20+ Bài tập trắc nghiệm Quy đồng mẫu thức nhiều phân thức lớp 8 (có đáp án)
Với bài tập trắc nghiệm Quy đồng mẫu thức nhiều phân thức lớp 8 có lời giải chi tiết sẽ giúp học sinh ôn tập, biết cách làm bài tập trắc nghiệm Quy đồng mẫu thức nhiều phân thức
20+ Bài tập trắc nghiệm Quy đồng mẫu thức nhiều phân thức lớp 8 (có đáp án)
(199k) Học Toán 8 KNTTHọc Toán 8 CTSTHọc Toán 8 CD
Bài 1: Mẫu thức chung của các phân thức là?
A. x(x2 - 1)
B. x(x - 1)2
C. x2 - 1
D. x(x - 1)
Lời giải
Mẫu chung của các phân thức là
(x + 1)(x - 1). x = x(x2 - 1).
Đáp án cần chọn là: A
Bài 2: Mẫu thức chung của các phân thức là?
A. 12x2y3
B. 12x2y4
C. 6x3y2
D. 12x4y
Lời giải
Các mẫu thức lần lượt là: 6x2y; x2y3; 12xy4
Ta có phần hệ số của mẫu thức chung là BCNN(6; 12) = 12
Phần biến số là: x2y4
Suy ra mẫu chung của các phân thức là 12x2y4.
Đáp án cần chọn là: B
Bài 3: Đa thức nào sau đây là mẫu thức chung của các phân thức ?
A. (x - y)2
B. x - y
C. 3(x - y)2
D. 3(x - y)3
Lời giải
Mẫu thức của hai phân thức là 3(x - y)2 và (x - y)
Nên mẫu thức chung có phần hệ số là 3, phần biến số là (x - y)3 ⇒ Mẫu thức chung 3(x - y)2.
Đáp án cần chọn là: C
Bài 4: Đa thức nào sau đây là mẫu thức chung của các phân thức ?
A. (x + 3)3
B. 3(x + 3)2
C. 3(x + 3)3
D. (x + 3)4
Lời giải
Mẫu thức của hai phân thức là (x + 3)3 và 3(x + 3).
Nên mẫu thức chung có phần hệ số là 3, phần biến số là (x + 3)3 ⇒ Mẫu thức chung 3(x + 3)3.
Đáp án cần chọn là: C
Bài 5: Các phân thức có mẫu chung là?
A. (x - 2)(x + 2)2
B. (2 - x)(x - 2)2(x + 2)2
C. (x - 2)2(x + 2)2
D. (x - 2)2
Lời giải
Ta có các phân thức có mẫu lần lượt là (x - 2)2; (x + 2)2; x - 2.
Nên mẫu thức chung là (x - 2)2.(x + 2)2.
Đáp án cần chọn là: C
Bài 6: Các phân thức có mẫu chung là?
A. 4(x + 3)2
B. 4(x - 3)(x + 3)
C. (x - 3)(x + 3)`
D. 4(x - 3)2
Lời giải
Ta có các phân thức: có mẫu lần lượt là:
4x - 12 = 4(x - 3); 4x + 12 = 4(x + 3); 9 - x2 = -(x - 3)(x + 3)
Nên mẫu thức chung có phần hệ số là 4 và phần biến số là (x - 3)(x + 3).
Hay mẫu thức chung là 4(x - 3)(x + 3).
Đáp án cần chọn là: B
Bài 7: Chọn câu sai?
A. Mẫu thức chung của các phân thức là 5x(x - 2)(x + 3)?
B. Mẫu thức chung của các phân thức là 62y3.
C. Mẫu thức chung của các phân thức là x2 - 1.
D. Mẫu thức chung của các phân thức là (x + 2)2(x - 2)2.
Lời giải
+ Hai phân thức có mẫu là 5(x - 2)(x + 3); x(x + 3) nên mẫu thức chung là 5x(x - 2)(x + 3), do đó A đúng.
+ Các phân thức có mẫu là 2x2y; 3xy3; 6y nên mẫu thức chung là 6x2y3, do đó B đúng.
+ Các phân thức có mẫu là x - 1; x + 1; x2 - 1. Ta có x2 - 1 = (x - 1)(x + 1) nên mẫu thức chung là (x - 1)(x + 1) = x2 - 1, do đó C đúng.
+ Các phân thức có mẫu là (x - 2)2; (x + 2)2; (x - 2)3 nên mẫu thức chung là (x - 2)3(x + 2)2, do đó D sai.
Đáp án cần chọn là: D
Bài 8: Chọn câu sai?
A. Mẫu thức chung của các phân thức là 12a.
B. Mẫu thức chung của các phân thức là 18ab.
C. Mẫu thức chung của các phân thức là (x2 - 1)(x - 1).
D. Mẫu thức chung của các phân thức là 3x(x - 2y)4.
Lời giải
+ Hai phân thức có mẫu là 3a; 4 nên mẫu thức chung là 12a, do đó A đúng.
+ Các phân thức có mẫu là 6a; 18ab; 9b nên mẫu thức chung là 18ab, do đó B đúng.
+ Các phân thức có mẫu là
x2 + 2x + 1 = (x + 1)2; x2 - 1 = (x - 1)(x + 1). Nên mẫu thức chung là (x - 1)(x + 1)2 = (x2 - 1)(x + 1), do đó C sai.
+ Các phân thức có mẫu là (x - 2y)2; (x - 2y)4; 3x nên mẫu thức chung là 3x(x - 2y)4, do đó D đúng.
Đáp án cần chọn là: C
Bài 9: Đa thức 12(x - 1)(x - 2)2 là mẫu chung của các đa thức nào sau đây?
Lời giải
+ Ta có BCNN của 3 và 4 là 12 nên các phân thức mẫu chung là 12(x - 1)(x - 2)2. do đó A đúng.
+ Các phân thức có mẫu thức chung là 6(x - 1)(x - 2)3, do đó B sai.
+ Ta có x2 - 4 = (x - 2)(x + 2) nên mẫu chung của các phân thức là 12(x - 2)(x + 2)(x - 1) = 12(x2 - 4)(x - 1), do đó C sai.
+ Vì BCNN của 3 và 5 là 15 nên mẫu thức chung của các phân thức là 15(x - 2)3(x - 1) do đó D sai.
Đáp án cần chọn là: A
Bài 10: Đa thức xy(x - y)(x + y) là mẫu chung của các đa thức nào sau đây?
Lời giải
+ Các phân thức có mẫu lần lượt là x2 + xy = x(x + y); xy - y2 = y(x - y); y2 - x2 = -(x - y)(x + y) nên có mẫu chung là xy(x - y)(x + y), do đó A đúng.
+ Các phân thức có mẫu lần lượt là x2 - y2 = (x - y)(x + y); 2x - 2y = 2(x - y) nên mẫu thức chung là 2(x - y)(x + y), do đó B sai.
+ Các phân thức có mẫu lần lượt là (x - y)2; x + y; y2 nên mẫu thức chung là y2(x + y)(x - y)2, do đó C sai.
+ Các phân thức có mẫu lần lượt là 5(x - y); 3x + 3y = 3(x + y); x2 - y2 = (x - y)(x + y). Vì BCNN của 3 và 5 là 15 nên mẫu thức chung của các phân thức trên là 15(x - y)(x + y), do đó D sai.
Đáp án cần chọn là: A
Bài 11: Quy đồng mẫu thức của các phân thức ta được:
Lời giải
Ta có x2 - 1 = (x - 1)(x + 1) và BCNN(2;3) = 6 nên các phân thức có mẫu chung là 6(x - 1)(x + 1) = 6(x2 - 1).
* Nên nhân tử phụ của là 2(x + 1) ⇒
* Nhân tử phụ của là 3(x - 1) ⇒ .
* Nhân tử phụ của là 6 ⇒
Đáp án cần chọn là: D
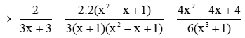
Bài 12: Quy đồng mẫu thức các phân thức ta được các phân thức lần lượt là?
Lời giải
Ta có: x3 + 1 = (x + 1)(x2 - x + 1); 3x + 3 = 3(x + 1); 2x2 - 2x + 2 = 2(x2 - x + 1) và BCNN(2;3) = 6 nên các phân thức có mẫu chung là 6(x + 1)(x2 - x + 1) = 6(x3 + 1).
* Nên nhân tử phụ
* Nhân tử phụ của là 2(x2 - x + 1)
* Nhân tử phụ của là 3(x + 1)
Đáp án cần chọn là: C
Bài 13: Cho ba phân thức . Chọn khẳng định đúng?
Lời giải
Đáp án cần chọn là: B
Bài 14: Cho ba phân thức . Chọn khẳng định đúng?
Lời giải
BCNN (5;4) = 20 nên mẫu chung các phân thức là 20x2y2z2.
Nhân tử phụ lần của 3 phân thức lần lượt là 4yz; 5x2z; 20x2y
Đáp án cần chọn là: A
Bài 15: Cho . Điền vào chỗ trống để được các phân thức có cùng mẫu. Hãy chọn câu đúng?
A. 4x; x + 2
B. 2x; x + 2
C. 4x; x + 1
D. 4x2; x + 2
Lời giải
Ta có mẫu thức chung của hai phân thức là 2x(x + 2) = 2x2 + 4x
Do đó nhân cả tử và mẫu của phân thức với 2x ta được:
Nhân cả tử và mẫu của phân thức với (x + 2) ta được:
Vậy các đa thức cần điền lần lượt là 4x; x + 2.
Đáp án cần chọn là: A
Bài 16: Cho . Điền vào chỗ trống để được các phân thức có cùng mẫu. Hãy chọn câu đúng?
A. 8x + 8; 3x2 + 3
B. 4x + 8; 3x2 + 3x
C. 8x + 1; 3x2 + x
D. 4x + 4; 3x2 + 3x
Lời giải
Ta có:
x2 + 3x + 2 = x2 + 2x + x + 2 = x(x + 2) + (x + 2) = (x + 1)(x + 2)
x2 + 4x + 4 = (x + 2)2.
Ta có mẫu thức chung của hai phân thức là (x + 1)(x + 2)2.
Do đó nhân cả tử và mẫu của phân thức với (x + 2) ta được:
Nhân cả tử và mẫu của phân thức với (x + 1) ta được:
Vậy các đa thức cần điền lần lượt là 4x + 8; 3x2 + 3x.
Đáp án cần chọn là: B
Bài 17: Để có các phân thức có cùng mẫu, ta cần điền vào các chỗ trống:
Các đa thức lần lượt là?
A. x2(x + 1); 3x3
B. x(x + 1); 3x2
C. x(x - 1); 3x2
D. x + 1; 3x3
Lời giải
Đáp án cần chọn là: A
Bài 18: Để có các phân thức có cùng mẫu, ta cần điền vào các chỗ trống
Các đa thức lần lượt là?
A. x - 3; 5x + 10
B. (x - 3)2(x + 5); 5x - 25
C. (x - 3)(x + 5); 5x + 25
D. (x - 3)(x + 5); x + 5
Lời giải
Ta có:
x2 + 8x + 15 = x2 + 5x + 3x + 15 = x(x + 5) + 3(x + 5) = (x + 3)(x + 5)
x2 + 10x + 25 = (x + 5)2.
Mẫu thức chung của hai phân thức sau khi rút gọn là (x + 5)(x - 3).
Các đa thức cần điền lần lượt là (x - 3)(x + 5); 5x + 25.
Đáp án cần chọn là: C
Bài 19: Cho các phân thức .
Bạn Nam nói rằng mẫu thức chung của các phân thức trên là 6(x - 1)(x + 1)2.
Bạn Minh nói rằng mẫu thức chung của các phân thức trên là 4(x - 1)(x + 1
Chọn câu đúng?
A. Bạn Nam đúng, bạn Minh sai.
B. Bạn Nam sai, bạn Minh đúng.
C. Hai bạn đều sai
D. Hai bạn đều đúng.
Lời giải
Ta có:
Ta có BCNN(3;4) = 12 nên mẫu chung của các phân thức trên là 12(x - 1)(x + 1) = 12(x2 - 1).
Do đó cả hai bạn đều sai.
Đáp án cần chọn là: C
Bài 20: Cho các phân thức .
Bạn Mai nói rằng mẫu thức chung của các phân thức trên là (a - b)(b - c)(a - c).
Bạn Nhung nói rằng mẫu thức chung của các phân thức trên là (b - a)(c - b)(c - a).
Chọn câu đúng?
A. Bạn Mai đúng, bạn Nhung sai.
B. Bạn Mai sai, bạn Nhung đúng.
C. Hai bạn đều sai.
D. Hai bạn đều đúng.
Lời giải
Các phân thức có mẫu thức lần lượt là (a - b).(b - c); (c - b)(c - a) = (b - c)(a - c); (b - a)(a - c) = -(a - b)(a - c).
Nên mẫu thức chung của các phân thức trên là (a - b)(b - c)(a - c), do đó bạn Mai nói đúng.
Nhưng ta cũng có thể đổi mẫu chung trên thành -(a - b)(b - c)(c - a) = (b - a)(c - b)(c - a) nên bạn Nhung cũng đúng.
Do đó cả hai bạn đều đúng.
Đáp án cần chọn là: D
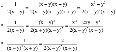
Bài 21: Quy đồng mẫu thức các phân thức sau:
ta được các phân thức lần lượt là:
Lời giải
Ta có:
Ta đem quy đồng các phân số vừa rút gọn được là:
với mẫu thức chung là 2(x - y)2(x + y) ta được:
Vậy các phân thức sau khi rút gọn và quy đồng lần lượt là:
Đáp án cần chọn là: D
(199k) Học Toán 8 KNTTHọc Toán 8 CTSTHọc Toán 8 CD
Xem thêm các bài tập trắc nghiệm Toán lớp 8 có đáp án chi tiết hay khác:
- Trắc nghiệm Phân thức đại số
- Trắc nghiệm Rút gọn phân thức
- Trắc nghiệm Phép cộng các phân thức đại số
- Trắc nghiệm Phép nhân các phân thức đại số
Xem thêm các loạt bài Để học tốt Toán lớp 8 hay khác:
Tủ sách VIETJACK shopee lớp 6-8 (2025):
Đã có app VietJack trên điện thoại, giải bài tập SGK, SBT Soạn văn, Văn mẫu, Thi online, Bài giảng....miễn phí. Tải ngay ứng dụng trên Android và iOS.
Theo dõi chúng tôi miễn phí trên mạng xã hội facebook và youtube:Loạt bài Lý thuyết & 700 Bài tập Toán lớp 8 có lời giải chi tiết có đầy đủ Lý thuyết và các dạng bài có lời giải chi tiết được biên soạn bám sát nội dung chương trình sgk Đại số 8 và Hình học 8.
Nếu thấy hay, hãy động viên và chia sẻ nhé! Các bình luận không phù hợp với nội quy bình luận trang web sẽ bị cấm bình luận vĩnh viễn.
- Giải Tiếng Anh 8 Global Success
- Giải sgk Tiếng Anh 8 Smart World
- Giải sgk Tiếng Anh 8 Friends plus
- Lớp 8 - Kết nối tri thức
- Soạn văn 8 (hay nhất) - KNTT
- Soạn văn 8 (ngắn nhất) KNTT
- Giải sgk Toán 8 - KNTT
- Giải sgk Khoa học tự nhiên 8 - KNTT
- Giải sgk Lịch Sử 8 - KNTT
- Giải sgk Địa Lí 8 - KNTT
- Giải sgk Giáo dục công dân 8 - KNTT
- Giải sgk Tin học 8 - KNTT
- Giải sgk Công nghệ 8 - KNTT
- Giải sgk Hoạt động trải nghiệm 8 - KNTT
- Giải sgk Âm nhạc 8 - KNTT
- Lớp 8 - Chân trời sáng tạo
- Soạn văn 8 (hay nhất) - CTST
- Soạn văn 8 (ngắn nhất) - CTST
- Giải sgk Toán 8 - CTST
- Giải sgk Khoa học tự nhiên 8 - CTST
- Giải sgk Lịch Sử 8 - CTST
- Giải sgk Địa Lí 8 - CTST
- Giải sgk Giáo dục công dân 8 - CTST
- Giải sgk Tin học 8 - CTST
- Giải sgk Công nghệ 8 - CTST
- Giải sgk Hoạt động trải nghiệm 8 - CTST
- Giải sgk Âm nhạc 8 - CTST
- Lớp 8 - Cánh diều
- Soạn văn 8 Cánh diều (hay nhất)
- Soạn văn 8 Cánh diều (ngắn nhất)
- Giải sgk Toán 8 - Cánh diều
- Giải sgk Khoa học tự nhiên 8 - Cánh diều
- Giải sgk Lịch Sử 8 - Cánh diều
- Giải sgk Địa Lí 8 - Cánh diều
- Giải sgk Giáo dục công dân 8 - Cánh diều
- Giải sgk Tin học 8 - Cánh diều
- Giải sgk Công nghệ 8 - Cánh diều
- Giải sgk Hoạt động trải nghiệm 8 - Cánh diều
- Giải sgk Âm nhạc 8 - Cánh diều


Giải bài tập SGK & SBT
Tài liệu giáo viên
Sách
Khóa học
Thi online
Hỏi đáp

