Viết phương trình mặt phẳng chứa đường thẳng và tạo với mặt phẳng một góc
Bài viết Viết phương trình mặt phẳng chứa đường thẳng và tạo với mặt phẳng một góc với phương pháp giải chi tiết giúp học sinh ôn tập, biết cách làm bài tập Viết phương trình mặt phẳng chứa đường thẳng và tạo với mặt phẳng một góc.
Viết phương trình mặt phẳng chứa đường thẳng và tạo với mặt phẳng một góc
(199k) Xem Khóa học Toán 12 KNTTXem Khóa học Toán 12 CDXem Khóa học Toán 12 CTST
Bài giảng: Cách làm bài tập viết phương trình mặt phẳng cơ bản - Cô Nguyễn Phương Anh (Giáo viên VietJack)
Phương pháp giải
1. Tìm Vecto pháp tuyến của (Q) là nQ→, vecto chỉ phương của (d) là u→
2. Gọi vecto pháp tuyến của (P) là nP→
3. Dùng phương pháp vô định giải hệ
4, Áp dụng cách viết phương trình đi qua một điểm và có 1 vecto pháp tuyến.
Ví dụ minh họa
Bài 1: Trong không gian hệ tọa độ Oxyz, gọi (P) là mặt phẳng chứa trục Oy và tạo với mặt phẳng (Q): y +z +1 =0 góc 600. Phương trình mặt phẳng (P) là:
Lời giải:
Giả sử phương trình mặt phẳng (P) có dạng: Ax +By +Cz +D =0
(A2 +B2 +C2 ≠0).
Đường thẳng Oy đi qua điểm O(0; 0; 0) và có vecto chỉ phương u→(0;1;0)
Mặt phẳng (Q) có vecto pháp tuyến nQ→=(0;1;1)
Mặt phẳng (P) chứa đường thẳng (d) nên u→ .nQ→=0
⇔ B=0
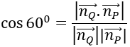
Lại có mặt phẳng (P) tạo với mặt phẳng (Q) một góc bằng 600 nên ta có:
⇔ 1/2=
⇔ 1/2=
⇔ A=±C
Chọn C=1, ta có A=±1
Khi đó, phương trình mặt phẳng (P) đi qua O(0; 0; 0) và có vecto pháp tuyến nP→(A;B;C) là:
x +z=0
-x +z=0
Bài 2: Trong không gian hệ tọa độ Oxyz, cho mặt phẳng (Q): x+2y+z-3=0 và đường thẳng Viết phương trình mặt phẳng (P) chứa (d) và hợp với mặt phẳng (Q) một góc α thỏa mãn cosα=√(3/6)
Lời giải:
Giả sử phương trình mặt phẳng (P) có dạng: Ax +By +Cz +D =0
(A2 +B2 +C2 ≠0).
Đường thẳng d đi qua điểm M(-1; 2; -3) và có vecto chỉ phương u→(1;-1;-1)
Mặt phẳng (Q) có vecto pháp tuyến nQ→=(1;2;1)
Mặt phẳng (P) chứa đường thẳng (d) nên u→ .nQ→=0
⇔ A -B -C =0 ⇔ C =A -B
Lại có mặt phẳng (P) tạo với mặt phẳng (Q) một góc góc α thỏa mãn cosα=√3/6
⇔ √3/6=
⇔ √3/6=
Với A = 0, chọn B = 1 ⇒ C=-1
Với A =4/3 B, chọn B=3 ⇒ A=4; C=1
Khi đó, phương trình mặt phẳng (P) đi qua M(-1; 2; -3) và có vecto pháp tuyến nP→(A;B;C) là:
y -z -5 =0
4x +3y +z +1 =0
Bài 3: Trong không gian hệ tọa độ Oxyz, cho mặt phẳng (Q) và đường thẳng lần lượt có phương trình: (Q): x+2y-z+5=0 và . Viết phương trình mặt phẳng (P) chứa đường thẳng d và tạo với mặt phẳng (Q) một góc bằng 600
Lời giải:
Giả sử phương trình mặt phẳng (P) có dạng: Ax +By +Cz +D =0
(A2 +B2 +C2 ≠0).
Đường thẳng (d) đi qua điểm M(-1; -1; 3) và có vecto chỉ phương u→(2;1;1)
Mặt phẳng (Q) có vecto pháp tuyến nQ→=(1;2; -1)
Mặt phẳng (P) chứa đường thẳng (d) nên u→ .nP→=0
⇔ 2A +B +C =0 ⇔ C= -2A -B
Lại có mặt phẳng (P) tạo với mặt phẳng (Q) một góc bằng 600 nên ta có:
⇔ 1/2=
⇔ 1/2=
⇔ A=(4±2√3)B
Chọn B=1, ta có A=(4±2√3) ⇒ C= -9±4√3
Khi đó, phương trình mặt phẳng (P) đi qua M(-1; -1; 3) và có vecto pháp tuyến nP→(A;B;C) là:
(4 -2√3)x +y +(-9 +4√3)z +32 -14√3 =0
(4 +2√3)x +y +(-9 -4√3)z +32 +14√3 =0
Bài 4: Trong không gian hệ tọa độ Oxyz, cho đường thẳng d có phương trình và mặt phẳng (Q): x+2y+z-5=0. Viết phương trình mặt phẳng (P) chứa (d) và hợp với (Q) một góc 300.
Lời giải:
Giả sử phương trình mặt phẳng (P) có dạng: Ax +By +Cz +D =0
(A2 +B2 +C2 ≠0).
Đường thẳng (d) đi qua điểm M(0; 2; 0) và có vecto chỉ phương u→(1; -1;1)
Mặt phẳng (Q) có vecto pháp tuyến nQ→=(1;2; 1)
Mặt phẳng (P) chứa đường thẳng (d) nên u→ .nP→=0
⇒ A -B +C =0 ⇒ C =B -A
Lại có mặt phẳng (P) tạo với mặt phẳng (Q) một góc bằng 300 nên ta có:
⇒ √3/2=
⇒ √3/2=
Với A=0, chọn B = 1; C = 1
Với A=B, chọn A =B =1; C = 0
Khi đó, phương trình mặt phẳng (P) đi qua M(0; 2; 0) và có vecto pháp tuyến nP→(A;B;C) là:
y +z -2 =0
x +y -2 =0
Bài giảng: Cách viết phương trình mặt phẳng nâng cao - Cô Nguyễn Phương Anh (Giáo viên VietJack)
Đã có app VietJack trên điện thoại, giải bài tập SGK, SBT Soạn văn, Văn mẫu, Thi online, Bài giảng....miễn phí. Tải ngay ứng dụng trên Android và iOS.
Theo dõi chúng tôi miễn phí trên mạng xã hội facebook và youtube:Nếu thấy hay, hãy động viên và chia sẻ nhé! Các bình luận không phù hợp với nội quy bình luận trang web sẽ bị cấm bình luận vĩnh viễn.
- Giải Tiếng Anh 12 Global Success
- Giải sgk Tiếng Anh 12 Smart World
- Giải sgk Tiếng Anh 12 Friends Global
- Lớp 12 Kết nối tri thức
- Soạn văn 12 (hay nhất) - KNTT
- Soạn văn 12 (ngắn nhất) - KNTT
- Giải sgk Toán 12 - KNTT
- Giải sgk Vật Lí 12 - KNTT
- Giải sgk Hóa học 12 - KNTT
- Giải sgk Sinh học 12 - KNTT
- Giải sgk Lịch Sử 12 - KNTT
- Giải sgk Địa Lí 12 - KNTT
- Giải sgk Giáo dục KTPL 12 - KNTT
- Giải sgk Tin học 12 - KNTT
- Giải sgk Công nghệ 12 - KNTT
- Giải sgk Hoạt động trải nghiệm 12 - KNTT
- Giải sgk Giáo dục quốc phòng 12 - KNTT
- Giải sgk Âm nhạc 12 - KNTT
- Giải sgk Mĩ thuật 12 - KNTT
- Lớp 12 Chân trời sáng tạo
- Soạn văn 12 (hay nhất) - CTST
- Soạn văn 12 (ngắn nhất) - CTST
- Giải sgk Toán 12 - CTST
- Giải sgk Vật Lí 12 - CTST
- Giải sgk Hóa học 12 - CTST
- Giải sgk Sinh học 12 - CTST
- Giải sgk Lịch Sử 12 - CTST
- Giải sgk Địa Lí 12 - CTST
- Giải sgk Giáo dục KTPL 12 - CTST
- Giải sgk Tin học 12 - CTST
- Giải sgk Hoạt động trải nghiệm 12 - CTST
- Giải sgk Âm nhạc 12 - CTST
- Lớp 12 Cánh diều
- Soạn văn 12 Cánh diều (hay nhất)
- Soạn văn 12 Cánh diều (ngắn nhất)
- Giải sgk Toán 12 Cánh diều
- Giải sgk Vật Lí 12 - Cánh diều
- Giải sgk Hóa học 12 - Cánh diều
- Giải sgk Sinh học 12 - Cánh diều
- Giải sgk Lịch Sử 12 - Cánh diều
- Giải sgk Địa Lí 12 - Cánh diều
- Giải sgk Giáo dục KTPL 12 - Cánh diều
- Giải sgk Tin học 12 - Cánh diều
- Giải sgk Công nghệ 12 - Cánh diều
- Giải sgk Hoạt động trải nghiệm 12 - Cánh diều
- Giải sgk Giáo dục quốc phòng 12 - Cánh diều
- Giải sgk Âm nhạc 12 - Cánh diều


Giải bài tập SGK & SBT
Tài liệu giáo viên
Sách
Khóa học
Thi online
Hỏi đáp

