC vuông tại A có:
AC2=AB2+BC2=a2+a2=2a2
SA=AC.tan∠(SCA) =a√2.tan60º =a√6
SC2=SA2+AC2=6a2+2a2=8a2
SB2=SA2+AB2=6a2+a2=7a2
Ta có:
SB2+BC2=7a2+a2=8a2=SC2
⇒ ∆SBC vuông tại B
Khi đó, ta có: ∠(SAC) = ∠(SBC) =90º
Gọi O là trung điểm của SC
⇒ O là tâm đường tròn ngoại tiếp khối chóp S.ABC
Bài 4: Cho hình lăng trụ tam giác đều ABC. A’B’C’ có tất cà các cạnh đều bằng a.Tính diện tích của mặt cầu ngoại tiếp hình lăng trụ theo a.
Lời giải:
Đáp án : B
Giải thích :
Áp dụng công thức giải nhanh với lăng trụ tam giác đều có tất cả các cạnh bằng a, ta được:
Diện tích của mặt cầu ngoại tiếp hình lăng trụ:
Bài 5: Cho tứ diện S.ABC, đáy ABC là tam giác vuông tại B với AB = 3, BC = 4. Hai mặt bên (SAB) và (SAC) cùng vuông góc với (ABC) và SC hợp với (ABC) góc 45º. Thể tích hình cầu ngoại tiếp S.ABC là:
Lời giải:
Đáp án : C
Giải thích :
AC là hình chiếu vuông góc của SC lên (ABC)
⇒ Góc giữa SC và (ABC) là góc ∠(SCA) =45º
Xét các ∆ABC; ∆SAB; ∆SAC vuông tại A có:
AC2=AB2+BC2=32+42=25 ⇒ AC=5
SA=AC.tan∠(SCA) =5.tan45º =5
SC2=SA2+AC2=25+25=50 ⇒ SC=5√2
SB2=SA2+AB2=25+9=34
Ta có:
SB2+BC2=34+16=50=SC2
⇒ ∆SBC vuông tại B
Khi đó, ta có: ∠(SAC) = ∠(SBC) =90º
Gọi O là trung điểm của SC
⇒ O là tâm đường tròn ngoại tiếp khối chóp S.ABC
Bài 6: Cho hình chóp S.ABC có đáy ABC là tam giác đều cạnh bằng 1, mặt bên SAB là tam giác đều và nằm trong mặt phẳng vuông góc với mặt phẳng đáy. Tính thể tích V của khối cầu ngoại tiếp hình chóp đã cho.
Lời giải:
Đáp án : B
Giải thích :
Gọi H là trung điểm của AB
Vì ∆SAB đều nên SH ⊥ AB
Mà (SAB) ⊥ (ABC); SH ⊥ AB ⇒ SH ⊥ (ABC)
⇒ SH là đường cao của hình chóp S.ABC
Gọi G là trọng tâm của ∆ABC ⇒ G là tâm đường tròn ngoại tiếp ∆ABC.
Qua G kẻ đường thẳng d song song với SH ⇒ d ⊥ (ABC)
Gọi K là trung điểm của SC , vì ∆SHC vuông cân tại H (SH = HC) ⇒ HK là đường trung trực ứng với SC.
Gọi I = d ∩ HK ta có
⇒ I là tâm khối cầu ngoại tiếp hình chóp S.ABC
Xét hai tam giác đều ∆ABC=∆SAB có độ dài các cạnh bằng
G là trọng tâm ∆ABC
Xét ∆HIG vuông tại G, ∠(KHC) = 45º nên
Xét ∆CIG vuông tại G
Vậy thể tích của khối cầu ngoại tiếp hình chóp
Bài 7: Cho khối lập phương ABCD.A’B’C’D’ cạnh a. Bán kính mặt cầu ngoại tiếp của khối lập phương ABCD. A’B’C’D’ bằng
Lời giải:
Đáp án : A
Giải thích :
Gọi I là trung điểm của A’C
⇒ I là tâm mặt cầu ngoại tiếp khối lập phương ABCD.A’B’C’D’
Ta có:
Bài 8: Cho hình chóp S.ABCD có đáy ABCD là hình vuông, tam giác SAB đều cạnh a và nằm trong mặt phẳng vuông góc với đáy. Bán kính mặt cầu ngoại tiếp hình chóp S.ABCD theo a.
Lời giải:
Đáp án : D
Giải thích :
Gọi H là trung điểm của AB, do tam giác SAB đều nên
SH ⊥ AB mà (SAB) ⊥ (ABCD) nên SH ⊥ (ABCD)
Gọi O là tâm của hình vuông ABCD, d là đường thẳng qua O và song song SH thì d ⊥ (ABCD) hay d là trục đường tròn ngoại tiếp hình vuông ABCD.
Gọi G là trọng tâm của ∆SAB đều ⇒ G là tâm đường tròn ngoại tiếp ∆SAB
Trong mặt phẳng (SAB) từ G kẻ đường thẳng vuông góc với (SAB) cắt d tại I thì I là tâm mặt cầu ngoại tiếp hình chóp S.ABCD, bán kính R = IS.
∆SAB đều cạnh a, G là trọng tâm
Trong tam giác vuông SGI tại G :
Bài tập tìm tâm, bán kính mặt cầu ngoại tiếp (phần 2)
Bài 1: Cạnh bên của một hình chóp tam giác đều bằng a tạo với mặt đáy một góc 30º. Diện tích mặt cầu ngoại tiếp hình chóp là :
Lời giải:
Đáp án : A
Giải thích :
Gọi O là tâm đáy ABC
⇒ SO ⊥ (ABC)
⇒ Góc giữa cạnh bên SA và mặt đáy là góc ∠(SAO) =30º
Xét ∆SAO vuông tại O có:
Áp dụng công thức giải nhanh:
Diện tích mặt cầu:
Bài 2: Cho lăng trụ tam giác đều ABC.A’B’C’ có cạnh đáy bằng a . Mặt phẳng (AB’C’) tạo với mặt phẳng (A’B’C’) một góc 60º và G là trọng tâm ∆ABC . Diện tích mặt cầu ngoại tiếp khối chóp G.A’B’C’ bằng:
Lời giải:
Đáp án : D
Giải thích :
Gọi M là trung điểm của B’C’
Ta có : (A' AM) ⊥ B'C' ⇒ AM ⊥ B'C'
A'M ⊥ B'C'
⇒ Góc giữa (AB’C’) và (A’B’C’) là góc giữa AM và A’M
⇒ ∠(AMA') =60º
∆A’B’C’ đều cạnh a
Đường trung trực của GA’ cắt GA’ tại N và cắt GG’ tại I
⇒ I là tâm đường tròn ngoại tiếp khối chóp G.A’B’C’
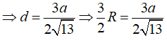
Xét ∆A’GA vuông tại A có:
Ta có: ∆GIN ~ ∆GA'G'
Diện tích mặt cầu ngoại tiếp khối chóp là:
Bài 3: Cho hình chóp S.ABCD có đáy ABCD là hình thoi cạnh a, ∠(BAD) =60º. Hình chiếu vuông góc của S trên mặt phẳng (ABCD) là trung điểm M của cạnh AB. Biết SD = a√3 Tính thể tích V của khối cầu ngoại tiếp hình chóp S.ABD.
Lời giải:
Đáp án : D
Giải thích :
ABCD là hình thoi cạnh a, ∠(BAD) =60º
⇒ ∆ABD đều cạnh a
Gọi P là trung điểm SA, Q là tâm đường tròn ngoại tiếp tam giác SAB
(Q ∈ SM)
Ta có
Gọi d1 là trục của đường tròn ngoại tiếp tam giác đều ABD (T là tâm của tam giác đều ABD)
d2 là đường thẳng đi qua Q và vuông góc (SAB)
O = d1 ∩ d2
MQOT là hình chữ nhật,
Bán kính mặt cầu
Thể tích khối cầu là:
Bài 4: Cho hình chóp S.ABCD có đáy là hình vuông cạnh a, SAD là tam giác đều và nằm trong mặt phẳng vuông góc với đáy. Gọi M và N lần lượt là trung điểm của BC và CD. Tính bán kính R của khối cầu ngoại tiếp hình chóp S.CMN.
Lời giải:
Đáp án : B
Giải thích :
Gọi H là trung điểm của AD suy ra SH ⊥ (ABCD).
Dễ thấy tâm I của mặt cầu nằm trên trục d đi qua trung điểm O của MN và vuông góc với mặt phẳng (ABCD), I và S cùng phía so với mp (ABCD).
Ta có:
∆HNO vuông tại N có:
Ta có: OC2+OI2=R2=IK2+KS2
Đặt OI=x thì ta có:
Bài 5: Cho hình chóp S.ABC có đáy ABC là tam giác đều cạnh a, hình chiếu vuông góc của đỉnh S trên mặt phẳng (ABC) là trung điểm H của cạnh BC. Góc giữa đường thẳng SA và mặt phẳng (ABC) bằng 60°. Gọi G là trọng tâm tam giác SAC, R là bán kính mặt cầu có tâm G và tiếp xúc với mặt phẳng (ABC). Đẳng thức nào sau đây sai?
Lời giải:
Đáp án : D
Giải thích :
Ta có
Lại có
Bài 6: Cho hình lập phương có cạnh bằng a. Gọi R1 và R2 lần lượt là bán kính mặt cầu nội tiếp và ngoại tiếp hình lập phương. Tính tỉ số R1/R2.
Lời giải:
Đáp án : A
Giải thích :
R1 là bán kính mặt cầu nội tiếp hình lập phương cạnh a
⇒ R1=a/2
R2 là bán kính mặt cầu ngoại tiếp hình lập phương cạnh a
⇒ R2=(a√3)/2
Khi đó:
Bài 7: Cho khối chóp S.ABC có đáy ABC vuông tại A, AB = a, AC = 2a, SA = SB = SC và mặt bên (SAB) hợp với đáy (ABC) một góc 60º. Diện tích mặt cầu ngoại tiếp hình chóp S.ABC là:
Lời giải:
Đáp án : B
Giải thích :
Ta có SA = SB = SC nên S nằm trên trục đường tròn ngoại tiếp tam giác ABC.
Gọi O là trung điểm của BC.
Vì ∆ABC vuông tại A nên O là tâm đường tròn ngoại tiếp tam giác ABC.
Do đó SO chính là trục của đường tròn ngoại tiếp tam giác ABC hay SO ⊥ (ABC)
Gọi K là trung điểm của AB. Do ∆SAB cân tại S nên SK ⊥ AB
KO là đường trung bình của ∆ABC nên KO // AC
Mà AC ⊥ AB nên KO ⊥ AB
Theo đề bài, góc giữa (SAB) và (ABC) bằng 60º
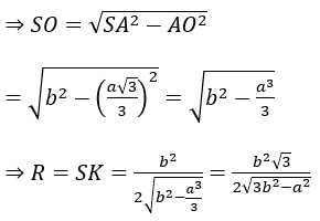
⇒ ∠(SKO) = 60º
Ta có: OK=AC/2=a
Trong ∆SKO vuông tại O có:
SO=KO.tan∠(SKO) =a.tan60º=a√3
Trong mặt phẳng (SBC), đường trung trực của SC cắt SO tại J
⇒ J là tâm của đường tròn ngoại tiếp ∆SBC
Mặt khác:
⇒ JS = JA = JB = JC
⇒ J là tâm mặt cầu ngoại tiếp hình chóp S.ABC
Lúc đó, bán kính mặt cầu ngoại tiếp hình chóp là R = SJ
Gọi I là trung điểm của SC
Ta có: ∆SIJ ~ ∆SOC
Với:
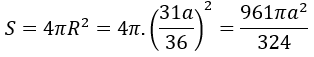
Vậy diện tích mặt cầu ngoại tiếp hình chóp S.ABC là:
(199k) Xem Khóa học Toán 12 KNTTXem Khóa học Toán 12 CDXem Khóa học Toán 12 CTST
Xem thêm các dạng bài tập Toán lớp 12 ôn thi Tốt nghiệp có lời giải hay khác:
- Lý thuyết Mặt cầu
- Lý thuyết Mặt cầu ngoại tiếp, mặt cầu nội tiếp
- Dạng 1: Bài tập cơ bản về mặt cầu
- Dạng 2: Tìm tâm, bán kính mặt cầu ngoại tiếp
Đã có app VietJack trên điện thoại, giải bài tập SGK, SBT Soạn văn, Văn mẫu, Thi online, Bài giảng....miễn phí. Tải ngay ứng dụng trên Android và iOS.
Theo dõi chúng tôi miễn phí trên mạng xã hội facebook và youtube:Nếu thấy hay, hãy động viên và chia sẻ nhé! Các bình luận không phù hợp với nội quy bình luận trang web sẽ bị cấm bình luận vĩnh viễn.
- Giải Tiếng Anh 12 Global Success
- Giải sgk Tiếng Anh 12 Smart World
- Giải sgk Tiếng Anh 12 Friends Global
- Lớp 12 Kết nối tri thức
- Soạn văn 12 (hay nhất) - KNTT
- Soạn văn 12 (ngắn nhất) - KNTT
- Giải sgk Toán 12 - KNTT
- Giải sgk Vật Lí 12 - KNTT
- Giải sgk Hóa học 12 - KNTT
- Giải sgk Sinh học 12 - KNTT
- Giải sgk Lịch Sử 12 - KNTT
- Giải sgk Địa Lí 12 - KNTT
- Giải sgk Giáo dục KTPL 12 - KNTT
- Giải sgk Tin học 12 - KNTT
- Giải sgk Công nghệ 12 - KNTT
- Giải sgk Hoạt động trải nghiệm 12 - KNTT
- Giải sgk Giáo dục quốc phòng 12 - KNTT
- Giải sgk Âm nhạc 12 - KNTT
- Giải sgk Mĩ thuật 12 - KNTT
- Lớp 12 Chân trời sáng tạo
- Soạn văn 12 (hay nhất) - CTST
- Soạn văn 12 (ngắn nhất) - CTST
- Giải sgk Toán 12 - CTST
- Giải sgk Vật Lí 12 - CTST
- Giải sgk Hóa học 12 - CTST
- Giải sgk Sinh học 12 - CTST
- Giải sgk Lịch Sử 12 - CTST
- Giải sgk Địa Lí 12 - CTST
- Giải sgk Giáo dục KTPL 12 - CTST
- Giải sgk Tin học 12 - CTST
- Giải sgk Hoạt động trải nghiệm 12 - CTST
- Giải sgk Âm nhạc 12 - CTST
- Lớp 12 Cánh diều
- Soạn văn 12 Cánh diều (hay nhất)
- Soạn văn 12 Cánh diều (ngắn nhất)
- Giải sgk Toán 12 Cánh diều
- Giải sgk Vật Lí 12 - Cánh diều
- Giải sgk Hóa học 12 - Cánh diều
- Giải sgk Sinh học 12 - Cánh diều
- Giải sgk Lịch Sử 12 - Cánh diều
- Giải sgk Địa Lí 12 - Cánh diều
- Giải sgk Giáo dục KTPL 12 - Cánh diều
- Giải sgk Tin học 12 - Cánh diều
- Giải sgk Công nghệ 12 - Cánh diều
- Giải sgk Hoạt động trải nghiệm 12 - Cánh diều
- Giải sgk Giáo dục quốc phòng 12 - Cánh diều
- Giải sgk Âm nhạc 12 - Cánh diều


Giải bài tập SGK & SBT
Tài liệu giáo viên
Sách
Khóa học
Thi online
Hỏi đáp

