22+ Bài tập tổng hợp Số hữu tỉ; Số thực (có lời giải)
22+ Bài tập tổng hợp Số hữu tỉ; Số thực (có lời giải)
(199k) Xem Khóa học Toán 7 KNTTXem Khóa học Toán 7 CTSTXem Khóa học Toán 7 CD
Bài 1: Cho |x| = 4 thì:
A. x = 4
B. x = −4
C. x = 4 hoặc x = −4
D. x = 0
Lời giải:
|x| = 4 suy ra x = 4 hoặc x = −4
Đáp án cần chọn là: C
Bài 2: Viết số thập phân hữu hạn 0,245 dưới dạng phân số tối giản:
Lời giải:
Ta có:
Đáp án cần chọn là: D
Bài 3: Cho đẳng thức 8.9 = 6.12 ta lập được tỉ lệ thức là
Lời giải:
Đáp án cần chọn là: B
Bài 4: √49 bằng
A. 49
B. - 49
C. 7 và -7
D. 7
Lời giải:
Đáp án cần chọn là: D
Bài 5: Làm tròn số 448,578 đến chữ số thập phân thứ nhất
A. 448,6
B. 448
C. 450
D. 448,58
Lời giải:
Ta thấy chữ số đầu tiên bị bỏ đi là 7 > 5 nên số 448,578 được tròn đến chữ số thập phân thứ nhất là 448,6
Đáp án cần chọn là: A
Bài 6: Tìm x biết x : (-3)4 = (-3)2. Kết quả x bằng:
Lời giải:
Đáp án cần chọn là: A
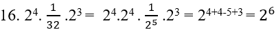
Bài 7: Thực hiện phép tính ta được kết quả là:
Lời giải:
Ta có
Đáp án cần chọn là: A
Bài 8: Chọn √m = 5 thì m bằng:
A. 0
B. 5
C. 10
D. 25
Lời giải:
√m = 5 ⇔ (√m)2 = 52 ⇔ m = 25
Đáp án cần chọn là: D
Bài 9: . Kết quả là:
Lời giải:
Ta có:
Đáp án cần chọn là: C
Bài 10: Cho thì giá trị của x là:
A. 25
B. 21
C. 30
D. 20
Lời giải:
Đáp án cần chọn là: B
Bài 11: Kết quả của phép tính là:
Lời giải:
Đáp án cần chọn là: B
Bài 12: Gía trị của x trong phép tính là:
Lời giải:
Đáp án cần chọn là: B
Bài 13: Tìm x biết:
Lời giải:
Đáp án cần chọn là: D
Bài 14: Có bao nhiêu giá trị của x thỏa mãn
A. 3
B. 2
C. 1
D. -5/6
Lời giải:
Từ đó có một giá trị của x thỏa mãn đề bài
Đáp án cần chọn là: C
Bài 15: Gía trị nhỏ nhất của x thỏa mãn
Lời giải:
Hay giá trị nhỏ nhất của x thỏa mãn đề bài là -1
Đáp án cần chọn là: B
Bài 16: Cho và
. Chọn câu sai.
Lời giải:
B.C = 0 nên A, B, C đúng, D sai
Đáp án cần chọn là: D
Bài 17: Biết x1 là giá trị thỏa mãn 2x-2 - 3.2x = - 88 và x2 là giá trị thỏa mãn . Chọn câu đúng
A. x1 + x2 = 13
B. x1 + x2 = -23
C. x1 + x2 = 22
D. x1 + x2 = 23
Lời giải:
Vậy x2 = 19
Từ đó x1 + x2 = 5 + 18 = 23
Đáp án cần chọn là: D
Bài 18: Chọn câu đúng
Lời giải:
Đáp án cần chọn là: C
Bài 19: Cho và -3x + 10y - 2z = 236. Tính x + y + z
A. -26
B. 26
C. -22
D. 6
Lời giải:
và -3x + 10y - 2z = 236
Áp dụng tính chất của dãy tỉ số bằng nhau ta có:
và -3x + 10y - 2z = 236
Do đó:
và -3x + 10y - 2z = 236
Từ đó tổng x + y + z = -16 + 14 - 24 = -26
Đáp án cần chọn là: A
Câu 20: Nhà trường đề ra chỉ tiêu phấn đấu của học kì I đối với học sinh khối 7 là số học sinh giỏi, khá , trung bình , yếu của khối tỉ lệ với 9;11;13;3 và không có học sinh kém. Biết rằng số học sinh khá nhiều hơn số học sinh giỏi là 20 em. Chọn câu sai. Như vậy, theo tiêu chuẩn nhà trường thì:
A. Số học sinh giỏi là 90 học sinh
B. Số học sinh khá là 110 học sinh
C. Số học sinh trung bình là 120 học sinh
D. Số học sinh yếu là 30 học sinh
Lời giải:
Gọi số học sinh giỏi, khá , trung bình, yếu của khối là a , b ,c , d (học sinh a, b, c, d ∈ N*)
Theo đề bài ta có: và b - a= 20
Áp dụng tính chất của dãy tỉ số bằng nhau ta có:
và -3x + 10y - 2z = 236
Vậy
Số học sinh giỏi của khối là 90 học sinh
Số học sinh khá của khối là 110 học sinh
Số học sinh trung bình của khối là 130 học sinh
Số học sinh yếu của khối là 30 học sinh
Đáp án cần chọn là: C
Câu 21: Trên một công trường ba đội lao động có tất cả 196 người . Nếu chuyển 1/3 số người của đội I, 1/4 số người đội II và 1/5 số người đội III đi làm việc khác thì số ngời còn lại của ba đội bằng nhau . Số người ban đầu của đội I; đội II; đội III lần lượt là:
A. 70 ; 64 ; 62
B. 64 ; 70 ; 60
C. 64 ; 62 ; 70
D. 72 ; 64 ; 60
Lời giải:
Gọi x ; y ; z lần lượt là số người ban đầu của đội I ; đội II; đội II (x; y; z ∈ N*)
Nếu chuyển 1/3 số người của đội I đi làm việc khác thì đội I còn lại (người)
Nếu chuyển 1/4 số người của đội II đi làm việc khác thì đội II còn lại (người)
Nếu chuyển 1/5 số người của đội III đi làm việc khác thì đội III còn lại (người)
Vì số người còn lại của ba đội sau khi chuyển là bằng nhau nên:
và -3x + 10y - 2z = 236
Lại có tổng số người ban đầu của cả ba đội là 196 người nên x + y + z = 196
Ta có:
và -3x + 10y - 2z = 236
Áp dụng tính chất dãy tỉ số bằng nhau ta có
và -3x + 10y - 2z = 236
Suy ra x = 18.4 = 72 ; y = 4.16 = 64 ; z = 4.15 = 60
Vậy số người ban đầu của đội I; đội II; đội III lần lượt là 72 người; 64 người và 60 người.
Đáp án cần chọn là: D
Câu 22: Tìm số tự nhiên x,y thỏa mãn 2x + 1 . 5y = 20x. Chọn câu đúng
A. x + y = 1
B. x . y = 2
C. x - y = 0
D. x = 2y
Lời giải:
và -3x + 10y - 2z = 236
Điều này chỉ xảy ra khi
và -3x + 10y - 2z = 236
Vậy x = 1 , y = 1 nên x - y = 0
Đáp án cần chọn là: C
(199k) Xem Khóa học Toán 7 KNTTXem Khóa học Toán 7 CTSTXem Khóa học Toán 7 CD
Xem thêm các bài tập trắc nghiệm Toán lớp 7 chọn lọc, có đáp án chi tiết hay khác:
- Trắc nghiệm Tính chất của dãy tỉ số bằng nhau
- Trắc nghiệm Số thập phân hữu hạn. Số thập phân vô hạn tuần hoàn
- Trắc nghiệm Làm tròn số
- Trắc nghiệm Số vô tỉ. Khái niệm về căn bậc hai
- Trắc nghiệm Số thực
Lời giải bài tập lớp 7 sách mới:
- Giải bài tập Lớp 7 Kết nối tri thức
- Giải bài tập Lớp 7 Chân trời sáng tạo
- Giải bài tập Lớp 7 Cánh diều
Tủ sách VIETJACK shopee lớp 6-8 (2025):
Đã có app VietJack trên điện thoại, giải bài tập SGK, SBT Soạn văn, Văn mẫu, Thi online, Bài giảng....miễn phí. Tải ngay ứng dụng trên Android và iOS.
Theo dõi chúng tôi miễn phí trên mạng xã hội facebook và youtube:Loạt bài Lý thuyết - Bài tập Toán lớp 7 có đầy đủ Lý thuyết và các dạng bài có lời giải chi tiết được biên soạn bám sát nội dung chương trình sgk Đại số 7 và Hình học 7.
Nếu thấy hay, hãy động viên và chia sẻ nhé! Các bình luận không phù hợp với nội quy bình luận trang web sẽ bị cấm bình luận vĩnh viễn.
- Giải Tiếng Anh 7 Global Success
- Giải Tiếng Anh 7 Friends plus
- Giải sgk Tiếng Anh 7 Smart World
- Giải Tiếng Anh 7 Explore English
- Lớp 7 - Kết nối tri thức
- Soạn văn 7 (hay nhất) - KNTT
- Soạn văn 7 (ngắn nhất) - KNTT
- Giải sgk Toán 7 - KNTT
- Giải sgk Khoa học tự nhiên 7 - KNTT
- Giải sgk Lịch Sử 7 - KNTT
- Giải sgk Địa Lí 7 - KNTT
- Giải sgk Giáo dục công dân 7 - KNTT
- Giải sgk Tin học 7 - KNTT
- Giải sgk Công nghệ 7 - KNTT
- Giải sgk Hoạt động trải nghiệm 7 - KNTT
- Giải sgk Âm nhạc 7 - KNTT
- Lớp 7 - Chân trời sáng tạo
- Soạn văn 7 (hay nhất) - CTST
- Soạn văn 7 (ngắn nhất) - CTST
- Giải sgk Toán 7 - CTST
- Giải sgk Khoa học tự nhiên 7 - CTST
- Giải sgk Lịch Sử 7 - CTST
- Giải sgk Địa Lí 7 - CTST
- Giải sgk Giáo dục công dân 7 - CTST
- Giải sgk Công nghệ 7 - CTST
- Giải sgk Tin học 7 - CTST
- Giải sgk Hoạt động trải nghiệm 7 - CTST
- Giải sgk Âm nhạc 7 - CTST
- Lớp 7 - Cánh diều
- Soạn văn 7 (hay nhất) - Cánh diều
- Soạn văn 7 (ngắn nhất) - Cánh diều
- Giải sgk Toán 7 - Cánh diều
- Giải sgk Khoa học tự nhiên 7 - Cánh diều
- Giải sgk Lịch Sử 7 - Cánh diều
- Giải sgk Địa Lí 7 - Cánh diều
- Giải sgk Giáo dục công dân 7 - Cánh diều
- Giải sgk Công nghệ 7 - Cánh diều
- Giải sgk Tin học 7 - Cánh diều
- Giải sgk Hoạt động trải nghiệm 7 - Cánh diều
- Giải sgk Âm nhạc 7 - Cánh diều


Giải bài tập SGK & SBT
Tài liệu giáo viên
Sách
Khóa học
Thi online
Hỏi đáp

