Bài tập trắc nghiệm Số thực lớp 7 (có đáp án)
Bài tập trắc nghiệm Số thực lớp 7 (có đáp án)
(199k) Học Toán 7 KNTTHọc Toán 7 CTSTHọc Toán 7 CD
Câu 1: Phát biểu nào sau đây là đúng?
A. Số nguyên không phải số thực
B. Phân số không phải số thực
C. Số vô tỉ không phải số thực
D. Cả ba loại số trên đều là số thực
Lời giải:
Ta thấy số nguyên, phân số hay số vô tỉ đều là số thực
Đáp án cần chọn là: D
Câu 2: Chọn câu đúng nhất:
A. R = I ∪ Q
B. I ⊂ R
C. I ∩ Q = ∅
D. Cả A, B, C đều đúng
Lời giải:
Số thực bao gồm số hữu tỉ và số vô tỉ nên R = I ∪ Q từ đó suy ra I ⊂ R.
Ta có:
- Mỗi số hữu tỉ được biểu diễn bởi một số thập phân hữu hạn tuần hoàn hoặc vô hạn tuần hoàn.
- Số vô tỉ là số viết được dưới dạng số thập phân vô hạn không tuần hoàn.
Suy ra I ∩ Q = ∅
Do đó cả A, B, C đều đúng.
Đáp án cần chọn là: D
Câu 3: Phát biểu nào sau đây là sai?
A. Mọi số vô tỉ đều là số thực
B. Mọi số thực đều là số vô tỉ
C. Mỗi số nguyên đều là số hữu tỉ
D. Số 0 là số hữu tỉ cũng là số thực.
Lời giải:
Số thực bao gồm số hữu tỉ và số vô tỉ. Tuy nhiên nếu số thực mà là số hữu tỉ thì sẽ khác số vô tỉ. Do đó phát biểu mọi số thực đều là số vô tỉ là sai.
Đáp án cần chọn là: B
Câu 4: R ∩ I =
A. R
B. Q
C. ∅
D. I
Lời giải:
Do R = I ∪ Q do đó R ∩ I = I
Đáp án cần chọn là: D
Câu 5: R ∩ Q =
A. R
B. Q
C. ∅
D. I
Lời giải:
Do R = I ∪ Q suy ra R ∩ Q = Q.
Đáp án cần chọn là: B
Câu 6: Chọn chữ số thích hợp điền vào chỗ trống -5,07 < -5,...4
A. 1 ; 2 ; ...9
B. 0 ;1 ; 2 ; ...9
C. 0
D. 0 ; 1
Lời giải:
Áp dụng so sánh hai số nguyên âm ta thấy chỉ có −5,07 < −5,04. Do đó ô trống cần điền là số 0
Đáp án cần chọn là: C
Câu 7: Chọn chữ số thích hợp điền vào chỗ trống -11,29 < - 11,...9
A. 1 ; 2; ...9
B. 3
C. ∅
D. 0 ; 1
Lời giải:
Áp dụng so sánh hai số nguyên âm ta thấy −11,29 < −11,09 và −11,29 < −11,19. Do đó ô trống cần điền có thể là số 0 hoặc 11.
Đáp án cần chọn là: D
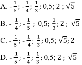
Câu 8: Sắp xếp các số sau theo thứ tự tăng dần:
Lời giải:
Ta chia các số đã cho làm 2 nhóm
Nhóm 1: vì
Lại có nên
Nhóm 2:
Vậy ta có dãy số tăng dần là
Đáp án cần chọn là: D
Câu 9: Sắp xếp các số sau theo thứ tự tăng dần:
Lời giải:
Ta chia các số đã cho thành hai nhóm
Nhóm 1: vì 5 > 4 nên
Nhóm 2 Ta có: 0,5 = 1/2
Vậy ta có dãy số tăng dần là:
Đáp án cần chọn là: D
Câu 10: Nếu x2 = 7 thì x bằng:
Lời giải:
Đáp án cần chọn là: B
Câu 11: Nếu x2 = 11 thì x bằng:
Lời giải:
Đáp án cần chọn là: B
Câu 12: Kết quả của phép tính
Lời giải:
/p>
Đáp án cần chọn là: B
Câu 13: Kết quả của phép tính là:
Lời giải:
Đáp án cần chọn là: B
Câu 14: Cho
và
. So sánh A và B
A. A > B
B. A < B
C. A = B
D. A ≥ B
Lời giải:
Ta có:
Và
Từ đó A < B
Đáp án cần chọn là: B
Câu 15: Cho
và
. Tính M + N
Lời giải:
Đáp án cần chọn là: B
Câu 16: Gía trị nào sau đây là kết quả của phép tính:
(-45,7) + [(+5,7) + (+5,75) + (-0,75)]
Lời giải:
(−45,7 ) + [(+5,7) + (+5,75) + (−0,75)]
= (−45,7) + (5,7+5,75−0,75) = −45,7+5,7+5 = −40+5 = −35
Đáp án cần chọn là: B
Câu 17: Gía trị nào sau đây là kết quả của phép tính:
A. 30,1
B. 3,01
C. 3,10
D. 3,11
Lời giải:
Đáp án cần chọn là: B
Câu 18: Tìm x biết
Lời giải:
Đáp án cần chọn là: D
Câu 19: Tìm x biết
Lời giải:
Đáp án cần chọn là: D
Câu 20: Gọi x là giá trị thỏa mãn
A. x > 2
B. x < 0
C. 0 < x < 1
D. x > 3
Lời giải:
Ta có:
Đáp án cần chọn là: C
Câu 21: Gọi x là giá trị thỏa mãn . Chọn câu đúng.
A. x > 5
B. x < 4
C. 4 < x < 5
D. x = 4
Lời giải:
Đáp án cần chọn là: C
Câu 22: Có bao nhiêu giá trị của x thỏa mãn
A. 1
B. 2
C. 3
D. 0
Lời giải:
Vậy có một giá trị của x thỏa mãn là x =
Đáp án cần chọn là: A
Câu 23: Có bao nhiêu giá trị của x thỏa mãn
A. 1
B. 2
C. 3
D. 0
Lời giải:
Vì với mọi x ≥ 0 nên không có giá trị nào của x thỏa mãn yêu cầu bài toán
Đáp án cần chọn là: C
Câu 24: Gía trị nào của x thỏa mãn [(7+0,004x):0,9]: 24,7-12,3 = 77,7
A. x = 49842
B. x = 498
C. x = 498420
D. x =498425
Lời giải:
[(7+0,004x) : 0,9] : 24,7−12,3 = 77,7
[(7+0,004x):0,9] : 24,7 = 77,7+12,3
[(7+0,004x):0,9] : 24,7 =90
(7+0,004x) : 0,9 = 90.24,7
(7+0,004x) : 0,9 = 2223
7+0,004x = 2223.0,9
7+0,004x = 2000,7
0,004x = 1993,7
x = 498425
Vậy x = 498425
Đáp án cần chọn là: D
Câu 25: Gía trị nào của x thỏa mãn (10,22:0,7)x : 0,001 - = 12,2
A, x = 0,1
B. x = 0,0001
C. x = 0,01
D. x = 0,001
Lời giải:
(10,22:0,7)x:0,001 - = 12,2
14,6x:0,001−2,4 = 12,2
14,6x:0,001 = 12,2+2,4
14,6x:0,001 = 14,6
14,6x = 14,6.0,001
x = 0,001
Đáp án cần chọn là: D
Câu 26: Tìm số tự nhiên x để D = có giá trị là một số nguyên
A. x = 4
B. x = 16
C. x = 9
D. x = 10
Lời giải:
Ta có:
Để D ∈ Z thì (√x + 2) phải thuộc Z và là ước của 5.
Vì (√x + 2) > 0 nên chỉ có hai trường hợp:
Trường hợp 1: √x + 2 = 1 ⇔ √x = −1 (vô lý)
Trường hợp 2: √x + 2 = 5 ⇔ √x = 3 ⇔ x = 9 (thỏa mãn).
Vậy để D ∈ Z thì x = 9 (khi đó D = 0).
Đáp án cần chọn là: C
Câu 27: Tìm số tự nhiên x để D = có giá trị là một số nguyên
A. x = 4
B. x = 16
C. x = 9
D. x = 10
Lời giải:
Ta có:
Để D ∈ Z thì ∈ Z do đó √x + 3 là ước của 7.
Vì (√x + 3) > 0 nên chỉ có hai trường hợp
Trường hợp 1: √x + 3 = 1 ⇔ √x = −2 (vô lý)
Trường hợp 1: √x + 3 = 7 ⇔ √x = 4 ⇔ x = 16 (thỏa mãn).
Vậy x = 16 thì D ∈ Z (khi đó D = 1).
Đáp án cần chọn là: B
(199k) Học Toán 7 KNTTHọc Toán 7 CTSTHọc Toán 7 CD
Xem thêm các bài tập trắc nghiệm Toán lớp 7 chọn lọc, có đáp án chi tiết hay khác:
- Trắc nghiệm Tính chất của dãy tỉ số bằng nhau
- Trắc nghiệm Số thập phân hữu hạn. Số thập phân vô hạn tuần hoàn
- Trắc nghiệm Làm tròn số
- Trắc nghiệm Số vô tỉ. Khái niệm về căn bậc hai
- Bài tập ôn tập Chương 1 Đại Số 7
Lời giải bài tập lớp 7 sách mới:
- Giải bài tập Lớp 7 Kết nối tri thức
- Giải bài tập Lớp 7 Chân trời sáng tạo
- Giải bài tập Lớp 7 Cánh diều
Tủ sách VIETJACK shopee lớp 6-8 (2025):
Đã có app VietJack trên điện thoại, giải bài tập SGK, SBT Soạn văn, Văn mẫu, Thi online, Bài giảng....miễn phí. Tải ngay ứng dụng trên Android và iOS.
Theo dõi chúng tôi miễn phí trên mạng xã hội facebook và youtube:Loạt bài Lý thuyết - Bài tập Toán lớp 7 có đầy đủ Lý thuyết và các dạng bài có lời giải chi tiết được biên soạn bám sát nội dung chương trình sgk Đại số 7 và Hình học 7.
Nếu thấy hay, hãy động viên và chia sẻ nhé! Các bình luận không phù hợp với nội quy bình luận trang web sẽ bị cấm bình luận vĩnh viễn.
- Giải Tiếng Anh 7 Global Success
- Giải Tiếng Anh 7 Friends plus
- Giải sgk Tiếng Anh 7 Smart World
- Giải Tiếng Anh 7 Explore English
- Lớp 7 - Kết nối tri thức
- Soạn văn 7 (hay nhất) - KNTT
- Soạn văn 7 (ngắn nhất) - KNTT
- Giải sgk Toán 7 - KNTT
- Giải sgk Khoa học tự nhiên 7 - KNTT
- Giải sgk Lịch Sử 7 - KNTT
- Giải sgk Địa Lí 7 - KNTT
- Giải sgk Giáo dục công dân 7 - KNTT
- Giải sgk Tin học 7 - KNTT
- Giải sgk Công nghệ 7 - KNTT
- Giải sgk Hoạt động trải nghiệm 7 - KNTT
- Giải sgk Âm nhạc 7 - KNTT
- Lớp 7 - Chân trời sáng tạo
- Soạn văn 7 (hay nhất) - CTST
- Soạn văn 7 (ngắn nhất) - CTST
- Giải sgk Toán 7 - CTST
- Giải sgk Khoa học tự nhiên 7 - CTST
- Giải sgk Lịch Sử 7 - CTST
- Giải sgk Địa Lí 7 - CTST
- Giải sgk Giáo dục công dân 7 - CTST
- Giải sgk Công nghệ 7 - CTST
- Giải sgk Tin học 7 - CTST
- Giải sgk Hoạt động trải nghiệm 7 - CTST
- Giải sgk Âm nhạc 7 - CTST
- Lớp 7 - Cánh diều
- Soạn văn 7 (hay nhất) - Cánh diều
- Soạn văn 7 (ngắn nhất) - Cánh diều
- Giải sgk Toán 7 - Cánh diều
- Giải sgk Khoa học tự nhiên 7 - Cánh diều
- Giải sgk Lịch Sử 7 - Cánh diều
- Giải sgk Địa Lí 7 - Cánh diều
- Giải sgk Giáo dục công dân 7 - Cánh diều
- Giải sgk Công nghệ 7 - Cánh diều
- Giải sgk Tin học 7 - Cánh diều
- Giải sgk Hoạt động trải nghiệm 7 - Cánh diều
- Giải sgk Âm nhạc 7 - Cánh diều


Giải bài tập SGK & SBT
Tài liệu giáo viên
Sách
Khóa học
Thi online
Hỏi đáp

