Bài tập trắc nghiệm Số thập phân hữu hạn. Số thập phân vô hạn tuần hoàn lớp 7 (có đáp án)
Bài tập trắc nghiệm Số thập phân hữu hạn. Số thập phân vô hạn tuần hoàn lớp 7 (có đáp án)
(199k) Học Toán 7 KNTTHọc Toán 7 CTSTHọc Toán 7 CD
Câu 1: Chọn câu sai
A. Phân số viết được dưới dạng số thập phân hữu hạn
B. Phân số viết được dưới dạng số thập phân vô hạn tuần hoàn
C. Phân số viết được dưới dạng số thập phân hữu hạn
D. Phân số viết được dưới dạng số thập phân vô hạn tuần hoàn
Lời giải:
Ta có:
+ 25 = 52 nên phân số viết được dưới dạng số thập phân hữu hạn. Do đó A đúng.
+
. Thấy 60 = 22.3.5 (chứa thừa số 3 khác 2 ; 5) nên phân số
viết được dưới dạng số thập phân vô hạn tuần hoàn. Do đó B đúng.
+ Xét
thấy 77 = 7.11 (chứa các thừa số 7 ; 11 khác 2 ; 5) nên phân số
viết được dưới dạng số thập phân vô hạn tuần hoàn. Do đó C sai.
+ Xét
có 120 = 23.3.5 (chứa thừa số 3 khác 2 ; 5) nên phân số
viết được dưới dạng số thập phân vô hạn tuần hoàn. Do đó D đúng.
Đáp án cần chọn là: C
Câu 2: Chọn câu đúng
A. Phân số viết được dưới dạng số thập phân hữu hạn
B. Phân số viết được dưới dạng số thập phân vô hạn tuần hoàn
C. Phân số viết được dưới dạng số thập phân hữu hạn
D. Phân số viết được dưới dạng số thập phân vô hạn tuần hoàn
Lời giải:
Ta có
+) 12 = 22.3 nên phân số viết được dưới dạng số thập phân vô hạn tuần hoàn. Do đó A sai.
+)
. Thấy 250 = 2.53 nên phân số
viết được dưới dạng số thập phân hữu hạn. Do đó B sai.
+) 33 = 3.11 nên phân số viết được dưới dạng số thập phân vô hạn tuần hoàn. Do đó C sai.
+) 45 = 32.5 nên phân số viết được dưới dạng số thập phân vô hạn tuần hoàn. Do đó D đúng.
Đáp án cần chọn là: D
Câu 3: Trong các phân số Có bao nhiêu phân số viết được dưới dạng số thập phân vô hạn tuần hoàn:
A. 1
B. 2
C. 3
D. 4
Lời giải:
Ta thấy 45 = 32.5 ; 18 = 2.32 nên các phân số đều viết được dưới dạng số thập phân vô hạn tuần hoàn.
Phân số
có 48 = 24.3 nên phân số
viết được dưới dạng số thập phân vô hạn tuần hoàn.
Như vậy cả bốn phân số đều viết được dưới dạng số thập phân vô hạn tuần hoàn.
Đáp án cần chọn là: D
Câu 4: Trong các phân số Có bao nhiêu phân số viết được dưới dạng số thập phân vô hạn tuần hoàn
A. 1
B. 2
C. 3
D. 4
Lời giải:
Ta có:
14 = 2 .7 nên phân số viết được dưới dạng số thập phân vô hạn tuần hoàn.
20 = 22.5 nên phân số viết được dưới dạng số thập phân hữu hạn.
có 25 = 52 nên phân số
viết được dưới dạng số thập phân hữu hạn.
có 100 = 22.52 nên phân số
viết được dưới dạng số thập phân hữu hạn.
viết được dưới dạng số thập phân hữu hạn.
Như vậy, trong năm phân số có một phân số viết được dưới dạng số thập phân vô hạn tuần hoàn.
Đáp án cần chọn là: A
Câu 5: Số thập phân 0,35 được viết dưới dạng phân số tối giản thì tổng tử số và mẫu số của phân số là
A. 17
B. 27
C. 135
D. 35
Lời giải:
Tổng tử số và mẫu số là 7 + 20 = 27
Đáp án cần chọn là: B
Câu 6: Số thập phân 0,44 được viết dưới dạng phân số tối giản thì hiệu tử số và mẫu số của phân số là
A. 14
B. -14
C. -56
D. 56
Lời giải:
Hiệu của tử số trừ đi mẫu số là 11 - 25 = -14
Đáp án cần chọn là: B
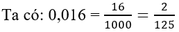
Câu 7: Phân số nào dưới đây biểu diễn số thập phân 0.016?
Lời giải:
Đáp án cần chọn là: A
Câu 8: Phân số nào dưới đây biểu diễn số thập phân 0.055?
Lời giải:
Đáp án cần chọn là: B
Câu 9: Viết phân số dưới dạng số thập phân vô hạn tuần hoàn ta được
A. 0,(458)3
B. 0,45(83)
C. 0,458(3)
D. 0,458
Lời giải:
Đáp án cần chọn là: C
Câu 10: Viết phân số dưới dạng số thập phân vô hạn tuần hoàn ta được
A. 1,(06)
B. 1,0(7)
C. 1,0(6)
D. 1,067
Lời giải:
Đáp án cần chọn là: C
Câu 11: Số thập phân vô hạn tuần hoàn 0,(66) được viết dưới dạng phân số tối giản thì hiệu tử số và mẫu số của phân số là
A. -1
B. 1
C. 5
D. 4
Lời giải:
Hiệu tử số và mẫu số là 2-3 = - 1
Đáp án cần chọn là: A
Câu 12: Số thập phân vô hạn tuần hoàn 1,(22) được viết dưới dạng phân số tối giản thì hiệu tử số và mẫu số của phân số là
A. 2
B.-2
C. -7
D. 7
Lời giải:
Hiệu của tử số và mẫu số là 11-9 = 2
Đáp án cần chọn là: A
Câu 13: Viết các số thập phân vô hạn tuần hoàn 0,1(24); 4,0(25) dưới dạng phân số tối giản ta được hai phân số có tổng các tử số là:
A. 503
B. 385
C. 652
D. 650
Lời giải:
Tổng các tử số của hai phân số 𝑙à 479 + 173 = 652
Đáp án cần chọn là: C
Câu 14: Tính , ta được kết quả là
Lời giải:
Đáp án cần chọn là: C
Câu 15: Tính , ta đươc kết quả là
Lời giải:
Đáp án cần chọn là: D
Câu 16: và
. So sánh A và B
A. A < B
B. A > B
C. A = B
D. A ≤ B
Lời giải:
Nhận thấy nên A > B
Đáp án cần chọn là: B
Câu 17: Cho và
.
So sánh A và B
A. A < B
B. A > B
C. A = B
D. A ≤ B
Lời giải:
Nhận thấy nên A > B
Đáp án cần chọn là: A
Câu 18: Tìm x biết 0,(37).x = 1
Lời giải:
Đáp án cần chọn là: A
Câu 19: Tìm x biết 2,(45) : x = 0,5
Lời giải:
Đáp án cần chọn là: B
Câu 20: Gía trị nào dưới đây của x thỏa mãn 0,(26). x = 1,2(31)
Lời giải:
Đáp án cần chọn là: D
Câu 21: Gía trị nào dưới đây của x thỏa mãn 0,(18).x = 2,0(15)
Lời giải:
Đáp án cần chọn là: D
Câu 22: Khi số thập phân vô hạn tuần hoàn 0,4818181... được viết dưới dạng một phân số tối giản thì tử số nhỏ hơn mẫu số bao nhiêu đơn vị?
A. 513
B. 29
C. 13
D. 57
Lời giải:
Ta có: 0,4818181... = 0,4(81) =
Khi đó tử số nhỏ hơn mẫu số số đơn vị là 110 - 53 = 57 đơn vị
Đáp án cần chọn là: D
Câu 23: Khi số thập phân vô hạn tuần hoàn 0,5165165165... được viết dưới dạng một phân số tối giản thì tử số nhỏ hơn mẫu số bao nhiêu đơn vị?
A. 116
B. 483
C. 438
D. 161
Lời giải:
Ta có: 0,5165165165... = 0,(516) =
Khi đó tử số nhỏ hơn mẫu số số đơn vị là 333 - 172 = 161 đơn vị
Đáp án cần chọn là: D
Câu 24: Tính , ta đươc kết quả là
Lời giải:
Đáp án cần chọn là: D
(199k) Học Toán 7 KNTTHọc Toán 7 CTSTHọc Toán 7 CD
Xem thêm các bài tập trắc nghiệm Toán lớp 7 chọn lọc, có đáp án chi tiết hay khác:
- Trắc nghiệm Tính chất của dãy tỉ số bằng nhau
- Trắc nghiệm Làm tròn số
- Trắc nghiệm Số vô tỉ. Khái niệm về căn bậc hai
- Trắc nghiệm Số thực
- Bài tập ôn tập Chương 1 Đại Số 7
Lời giải bài tập lớp 7 sách mới:
- Giải bài tập Lớp 7 Kết nối tri thức
- Giải bài tập Lớp 7 Chân trời sáng tạo
- Giải bài tập Lớp 7 Cánh diều
Tủ sách VIETJACK shopee lớp 6-8 (2025):
Đã có app VietJack trên điện thoại, giải bài tập SGK, SBT Soạn văn, Văn mẫu, Thi online, Bài giảng....miễn phí. Tải ngay ứng dụng trên Android và iOS.
Theo dõi chúng tôi miễn phí trên mạng xã hội facebook và youtube:Loạt bài Lý thuyết - Bài tập Toán lớp 7 có đầy đủ Lý thuyết và các dạng bài có lời giải chi tiết được biên soạn bám sát nội dung chương trình sgk Đại số 7 và Hình học 7.
Nếu thấy hay, hãy động viên và chia sẻ nhé! Các bình luận không phù hợp với nội quy bình luận trang web sẽ bị cấm bình luận vĩnh viễn.
- Giải Tiếng Anh 7 Global Success
- Giải Tiếng Anh 7 Friends plus
- Giải sgk Tiếng Anh 7 Smart World
- Giải Tiếng Anh 7 Explore English
- Lớp 7 - Kết nối tri thức
- Soạn văn 7 (hay nhất) - KNTT
- Soạn văn 7 (ngắn nhất) - KNTT
- Giải sgk Toán 7 - KNTT
- Giải sgk Khoa học tự nhiên 7 - KNTT
- Giải sgk Lịch Sử 7 - KNTT
- Giải sgk Địa Lí 7 - KNTT
- Giải sgk Giáo dục công dân 7 - KNTT
- Giải sgk Tin học 7 - KNTT
- Giải sgk Công nghệ 7 - KNTT
- Giải sgk Hoạt động trải nghiệm 7 - KNTT
- Giải sgk Âm nhạc 7 - KNTT
- Lớp 7 - Chân trời sáng tạo
- Soạn văn 7 (hay nhất) - CTST
- Soạn văn 7 (ngắn nhất) - CTST
- Giải sgk Toán 7 - CTST
- Giải sgk Khoa học tự nhiên 7 - CTST
- Giải sgk Lịch Sử 7 - CTST
- Giải sgk Địa Lí 7 - CTST
- Giải sgk Giáo dục công dân 7 - CTST
- Giải sgk Công nghệ 7 - CTST
- Giải sgk Tin học 7 - CTST
- Giải sgk Hoạt động trải nghiệm 7 - CTST
- Giải sgk Âm nhạc 7 - CTST
- Lớp 7 - Cánh diều
- Soạn văn 7 (hay nhất) - Cánh diều
- Soạn văn 7 (ngắn nhất) - Cánh diều
- Giải sgk Toán 7 - Cánh diều
- Giải sgk Khoa học tự nhiên 7 - Cánh diều
- Giải sgk Lịch Sử 7 - Cánh diều
- Giải sgk Địa Lí 7 - Cánh diều
- Giải sgk Giáo dục công dân 7 - Cánh diều
- Giải sgk Công nghệ 7 - Cánh diều
- Giải sgk Tin học 7 - Cánh diều
- Giải sgk Hoạt động trải nghiệm 7 - Cánh diều
- Giải sgk Âm nhạc 7 - Cánh diều


Giải bài tập SGK & SBT
Tài liệu giáo viên
Sách
Khóa học
Thi online
Hỏi đáp

