trac-nghiem-tinh-chat-cua-day-ti-so-bang-nhau.jsp lớp 7 (có đáp án)
trac-nghiem-tinh-chat-cua-day-ti-so-bang-nhau.jsp lớp 7 (có đáp án)
(199k) Học Toán 7 KNTTHọc Toán 7 CTSTHọc Toán 7 CD
Câu 1: Chọn câu đúng. Với các điều kiện các phân thức có nghĩa thì
Lời giải:
Đáp án cần chọn là: A
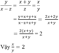
Câu 2: Chọn câu đúng. Với các điều kiện các phân thức có nghĩa thì từ ta có:
Lời giải:
Theo tính chất của dãy tỉ số bằng nhau ta có:
Đáp án cần chọn là: A
Câu 3: Chọn câu sai. Với các điều kiện các phân thức có nghĩa thì
Lời giải:
Ta có: nên D sai
Đáp án cần chọn là: D
Câu 4: Chọn câu sai. Với các điều kiện các phân thức có nghĩa thì ta có:
Lời giải:
Theo tính chất của dãy tỉ số bằng nhau ta có:
Đáp án cần chọn là: D
Câu 5:Tìm hai số x; y biết và x + y = -32
A. x = −20 ; y = −12
B. x = −12 ; y = 20
C. x = −12 ; y = −20
D. x = 12 ; y = −20
Lời giải:
Áp dụng dãy tỉ số bằng nhau ta có:
Vậy x = −12 ; y = −20
Đáp án cần chọn là: C
Câu 6: Tìm hai số x ; y biết và x + y = -50
A. x = −150 ; y = 100
B. x = 100 ; y = 150
C. x = 100 ; y = −150
D. x = −100 ; y = 150
Lời giải:
Áp dụng dãy tỉ số bằng nhau ta có:
Vậy x = 100 ; y = −150
Đáp án cần chọn là: C
Câu 7: Biết và x + y = 60. Hai số x ; y lần lượt là:
A. 27 ; 33
B. 33 ; 27
C. 27 ; 44
D. 27 ; 34
Lời giải:
Đáp án cần chọn là: A
Câu 8: Biết (y ≠ 0) và x + y = 39. Hai số x ; y lần lượt là:
A. 21 ; 18
B. 28 ; 24
C. 18 ; 21
D. 24 ; 28
Lời giải:
Đáp án cần chọn là: A
Câu 9: Cho 7x = 4y và y - x = 24. Tìm x; y
A. y = 4 ; x = 7
B. x = 32 ; y = 56
C. x = 56 ; y = 32
D. x = 4 ; y = 7
Lời giải:
Đáp án cần chọn là: B
Câu 10: Cho 5x = 3y và y - x = 30. Tìm x ; y
A. y = 5 ; x = 3
B. x = 45 ; y = 75
C. x = 75 ; y = 45
D. x = 5 ; y = 3
Lời giải:
Đáp án cần chọn là: B
Câu 11: Chia số 48 thành bốn phần tỉ lệ với các số 3 ; 5 ; 7 ; 9. Các số đó theo thứ tự tăng dần là
A. 6 ; 12 ; 14 ; 18
B. 18 ; 14 ; 10 ; 6
C. 6 ; 14 ; 10 ; 18
D. 6 ; 10 ; 14 ; 18
Lời giải:
Giả sử chia số 48 thành ba phần x , y , z , t tỉ lệ với các số 3 ; 5 ; 7 ; 9
Ta có và x + y + z + t = 48
Áp dụng tính chất dãy tỉ số bằng nhau ta được
Vậy các số cần tìm là 6 ; 10 ; 14 ; 18.
Đáp án cần chọn là: D
Câu 12: Chia số 120 thành bốn phần tỉ lệ với các số 2 ; 4 ; 8 ; 10. Các số đó theo thứ tự tăng dần là
A. 20 ; 40 ; 80 ; 100
B. 50 ; 40 ; 20 ; 10
C. 8 ; 16 ; 32 ; 40
D. 10 ; 20 ; 40 ; 50
Lời giải:
Giả sử chia số 120 thành ba phần x , y , z , t tỉ lệ với các số 2 ; 4 ; 6; 8
Khi đó Ta có: và x + y + z + t = 120
Áp dụng tính chất dãy tỉ số bằng nhau ta được
Vậy các số cần tìm sắp xếp theo thứ tự tăng dần là 10 ; 20 ; 40 ; 50
Đáp án cần chọn là: D
Câu 13: Cho . Số lớn nhất trong ba số x ; y ; z là
A. 27
B. -27
C. -18
C. -45
Lời giải:
Áp dụng tính chất dãy tỉ số bằng nhau ta được
Vậy số lớn nhất trong ba số trên là x = −18
Đáp án cần chọn là: C
Câu 14: Cho và x + y + z = -108. Số lớn nhất trong ba số x ; y ; z là
A. -32
B. -28
C.-48
D. 28
Lời giải:
Áp dụng tính chất dãy tỉ số bằng nhau ta được
Ta có: −48 < −32 < −28
Vậy số bé nhất trong ba số trên là z = −48
Đáp án cần chọn là: C
Câu 15: Có bao nhiêu bộ số x; y thỏa mãn và x2 - y2 = 9
A. 2
B. 3
C. 4
D. 1
Lời giải:
Áp dụng tính chất dãy tỉ số bằng nhau ta được
Nên có hai cặp số thỏa mãn là x = 5 ; y = 4 hoặc x = −5 ; y = −4
Đáp án cần chọn là: A
Câu 16: Có bao nhiêu bộ số x; y thỏa mãn và x2 - y2 = 40
A. 2
B. 3
C. 4
D. 1
Lời giải:
Áp dụng tính chất dãy tỉ số bằng nhau ta được
Vậy có hai bộ số x ; y thỏa mãn là x = 11 ; y = 9 hoặc x = −11 ; y = −9.
Đáp án cần chọn là: A
Câu 17: Tìm x; y biết và 5x - 2y = 87
Lời giải:
Áp dụng tính chất dãy tỉ số bằng nhau ta được
Đáp án cần chọn là: B
Câu 18: Tìm x ; y (y ≠ 0) biết và 3x - y = 26
A. x = 4 ; y = 10.
B. x = 10 ; y = 4.
C. x = −10 ; y = 4.
D. x = − 10 ; y = −4
Lời giải:
Áp dụng tính chất dãy tỉ số bằng nhau ta được
Vậy x = 10 ; y = 4
Đáp án cần chọn là: B
Câu 19: Cho và xy = 10. Tính x - y biết x > 0 ; y > 0
A. -3
B. 3
C. 8
D. -8
Lời giải:
Đặt = k ta có x = 2k ; y = 5k
Nên x.y = 2k . 5k = 10k2 = 10 ⇒ k2 = 1 ⇒ k = 1 hoặc k = −1.
Với k = 1 thì x = 2 ; y = 5
Với k = −1thì x = − 2 ; y = −5x
Vì x > 0 ; y > 0 nên x = 2 ; y = 5 từ đó x − y = 2−5 = −3.
Đáp án cần chọn là: A
Câu 21: Cho 2a = 3b ; 5b = 7c và 3a + 5c - 7b = 30. Khi đó a + b - c bằng
A. 50
B. 70
C. 40
D. 30
Lời giải:
Ta có: 2a = 3b (1) (nhân cả hai vế với 1/7)
Và 5b = 7c (2) (nhân cả hai vế với 1/2)
Từ (1)và (2) ta có:
Áp dụng tính chất dãy tỉ số bằng nhau ta được
Khi đó a + b - c = 42 + 28 - 20 = 50
Đáp án cần chọn là: A
Câu 22: Cho và 2x - 3y + z = 6. Khi đó x -2y + z bằng
A. 15
B. 51
C. 0
D. 39
Lời giải:
Áp dụng tính chất dãy tỉ số bằng nhau ta được
Khi đó x − 2y + z = 27 − 2.36 + 60 = 15
Đáp án cần chọn là: A
Câu 23: Tìm các số x , y , z biết (1) và 5z - 3x - 4y = 50
A. x = 5 ; y = 5 ; z = 12
B. x = 5 ; y = 10 ; z = 17
C. x = 5 ; y = 5 ; z = 17
D. x = 17 ; y = 5 ; z = 5
Lời giải:
Nhân cả tử và mẫu của tỉ số thứ nhất, thứ hai và thứ ba của (1) lần lượt với −3 ; −4 ; 5 ta được
Áp dụng tính chất dãy tỉ số bằng nhau ta được
Vậy x = 5 ; y = 5 ; z = 17
Đáp án cần chọn là: C
Câu 24: Tìm các số x , y , z biết và 2x + 3y - z = 50
A. x = 9 ; y = 14 ; z = 19
B. x = 17 ; y = 11 ; z = 23
C. x = 11 ; y = 17 ; z = 23
D. x = 7 ; y = 11 ; z = 15
Lời giải:
Áp dụng tính chất dãy tỉ số bằng nhau ta được
Vậy x = 11 ; y = 17 ; z = 23
Đáp án cần chọn là: C
Câu 25: Tính diện tích hình chữ nhật có tỉ số giữa hai cạnh của nó là 5/7 và chu vi bằng 48m
A. 315(m2)
B. 35(m2)
C. 70(m2)
D. 140(m2)
Lời giải:
Gọi chiều rộng của hình chữ nhật là x (m), chiều dài của hình chữ nhật là y (m) (0 < x < y)
Tỉ số giữa hai cạnh của hình chữ nhật là
Chu vi của hình chữ nhật bằng 48m nên 2(x + y) = 48 ⇒ x + y = 24
Theo tính chất của dãy tỉ số bằng nhau ta có:
Hai giá trị x,y thỏa mãn 0 < x < y.
Diện tích hình chữ nhật là 10.14 = 140 (m2)
Đáp án cần chọn là: D
Câu 26: Tính diện tích hình chữ nhật có tỉ số giữa hai cạnh của nó là 2/3 và chu vi bằng 40m
A. 86(m2)
B. 98(m2)
C. 48(m2)
D. 96(m2)
Lời giải:
Nửa chu vi hình chữ nhật là 40 : 2 = 20m
Gọi hai cạnh của hình chữ nhật là x ; y (0 < x < y)
Áp dụng tính chất dãy tỉ số bằng nhau ta có
Do đó x = 4.2 = 8 và y = 3.4 = 12
Diện tích hình chữ nhật là 8.12 = 96(m2)
Đáp án cần chọn là: D
Câu 27: Tìm một số chẵn có ba chữ số (có chữ số hàng đơn vị khác 0) biết rằng các chữ số của nó theo thứ tự hàng trăm đến hàng đơn vị tỉ lệ với ba số 1;2;3
A. 246
B. 264
C. 426
D. 624
Lời giải:
Gọi số cần tìm là (0 < a ≤ 9 ; 0 ≤ b, c ≤ 9 ; c ≠ 0 ; a ; b ; c ∈ N)
Vì các chữ số của nó theo thứ tự từ hàng trăm đến hàng đơn vị tỉ lệ với ba số 1 ; 2 ; 3 nên ta có
Vì số đã cho là chẵn nên c ∈ {2;4;6;8}, mà c = 3k nên c = 6
Với c = 6 ⇒ k = 2 khi đó a = 2 ; b = 4
Số cần tìm là 246
Đáp án cần chọn là: A
Câu 28: Lớp 7A có số học sinh nam nhiều hơn số học sinh nữ là 26. Tỉ số giữa số học sinh nam và nữ là 3,6. Tính số học sinh của lớp 7A
A. 46
D. 45
C. 40
D. 36
Lời giải:
Gọi số học sinh nam là x, số học sinh nữ là y (x , y ∈ N* ; x > 26)
Lớp 7A có số học sinh nam nhiều hơn số học sinh nữ là 26 nên ta có: x − y = 26
Tỉ số giữa số học sinh nam và nữ 3,6 nên:
Theo tính chất của dãy tỉ số bằng nhau ta có:
Hai giá trị x,y thỏa mãn x , y ∈ N*; x > 26.
Khi đó x + y = 36 + 10 = 46
Vậy số học sinh của lớp 7A là 46 học sinh.
Đáp án cần chọn là: A
Câu 29: Biết các cạnh của 1 tam giác tỉ lệ 4 ; 5 ; 3 và chu vi của nó bằng 120m. Tính cạnh nhỏ nhất của tam giác đó
A. 20m
B. 50m
C. 40m
D. 30m
Lời giải:
Gọi các cạnh của tam giác là x ; y ; z ( x ; y ; z > 0)
Theo đề bài ta có và x + y + z = 120
Áp dụng tính chất dãy tỉ số bằng nhau ta có
Do đó x = 4.10 = 40m ; y = 5.10 = 50m ; z = 3.10 = 30m.
Cạnh nhỏ nhất của tam giác dài 30m
Đáp án cần chọn là: D
Câu 30: Biết các cạnh của 1 tam giác tỉ lệ 5 ; 6 ; 7 và chu vi của nó bằng 108m. Tính cạnh lớn nhất của tam giác đó
A. 48m
B. 30m
C. 36m
D. 42m
Lời giải:
Gọi các cạnh của tam giác là x ; y ; z (x ; y ; z > 0)
Theo đề bài ta có và x + y + z = 108
Áp dụng tính chất dãy tỉ số bằng nhau ta có
Do đó x = 6.5 = 30m ; y = 6.6 = 36m ; z = 6.7 = 42m.
Cạnh lớn nhất của tam giác dài 42m
Đáp án cần chọn là: D
Câu 31: Ba lớp 7A,7B,7C có tất cả 153 học sinh . Số học sinh lớp 7B bằng
số học sinh lớp 7A, số học sinh lớp 7C bằng
số học sinh lớp 7B. Tính số học sinh lớp 7A.
A. 48 học sinh
B. 54 học sinh
C. 51 học sinh
D. 45 học sinh
Lời giải:
Gọi số học sinh lớp 7A,7B,7C lần lượt là x ; y ; z (x ; y ; z > 0)
Theo bài ra ta có x + y + z = 153 ;
Áp dụng tính chất dãy tỉ số bằng nhau ta có
Do đó:
x = 18.3 = 54 ; y = 16. 3 = 48 ; z = 17.3 = 51
Số học sinh lớp 7A là 54 học sinh.
Đáp án cần chọn là: B
Câu 32: Ba tổ trồng được 108 cây. Biết rằng số cây của ba tổ trồng tỉ lệ với số học sinh của mỗi tổ và tổ 1 có 7 bạn, tổ 2 có 8 bạn và tổ 3 có 12 bạn. Tính số cây tổ 2 trồng.
A. 28 cây
B. 32 cây
C. 36 cây
D. 48 cây
Lời giải:
Gọi số cây tổ 1,2,3 trồng được lần lượt là x ; y ; z(x ; y z ∈ )
Theo bài ra Ta có: và x + y + z = 108
Áp dụng tính chất dãy tỉ số bằng nhau ta có:
Do đó:
x = 4.7 = 28 ; y = 4.8 = 32 ; z = 4.12 = 48
Các giá trị x ; y ; z thỏa mãn x ; y ; z ∈ .
Vậy số cây tổ 2 trồng được là 32 cây.
Đáp án cần chọn là: B
Câu 33: Chọn câu đúng. Nếu thì
Lời giải:
Đáp án cần chọn là: D
Câu 34: Chọn câu đúng. Nếu thì
Lời giải:
Áp dụng tính chất của tỉ lệ thức ta có:
Áp dụng tính chất dãy tỉ số bằng nhau ta có:
Đáp án cần chọn là: B
Câu 35: Cho x; y; z là ba số dương phân biệt. Tìm tỉ số
Lời giải:
Áp dụng tính chất dãy tỉ số bằng nhau ta có:
Đáp án cần chọn là: A
Câu 36: Tìm x biết
A. x = 5
B. x = -5
C. x =
D. x = 4
Lời giải:
Với ta được:
Vậy x = 5(thỏa mãn)
Đáp án cần chọn là: A
Câu 37: Cho ; a, b, c ≠ 0 và a = 2018 . Tính b,c
A. b = c = 2018
B. b = c = 1009
C. b = c = 4036
D. b = 2019 ; c = 2018
Lời giải:
Áp dụng tính chất dãy tỉ số bằng nhau ta có:
Suy ra a = b ; b = c ; c = a ⇒ b = c = a = 2018
Vậy b = c = 2018
Đáp án cần chọn là: A
Câu 38: Cho ; a, b, c ≠ 0 ; a + b + c ≠ 0 và b = 2018 . Tính a - c
A. 0
B. 2018
C. 1009
D. 1
Lời giải:
Áp dụng tính chất dãy tỉ số bằng nhau ta có:
Suy ra a = b ; b = c ; c = a ⇒ b = c = a = 2018
Vậy a - c = 2018 - 2018 = 0
Đáp án cần chọn là: A
Câu 39: Cho 4 số khác 0 là . Chọn câu đúng
Lời giải:
Lại có, áp dụng tính chất dãy tỉ số bằng nhau ta có:
Đáp án cần chọn là: A
Câu 40: Cho . Chọn câu đúng
Lời giải:
Áp dụng tính chất dãy tỉ số bằng nhau ta có:
Đáp án cần chọn là: B
(199k) Học Toán 7 KNTTHọc Toán 7 CTSTHọc Toán 7 CD
Xem thêm các bài tập trắc nghiệm Toán lớp 7 chọn lọc, có đáp án chi tiết hay khác:
- Trắc nghiệm Số thập phân hữu hạn. Số thập phân vô hạn tuần hoàn
- Trắc nghiệm Làm tròn số
- Trắc nghiệm Số vô tỉ. Khái niệm về căn bậc hai
- Trắc nghiệm Số thực
- Bài tập ôn tập Chương 1 Đại Số 7
Lời giải bài tập lớp 7 sách mới:
- Giải bài tập Lớp 7 Kết nối tri thức
- Giải bài tập Lớp 7 Chân trời sáng tạo
- Giải bài tập Lớp 7 Cánh diều
Tủ sách VIETJACK shopee lớp 6-8 (2025):
Đã có app VietJack trên điện thoại, giải bài tập SGK, SBT Soạn văn, Văn mẫu, Thi online, Bài giảng....miễn phí. Tải ngay ứng dụng trên Android và iOS.
Theo dõi chúng tôi miễn phí trên mạng xã hội facebook và youtube:Loạt bài Lý thuyết - Bài tập Toán lớp 7 có đầy đủ Lý thuyết và các dạng bài có lời giải chi tiết được biên soạn bám sát nội dung chương trình sgk Đại số 7 và Hình học 7.
Nếu thấy hay, hãy động viên và chia sẻ nhé! Các bình luận không phù hợp với nội quy bình luận trang web sẽ bị cấm bình luận vĩnh viễn.
- Giải Tiếng Anh 7 Global Success
- Giải Tiếng Anh 7 Friends plus
- Giải sgk Tiếng Anh 7 Smart World
- Giải Tiếng Anh 7 Explore English
- Lớp 7 - Kết nối tri thức
- Soạn văn 7 (hay nhất) - KNTT
- Soạn văn 7 (ngắn nhất) - KNTT
- Giải sgk Toán 7 - KNTT
- Giải sgk Khoa học tự nhiên 7 - KNTT
- Giải sgk Lịch Sử 7 - KNTT
- Giải sgk Địa Lí 7 - KNTT
- Giải sgk Giáo dục công dân 7 - KNTT
- Giải sgk Tin học 7 - KNTT
- Giải sgk Công nghệ 7 - KNTT
- Giải sgk Hoạt động trải nghiệm 7 - KNTT
- Giải sgk Âm nhạc 7 - KNTT
- Lớp 7 - Chân trời sáng tạo
- Soạn văn 7 (hay nhất) - CTST
- Soạn văn 7 (ngắn nhất) - CTST
- Giải sgk Toán 7 - CTST
- Giải sgk Khoa học tự nhiên 7 - CTST
- Giải sgk Lịch Sử 7 - CTST
- Giải sgk Địa Lí 7 - CTST
- Giải sgk Giáo dục công dân 7 - CTST
- Giải sgk Công nghệ 7 - CTST
- Giải sgk Tin học 7 - CTST
- Giải sgk Hoạt động trải nghiệm 7 - CTST
- Giải sgk Âm nhạc 7 - CTST
- Lớp 7 - Cánh diều
- Soạn văn 7 (hay nhất) - Cánh diều
- Soạn văn 7 (ngắn nhất) - Cánh diều
- Giải sgk Toán 7 - Cánh diều
- Giải sgk Khoa học tự nhiên 7 - Cánh diều
- Giải sgk Lịch Sử 7 - Cánh diều
- Giải sgk Địa Lí 7 - Cánh diều
- Giải sgk Giáo dục công dân 7 - Cánh diều
- Giải sgk Công nghệ 7 - Cánh diều
- Giải sgk Tin học 7 - Cánh diều
- Giải sgk Hoạt động trải nghiệm 7 - Cánh diều
- Giải sgk Âm nhạc 7 - Cánh diều


Giải bài tập SGK & SBT
Tài liệu giáo viên
Sách
Khóa học
Thi online
Hỏi đáp

