Bài tập trắc nghiệm tìm nguyên hàm của hàm số cực hay
Với Bài tập trắc nghiệm tìm nguyên hàm của hàm số có lời giải chi tiết sẽ giúp học sinh ôn tập, biết cách làm Bài tập trắc nghiệm tìm nguyên hàm của hàm số.
Bài tập trắc nghiệm tìm nguyên hàm của hàm số cực hay
(199k) Học Toán 12 KNTTHọc Toán 12 CDHọc Toán 12 CTST
Bài giảng: Cách làm bài tập nguyên hàm và phương pháp tìm nguyên hàm của hàm số cực nhanh - Cô Nguyễn Phương Anh (Giáo viên VietJack)
Bài 1: Nguyên hàm của hàm số f(x) = x3 + 3x + 2 là hàm số nào trong các hàm số sau?
Lời giải:
Đáp án : A
Giải thích :
Sử dụng bảng nguyên hàm nên
Bài 2: Hàm số F(x) = 5x3+4x2 - 7x + 120 + C là họ nguyên hàm của hàm số nào sau đây?
Lời giải:
Đáp án : D
Giải thích :
Lấy đạo hàm của hàm số F(x) ta được kết quả
Bài 3: Họ nguyên hàm của hàm số sau là
Lời giải:
Đáp án : C
Giải thích :
Sử dụng bảng nguyên hàm nên
Bài 4: Tìm nguyên hàm của hàm số f(x) = (x+1)(x+2)
Lời giải:
Đáp án : A
Giải thích :
Ta có f(x) = (x+1)(x+2) = x2 + 3x + 2. Sử dụng bảng nguyên hàm
Bài 5: Nguyên hàm F(x) của hàm số sau là:
Lời giải:
Đáp án : B
Giải thích :
Sử dụng bảng nguyên hàm nên
Bài 6: Tìm nguyên hàm của hàm số f(x) = sin2x
Lời giải:
Đáp án : C
Giải thích :
Bài 7: Tìm nguyên hàm của hàm số sau
Lời giải:
Đáp án : D
Giải thích :
Bài 8: Tìm nguyên hàm của hàm số sau
Lời giải:
Đáp án : A
Giải thích :
Bài 9: Tìm nguyên hàm của hàm số sau
Lời giải:
Đáp án : C
Giải thích :
Bài 10: Tìm nguyên hàm của hàm số f(x) = ex - e-x.
Lời giải:
Đáp án : A
Bài 11: Tìm nguyên hàm của hàm số f(x)=2x.3-2x.
Lời giải:
Đáp án : B
Giải thích :
Bài 12: Họ nguyên hàm của hàm số f(x) = ex (3+e-x) là:
Lời giải:
Đáp án : C
Giải thích :
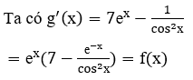
Bài 13: Hàm số F(x) = 7ex - tanx là một nguyên hàm của hàm số nào sau đây?
Lời giải:
Đáp án : D
Giải thích :
Bài 14: Tìm nguyên hàm của hàm số sau
Lời giải:
Đáp án : D
Giải thích :
Bài 15: Tìm nguyên hàm của hàm số sau
Lời giải:
Đáp án : A
Giải thích :
Bài 16: Tìm nguyên hàm của hàm số sau
Lời giải:
Đáp án : B
Giải thích :
Bài 17: Tìm nguyên hàm của hàm số sau
Lời giải:
Đáp án : C
Giải thích :
Bài 18: Tìm nguyên hàm của hàm số sau
Lời giải:
Đáp án : D
Giải thích :
Bài 19: Tìm nguyên hàm của hàm số sau
Lời giải:
Đáp án : A
Giải thích :
Bài 20: Tìm nguyên hàm của hàm số sau
Lời giải:
Đáp án : A
Giải thích :
(199k) Học Toán 12 KNTTHọc Toán 12 CDHọc Toán 12 CTST
Xem thêm các dạng bài tập Toán lớp 12 có trong đề thi Tốt nghiệp THPT khác:
- Dạng 1: Tìm nguyên hàm của hàm số
- Dạng 2: Tìm nguyên hàm bằng phương pháp đổi biến số
- Trắc nghiệm tìm nguyên hàm bằng phương pháp đổi biến số
- Dạng 3: Tìm nguyên hàm bằng phương pháp từng phần
- Trắc nghiệm tìm nguyên hàm bằng phương pháp từng phần
- Dạng 4: Tìm nguyên hàm của hàm số hữu tỉ
- Trắc nghiệm tìm nguyên hàm của hàm số hữu tỉ
- Dạng 5: Tìm nguyên hàm thỏa mãn điều kiện cho trước
- Trắc nghiệm tìm nguyên hàm thỏa mãn điều kiện cho trước
Đã có app VietJack trên điện thoại, giải bài tập SGK, SBT Soạn văn, Văn mẫu, Thi online, Bài giảng....miễn phí. Tải ngay ứng dụng trên Android và iOS.
Theo dõi chúng tôi miễn phí trên mạng xã hội facebook và youtube:Nếu thấy hay, hãy động viên và chia sẻ nhé! Các bình luận không phù hợp với nội quy bình luận trang web sẽ bị cấm bình luận vĩnh viễn.
- Giải Tiếng Anh 12 Global Success
- Giải sgk Tiếng Anh 12 Smart World
- Giải sgk Tiếng Anh 12 Friends Global
- Lớp 12 Kết nối tri thức
- Soạn văn 12 (hay nhất) - KNTT
- Soạn văn 12 (ngắn nhất) - KNTT
- Giải sgk Toán 12 - KNTT
- Giải sgk Vật Lí 12 - KNTT
- Giải sgk Hóa học 12 - KNTT
- Giải sgk Sinh học 12 - KNTT
- Giải sgk Lịch Sử 12 - KNTT
- Giải sgk Địa Lí 12 - KNTT
- Giải sgk Giáo dục KTPL 12 - KNTT
- Giải sgk Tin học 12 - KNTT
- Giải sgk Công nghệ 12 - KNTT
- Giải sgk Hoạt động trải nghiệm 12 - KNTT
- Giải sgk Giáo dục quốc phòng 12 - KNTT
- Giải sgk Âm nhạc 12 - KNTT
- Giải sgk Mĩ thuật 12 - KNTT
- Lớp 12 Chân trời sáng tạo
- Soạn văn 12 (hay nhất) - CTST
- Soạn văn 12 (ngắn nhất) - CTST
- Giải sgk Toán 12 - CTST
- Giải sgk Vật Lí 12 - CTST
- Giải sgk Hóa học 12 - CTST
- Giải sgk Sinh học 12 - CTST
- Giải sgk Lịch Sử 12 - CTST
- Giải sgk Địa Lí 12 - CTST
- Giải sgk Giáo dục KTPL 12 - CTST
- Giải sgk Tin học 12 - CTST
- Giải sgk Hoạt động trải nghiệm 12 - CTST
- Giải sgk Âm nhạc 12 - CTST
- Lớp 12 Cánh diều
- Soạn văn 12 Cánh diều (hay nhất)
- Soạn văn 12 Cánh diều (ngắn nhất)
- Giải sgk Toán 12 Cánh diều
- Giải sgk Vật Lí 12 - Cánh diều
- Giải sgk Hóa học 12 - Cánh diều
- Giải sgk Sinh học 12 - Cánh diều
- Giải sgk Lịch Sử 12 - Cánh diều
- Giải sgk Địa Lí 12 - Cánh diều
- Giải sgk Giáo dục KTPL 12 - Cánh diều
- Giải sgk Tin học 12 - Cánh diều
- Giải sgk Công nghệ 12 - Cánh diều
- Giải sgk Hoạt động trải nghiệm 12 - Cánh diều
- Giải sgk Giáo dục quốc phòng 12 - Cánh diều
- Giải sgk Âm nhạc 12 - Cánh diều


Giải bài tập SGK & SBT
Tài liệu giáo viên
Sách
Khóa học
Thi online
Hỏi đáp

