20+ Bài tập trắc nghiệm Phân thức đại số lớp 8 (có đáp án)
Với bài tập trắc nghiệm Phân thức đại số lớp 8 có lời giải chi tiết sẽ giúp học sinh ôn tập, biết cách làm bài tập trắc nghiệm Phân thức đại số
20+ Bài tập trắc nghiệm Phân thức đại số lớp 8 (có đáp án)
(199k) Học Toán 8 KNTTHọc Toán 8 CTSTHọc Toán 8 CD
Bài 1: Phân thức xác định khi?
A. B ≠ 0
B. B ≥ 0
C. B ≤ 0
D. A = 0
Lời giải
Phân thức xác định khi B ≠ 0.
Đáp án cần chọn là: A
Bài 2: Với B ≠ 0, D ≠ 0, hai phân thức bằng nhau khi?
A. A. B = C. D
B. A. C = B. D
C. A. D = B. C
D. A. C < B. D
Lời giải
Với hai phân thức
, ta nói
nếu A. D = B. C.
Đáp án cần chọn là: C
Bài 3: Chọn đáp án đúng?
Lời giải
Ta có:
Đáp án cần chọn là: B
Bài 4: Chọn câu sai. Với đa thức B ≠ 0 ta có?
A. (với M khác đa thức 0)
B. (với N là một nhân tử chung, N khác đa thức 0).
C. .
D. (với M khác đa thức 0).
Lời giải
Tính chất cơ bản của phân thức đại số:
+ (M là một đa thức khác 0) nên A đúng.
+ (N là một nhân tử chung, N khác đa thức 0) nên B đúng.
+ nên C đúng.
Đáp án D sai vì .
Đáp án cần chọn là: D
Bài 5: Với điều kiện nào của x thì phân thức có nghĩa?
A. x ≤ 2
B. x ≠ 1
C. x = 2
D. x ≠ 2
Lời giải
Ta có: có nghĩa khi x - 2 ≠ 0 ⇔ x ≠ 2.
Đáp án cần chọn là: D
Bài 6: Với điều kiện nào của x thì phân thức có nghĩa?
A. x ≠ -4.
B. x ≠ 3.
C. x ≠ 4.
D. x ≠ 2.
Lời giải
Ta có: có nghĩa khi 6x + 24 ≠ 0 ⇔ 6x ≠ 24 ⇔ 6x ≠ -24 ⇔ x ⇔ -4.
Đáp án cần chọn là: A
Bài 7: Phân thức xác định khi?
A. x ≠ 2
B. x ≠ 2 và x ≠ -2
C. x = 2
D. x ≠ -2
Lời giải
Phân thức xác định khi x2 - 4 ≠ 0 ⇔ x2 ≠ 4 ⇔ x ≠ ±2.
Đáp án cần chọn là: B
Bài 8: Phân thức xác định khi?
A. x ≠ 8.
B. x ≠ 4 và x ≠ -4.
C. x ≠ -4.
D. x ≠ 4.
Lời giải
Phân thức xác định khi
x3 + 64 ≠ 0 ⇔ x3 ≠ -64 ⇔ x3 ≠ (-4)3 ⇔ x ≠ -4.
Đáp án cần chọn là: C
Bài 9: Để phân thức có nghĩa thì x thỏa mãn điều kiện nào?
A. x ≠ -1 và x ≠ -3
B. x = 3.
C. x ≠ -1 và x ≠ 3.
D. x ≠ -1.
Lời giải
Phân thức có nghĩa khi (x + 1)(x - 3) ≠ 0 ⇔ x + 1 ≠ 0 và x - 3 ≠ 0
Nên x ≠ -1 và x ≠ 3.
Đáp án cần chọn là: C
Bài 10: Để phân thức có nghĩa thì x thỏa mãn điều kiện nào?
A. x ≠ -1 và x ≠ -3
B. x ≠ 1
C. x ≠ -2
D. x Î R
Lời giải
Phân thức có nghĩa khi x2 + 4x + 5 ≠ 0 ⇔ x2 + 4x + 4 + 1 ≠ 0 ⇔ (x + 2)2 + 1 ≠ 0 ⇔ (x + 2)2 ≠ -1 (luôn đúng vì (x + 2)2 ≥ 0 > -1 với mọi x)
Vậy biểu thức đã cho xác định với mọi x Î R.
Đáp án cần chọn là: D
Bài 11: Phân thức có giá trị bằng 1 khi x bằng?
A. 1
B. 2
C. 3
D. -1
Lời giải
+ Điều kiện: 2x ≠ 0 ⇔ x ≠ 0.
+ Ta có = 1 ⇒ x2 + 1 = 2x ⇔ x2 - 2x + 1 = 0
⇔ (x - 1)2 = 0 ⇔ x - 1 = 0 ⇔ x = 1 (thỏa mãn)
Vậy x = 1.
Đáp án cần chọn là: A
Bài 12: Tìm x để phân thức ?
Lời giải
Đáp án cần chọn là: A
Bài 13: Có bao nhiêu giá trị của x để phân thức có giá trị bằng 0?
A. 0
B. 2
C. 3
D. 1
Lời giải
+ Vì 11 ≠ 0 (luôn đúng) nên phân thức luôn có nghĩa.
Vậy có hai giá trị của x thỏa mãn yêu cầu đề bài: x = 3; x = -3.
Đáp án cần chọn là: B
Bài 14: Giá trị của x để phân thức có giá trị bằng 0 là?
A. x = 1
B. x = -1
C. x = -1; x = 1
D. x = 0
Lời giải
Vậy x = -1.
Đáp án cần chọn là: B
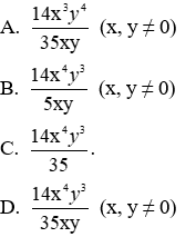
Bài 15: Phân thức nào dưới đây bằng với phân thức ?
Lời giải
Với (x, y ≠ 0) ta có
Đáp án cần chọn là: D
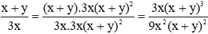
Bài 16: Phân thức nào dưới đây bằng với phân thức (với điều kiện các phân thức đều có nghĩa)?
Lời giải
Nhân cả tử và mẫu của phân thức đã cho với đa thức 3x(x+y)2 ta được:
Đáp án cần chọn là: A
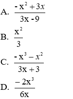
Bài 17: Phân thức (với a ≠ 0) bằng với phân thức nào sau đây?
Lời giải
Ta có: nên B, C sai.
Lại có: nên A sai, D đúng.
Đáp án cần chọn là: D
Bài 18: Phân thức (với x ≠ 3) bằng với phân thức nào sau đây?
Lời giải
Ta có:
Đáp án cần chọn là: C
Bài 19: Phân thức nào dưới đây không bằng với phân thức .
Lời giải
Đáp án cần chọn là: B
Bài 20: Phân thức nào dưới đây không bằng với phân thức .
Lời giải
Đáp án cần chọn là: B
Bài 21: Chọn câu sai.
Lời giải
Đáp án cần chọn là: D
Bài 22: Chọn đáp án không đúng?
Lời giải
+) Đáp án A: ⇒ A đúng.
+) Đáp án B: ⇒ B đúng.
+) Đáp án C: ⇒ C đúng.
+) Đáp án D: ⇒ D sai.
Đáp án cần chọn là: D
Bài 23: Tìm đa thức M thỏa mãn
A. M = 6x2 + 9x
B. M = -3x
C. M = 3x
D. M = 2x + 3
Lời giải
Đáp án cần chọn là: C
Bài 24: Tìm đa thức P thỏa mãn (với điều kiện các phân thức có nghĩa)?
A. P = x + y
B. P = 5(x - y)
C. P = 5(y - x)
D. P = x
Lời giải
Ta có:
Đáp án cần chọn là: D
Bài 25: Cho . Khi đó đa thức A là?
A. A = x2 + 2x - 3
B. A = x2 + 2x + 3
C. A = x2 - 2x - 3
D. A = x2 + 2x
Lời giải
Đáp án cần chọn là: A
Bài 26: Dùng định nghĩa hai phân thức bằng nhau, hãy tìm đa thức A biết ?
A. A = 2x2 + x + 10
B. A = 2x2 + x - 10
C. A = 2x2 - x - 10
D. A = x2 + x - 10
Lời giải
Ta có:
⇒ A.(5x - 3) = (5x2 - 13x + 6)(2x + 5)
A = (5x2 - 13x + 6)(2x + 5) : (5x - 3)
= (5x2 - 10x - 3x + 6)(2x + 5) : (5x - 3)
= [(5x(x - 2) - 3(x - 2)](2x + 5) : (5x - 3)
= (5x - 3)(x - 2) : (5x - 3)
= (x - 2)(2x + 5)
= 2x2 + 5x - 4x - 10
= 2x2 + x - 10.
Vậy A = 2x2 + x - 10.
Đáp án cần chọn là: B
Bài 27: Với điều kiện nào của x thì hai phân thức bằng nhau?
A. x = 3
B. x ≠ 3
C. x ≠ 2
D.
Lời giải
Đáp án cần chọn là: D
Bài 28: Với điều kiện nào thì hai phân thức bằng nhau?
A. x = 2
B. x ≠ 1
C. x = -2
D. x = -1
Lời giải
Nên hai phân thức trên bằng nhau khi x = -2.
Đáp án cần chọn là: C
Bài 29: Giá trị của x để phân thức < 0 là?
Lời giải
Đáp án cần chọn là: B
Bài 30: Giá trị của x để phân thức > 0 là?
Lời giải
Đáp án cần chọn là: C
Bài 31: Cho A = . Có bao nhiêu giá trị của x để A = 0?
A. 2
B. 3
C. 1
D. 4
Lời giải
Ta có
x4 - 10x2 + 9 = x4 - x2 - 9x2 + 9 = x2(x2 - 1) - 9(x2 - 1) = (x2 - 1)(x2 - 9)
Vậy có hai giá trị của x thỏa mãn đề bài x = 2; x = -2.
Đáp án cần chọn là: A
Bài 32: Cho B = . Có bao nhiêu giá trị của x để B = 0.
A. 2
B. 3
C. 1
D. 4
Lời giải
Ta có: x4 - 4x2 = x2(x2 - 4) = x2(x - 2)(x + 2)
Điều kiện:
Vậy có bốn giá trị của x thỏa mãn đề bài x = 4; x = -4; x = 1; x = -1.
Đáp án cần chọn là: D
Bài 33: Với x ≠ y, hãy viết phân thức dưới dạng phân thức có tử là x2 - y2?
Lời giải
Ta có:
Đáp án cần chọn là: D
Bài 34: Với x ≠ y, hãy viết phân thức dưới dạng phân thức có mẫu là x5y2(x - y)?
Lời giải
Nhân cả tử và mẫu của phân thức với x4y2(x - y) ta được:
Ta có:
Đáp án cần chọn là: A
Bài 35: Dùng tính chất cơ bản của phân thức, hãy tìm đa thức C biết ?
A. C = x + 2
B. C = x2 + 2
C. C = x(x + 2)
D. C = x(x - 2)
Lời giải
Vậy C = x(x + 2).
Đáp án cần chọn là: C
Bài 36: Cho 4a2 + b2 = 5ab và 2a > b > 0. Tính giá trị của biểu thức: M = .
Lời giải
Ta có:
4a2 + b2 = 5ab ⇔ 4a2 - 5ab + b2 = 0
⇔ 4a2 - 4ab - ab + b2 = 0
⇔ 4a(a - b) - b(a - b) = 0 ⇔ (a - b)(4a - b) = 0
Do 2a > b > 0 ⇒ 4a > b ⇒ 4a - b > 0.
⇒ a - b = 0 ⇔ a = b.
Vậy M = .
Đáp án cần chọn là: B
Bài 37: Với phân thức về phân thức có tử và mẫu là các đa thức với hệ số nguyên?
Lời giải
Nhân cả tử và mẫu của phân thức đã cho với số 3 ta được:
Ta có:
Đáp án cần chọn là: A
Bài 38: Tìm giá trị lớn nhất của phân thức .
A. 4
B. 8
C. 16
D. 2
Lời giải
Ta có: x2 - 2x + 5 = x2 - 2x + 1 + 4 = (x - 1)2 + 4
Vì (x - 1)2 ≥ 0; "x nên (x - 1)2 + 4 ≥ 4
Suy ra: ⇔ P ≤ 4
Dấu “=” xảy ra ⇔ (x - 1)2 = 0 ⇔ x = 1
Vậy với x = 1 thì P đạt giá trị lớn nhất là 4.
Đáp án cần chọn là: A
Bài 39: Cho ad = bc (cd ≠ 0; c2 ≠ 3d2). Khi đó bằng?
Lời giải
Ta xét: (a2 - 3b2)cd = a2cd - 3b2cd = ac. ad - 3bd. bc
= ac. ad - 3bd. ad = ad. (ac - 3bd) (1) (do ad = bc)
Và (c2 - 3d2)ab = c2ab - 3d2ab = ac. bc - 3bd. ad
= ac. ad - 3bd. ad = ad(ac - 3bd) (2) (do ad = bc)
Từ (1) và (2) suy ra: (a2 - 3b2)cd = (c2 - 3d2)ab
Từ đó ta có:
Đáp án cần chọn là: C
Bài 40: Cho a > b > 0. Chọn câu đúng?
Lời giải
Do a > b > 0 nên a + b > 0; a - b > 0
Ta có:
Nhân cả tử và mẫu của phân thức với (a - b) ta được:
(do 0 < a2 - b2 < a2 + b2)
Đáp án cần chọn là: D
(199k) Học Toán 8 KNTTHọc Toán 8 CTSTHọc Toán 8 CD
Xem thêm các bài tập trắc nghiệm Toán lớp 8 có đáp án chi tiết hay khác:
- Trắc nghiệm Rút gọn phân thức
- Trắc nghiệm Quy đồng mẫu thức nhiều phân thức
- Trắc nghiệm Phép cộng các phân thức đại số
- Trắc nghiệm Phép nhân các phân thức đại số
Xem thêm các loạt bài Để học tốt Toán lớp 8 hay khác:
Tủ sách VIETJACK shopee lớp 6-8 (2025):
Đã có app VietJack trên điện thoại, giải bài tập SGK, SBT Soạn văn, Văn mẫu, Thi online, Bài giảng....miễn phí. Tải ngay ứng dụng trên Android và iOS.
Theo dõi chúng tôi miễn phí trên mạng xã hội facebook và youtube:Loạt bài Lý thuyết & 700 Bài tập Toán lớp 8 có lời giải chi tiết có đầy đủ Lý thuyết và các dạng bài có lời giải chi tiết được biên soạn bám sát nội dung chương trình sgk Đại số 8 và Hình học 8.
Nếu thấy hay, hãy động viên và chia sẻ nhé! Các bình luận không phù hợp với nội quy bình luận trang web sẽ bị cấm bình luận vĩnh viễn.
- Giải Tiếng Anh 8 Global Success
- Giải sgk Tiếng Anh 8 Smart World
- Giải sgk Tiếng Anh 8 Friends plus
- Lớp 8 - Kết nối tri thức
- Soạn văn 8 (hay nhất) - KNTT
- Soạn văn 8 (ngắn nhất) KNTT
- Giải sgk Toán 8 - KNTT
- Giải sgk Khoa học tự nhiên 8 - KNTT
- Giải sgk Lịch Sử 8 - KNTT
- Giải sgk Địa Lí 8 - KNTT
- Giải sgk Giáo dục công dân 8 - KNTT
- Giải sgk Tin học 8 - KNTT
- Giải sgk Công nghệ 8 - KNTT
- Giải sgk Hoạt động trải nghiệm 8 - KNTT
- Giải sgk Âm nhạc 8 - KNTT
- Lớp 8 - Chân trời sáng tạo
- Soạn văn 8 (hay nhất) - CTST
- Soạn văn 8 (ngắn nhất) - CTST
- Giải sgk Toán 8 - CTST
- Giải sgk Khoa học tự nhiên 8 - CTST
- Giải sgk Lịch Sử 8 - CTST
- Giải sgk Địa Lí 8 - CTST
- Giải sgk Giáo dục công dân 8 - CTST
- Giải sgk Tin học 8 - CTST
- Giải sgk Công nghệ 8 - CTST
- Giải sgk Hoạt động trải nghiệm 8 - CTST
- Giải sgk Âm nhạc 8 - CTST
- Lớp 8 - Cánh diều
- Soạn văn 8 Cánh diều (hay nhất)
- Soạn văn 8 Cánh diều (ngắn nhất)
- Giải sgk Toán 8 - Cánh diều
- Giải sgk Khoa học tự nhiên 8 - Cánh diều
- Giải sgk Lịch Sử 8 - Cánh diều
- Giải sgk Địa Lí 8 - Cánh diều
- Giải sgk Giáo dục công dân 8 - Cánh diều
- Giải sgk Tin học 8 - Cánh diều
- Giải sgk Công nghệ 8 - Cánh diều
- Giải sgk Hoạt động trải nghiệm 8 - Cánh diều
- Giải sgk Âm nhạc 8 - Cánh diều


Giải bài tập SGK & SBT
Tài liệu giáo viên
Sách
Khóa học
Thi online
Hỏi đáp

