20+ Bài tập trắc nghiệm Rút gọn phân thức lớp 8 (có đáp án)
Với bài tập trắc nghiệm Rút gọn phân thức lớp 8 có lời giải chi tiết sẽ giúp học sinh ôn tập, biết cách làm bài tập trắc nghiệm Rút gọn phân thức
20+ Bài tập trắc nghiệm Rút gọn phân thức lớp 8 (có đáp án)
(199k) Học Toán 8 KNTTHọc Toán 8 CTSTHọc Toán 8 CD
Bài 1: Kết quả rút gọn của phân thức là?
Lời giải
Ta có:
Đáp án cần chọn là: A
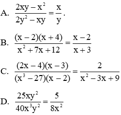
Bài 2: Kết quả rút gọn của phân thức là?
Lời giải
Ta có: .
Đáp án cần chọn là: A
Bài 3: Rút gọn phân thức ta được?
Lời giải
Ta có:
Đáp án cần chọn là: D
Bài 4: Rút gọn phân thức ta được?
Lời giải
Ta có:
Đáp án cần chọn là: B
Bài 5: Cho A = . Khi đó?
A. A = 2
B. A = 3
C. A > 4
D. A = 1
Lời giải
Ta có:
Đáp án cần chọn là: A
Bài 6: Cho T = và a + b = 3. Khi đó?
A. T = 27
B. T = 3
C. T = 9
D. T = 18
Lời giải
Ta có:
Mà a + b = 3 ⇒ T = 3.3 = 9.
Đáp án cần chọn là: C
Bài 7: Chọn câu đúng?
Lời giải
+) nên A sai, B đúng.
+) nên C sai.
+) nên D sai.
Đáp án cần chọn là: B
Bài 8: Chọn câu đúng?
Lời giải
+ nên A sai
+ nên C sai.
+ nên D đúng.
Đáp án cần chọn là: D
Bài 9: Chọn câu sai?
Lời giải
Ta có:
+) nên A đúng.
+) nên B đúng.
+) nên C sai.
+) nên D đúng.
Đáp án cần chọn là: C
Bài 10: Chọn câu sai?
Lời giải
Ta có:
Đáp án cần chọn là: D
Bài 11: Rút gọn phân thức ta được phân thức có tử là?
A. a - b - c
B. a + b + c
C. a - b + c
D. a + b - c
Lời giải
Ta có:
Đáp án cần chọn là: D
Bài 12: Rút gọn phân thức ta được phân thức có tử là?
A. x -3
B. x2 + 3
C. x2 - 3
D. x + 3
Lời giải
Ta có:
Đáp án cần chọn là: C
Bài 13: Rút gọn phân thức ta được phân thức có mẫu là?
Lời giải
Ta có:
Vậy mẫu thức của phân thức đã rút gọn là x + y.
Đáp án cần chọn là: C
Bài 14: Mẫu thức của phân thức sau khi thu gọn có thể là?
Lời giải
Ta có:
Vậy mẫu thức của phân thức đã rút gọn là x - 2y.
Đáp án cần chọn là: D
Bài 15: Tìm x biết a2x - ax + x = a3 + 1?
A. x = a + 1
B. x = 1 - a
C. x = a + 2
D. x = a - 1
Lời giải
Ta có: a2x - ax + x = a3 + 1
⇔ x(a2 - a + 1) = (a + 1)(a2 - a + 1)
⇔ x = a + 1 vì a2 - a + 1 = ≠ 0, ∀a.
Vậy x = a + 1.
Đáp án cần chọn là: A
Bài 16: Tìm x biết a2x + 3ax + 9 = a2 với a ≠ 0; a ≠ -3.
Lời giải
Đáp án cần chọn là: B
Bài 17: Rút gọn phân thức ta được?
Lời giải
Ta có:
Đáp án cần chọn là: C
Bài 18: Phân thức bằng phân thức là?
Lời giải
Ta có:
Đáp án cần chọn là: D
Bài 19: Giá trị biểu thức là?
Lời giải
Đáp án cần chọn là: B
Bài 20: Rút gọn và tính giá trị biểu thức với x = -5; y = 10.
Lời giải
Ta có:
Đáp án cần chọn là: C
Bài 21: Tìm giá trị lớn nhất của biểu thức ?
Lời giải
Ta có:
Mà (x + 1)2 ≥ 0 ⇔ (x + 1)2 + 5 ≥ 5, ∀x. Dấu “=” xảy ra khi x + 1 = 0 ⇔ x = -1
Nên GTNN của (x + 1)2 + 5 là 5 khi x = -1.
Ta có P đạt GTLN ⇔ (x + 1)2 + 5 đạt GTNN.
Hay GTLN của P là ⇔ x = -1.
Đáp án cần chọn là: A
Bài 22: Tìm giá trị lớn nhất của biểu thức .
A. 10
B. 2
C. 5
D. 1/2
Lời giải
Ta có: .
Mà (x - 2)2 ≥ 0 ⇔ (x - 2)2 + 5 ≥ 5, ∀x. Dấu “=” xảy ra khi x - 2 = 0 ⇔ x = 2.
Nên GTNN của (x - 2)2 + 5 là 5 khi x = 2.
Ta có: Q đạt GTLN ⇔ (x - 2)2 + 5 đạt GTNN.
Hay GTLN của Q là = 2 ⇔ x = 2.
Đáp án cần chọn là: B
Bài 23: Với giá trị nào của x thì biểu thức đạt giá trị nhỏ nhất?
A. x = -1
B. x = 0
C. x = 2
D. x = 1
Lời giải
Với x2 + 2x + 1 ≠ 0 ⇔ (x + 1)2 ≠ 0 ⇔ x ≠ -1.
Ta có:
Ta có
với mọi x ≠ -1. Dấu “=” xảy ra khi
⇒ x + 1 = 2 ⇔ x = 1 (TM).
Nên GTNN của Q là ⇔ x = 1.
Đáp án cần chọn là: D
Bài 24: Biểu thức đạt giá trị lớn nhất là?
Lời giải
Với x2 + 4x + 4 ≠ 0 ⇔ (x + 2)2 ≠ 0 ⇔ x ≠ -2. Ta có:
Đáp án cần chọn là: A
Bài 25: Cho P = . Kết luận nào sau đây là đúng?
A. P = .
B. P không phụ thuộc vào x.
C. P không phụ thuộc vào a.
D. P phụ thuộc vào cả a và x.
Lời giải
Ta có:
Đáp án cần chọn là: B
Bài 26: Cho . Kết luận nào sau đây là đúng?
A. Q luôn nhận giá trị không âm với mọi x
B. Giá trị của Q không phụ thuộc vào x
C. Q luôn nhận giá trị dương với mọi x
D. Q luôn nhận giá trị âm với mọi x
Lời giải
Vậy Q luôn nhận giá trị không âm với mọi x.
Đáp án cần chọn là: A
Bài 27: Tìm giá trị nguyên của x để phân thức có giá trị là một số nguyên?
A. x = -3
B. x Є {-1; 1}
C. x Є {-1; 1; -5; -3}
D. x = -1
Lời giải
Điều kiện: x + 2 ≠ 0 ⇔ x ≠ -2.
Ta có: Є Z ⇒ x + 2 ЄƯ(3) = {-1; 1; -3; 3}.
+ x + 2 = -1 ⇔ x = -3 (TM)
+ x + 2 = 1 ⇔ x = -1 (TM)
+ x + 2 = -3 ⇔ x = -5 (TM)
+ x + 2 = 3 ⇔ x = 1 (TM)
Vậy x Є {-1; 1; -5; -3}.
Đáp án cần chọn là: C
Bài 28: Có bao nhiêu giá trị nguyên của x để phân thức có giá trị là một số nguyên?
A. 2
B. 4
C. 1
D. 3
Lời giải
Điều kiện: 2x + 1 ≠ 0 ⇔ 2x ≠ -1 ⇔ x ≠ .
Ta có: Є Z ⇒ 2x + 1 Є Ư(5) = {-1; 1; -5; 5}.
+ 2x + 1 = -1 ⇔ 2x = -2 ⇔ x = -1 (TM)
+ 2x + 1 = 1 ⇔ 2x = 0 ⇔ x = 0 (TM)
+ 2x + 1 = -5 ⇔ 2x = -6 ⇔ x = -3 (TM)
+ 2x + 1 = 5 ⇔ 2x = 4 ⇔ x = 2 (TM)
Vậy x Є {-1; 0; 2; -3}
Đáp án cần chọn là: B
Bài 29: Có bao nhiêu giá trị nguyên của x để phân thức có giá trị nguyên?
A. 4
B. 3
C. 2
D. 1
Lời giải
Vì x Є Z ⇒ x2 + 1 Є Z nên để phân thức trên đạt giá trị nguyên thì Є Z
⇒ 2x + 1 Є Ư(7) = {-7; -1; 1; 7}
+) 2x + 1 = 1 ⇔ x = 0 (TM)
+) 2x + 1 = -1 ⇔ x = -1 (TM)
+) 2x + 1 = 7 ⇔ x = 3 (TM)
+) 2x + 1 = -7 ⇔ x = -4 (TM)
Vậy có 4 giá trị của x thỏa mãn đề bài là 0; -1; 3; -4.
Đáp án cần chọn là: A
Bài 30: Tính giá trị biểu thức tại x = 99 và y = 100.
Lời giải
Thay x = 99 và y = 100 vào ta được:
Đáp án cần chọn là: A
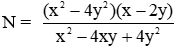
Bài 31: Tính giá trị biểu thức tại x = -9998 và y = -1.
A. N = -9996
B. N = 10000
C. N = -10000
D. N = -19997
Lời giải
Ta có:
Vậy N = x + 2y.
Thay x = -9998 và y = -1 vào N = x + 2y ta được
N = -9998 + 2. (-1) = -10000.
Đáp án cần chọn là: C
Bài 32: Cho a, b, c, d thỏa mãn a + b + c + d = 0; ab + ac + bc = 1. Rút gọn biểu thức?
A. -1
B. 1
C. 3
D. -3
Lời giải
Ta có: a + b + c + d = 0 ⇔ a + b + c = -d
Khi đó ab - cd = ab + c(a + b + c)
= ab + ac + bc + c2 = c2 + 1 (vì ab + bc + ca = 1)
Tương tự ta có bc - ad = bc + a(a + b + c)
= a2 + bc + ab + ac = a2 + 1
Ca - bd = ca + b(a + b + c) = b2 + ac + ab + bc = b2 + 1
Từ đó:
Vậy P = 3.
Đáp án cần chọn là: C
Bài 33: Tính giá trị của phân thức khi a + c - b = 10?
A. 0
B. 1
C. 4
D. 5
Lời giải
Ta có:
a3 - b3 + c3 + 3abc
= (a3 + c3 + 3a2c + 3ac2) - 3a2c - 3ac2 + 3abc - b3
= (a + c)3 - b3 - 3ac(a + c - b)
= (a + c - b)[(a + c)2 + b(a + c) + b2] - 3ac(a + c - b)
= (a + c - b)(a2 + b2 + c2 + ab + bc - ac)
(a + b)2 + (b + c)2 + (c - a)2
= (a2 + 2ab + b2) + (b2 + 2bc + c2) + (c2 - 2ac + a2)
= 2a2 + 2b2 + 2c2 + 2ab + 2bc - 2ac
= 2 (a2 + b2 + c2 + ab + bc - ac)
Đáp án cần chọn là: D
Bài 34: Cho abc ≠ 0; a + b = c. Tính giá trị của biểu thức:
A. -1
B. 1
C. 2
D. -2
Lời giải
Ta có: a + b = c ⇔ (a + b)2 = c2 ⇔ a2 + 2ab + b2 = c2
⇔ c2 - 2bc + b2 = a2 ⇔ b2 + c2 - a2 = 2bc
Từ đó:
Đáp án cần chọn là: A
Bài 35: Tìm giá trị nhỏ nhất của biểu thức
Lời giải
Ta có: Q đạt GTNN ⇔ 8 - (2x - 1)2 đạt GTLN.
Mà (2x - 1)2 ≥ 0 ⇔ 8 - (2x - 1)2 ≤ 8, ∀x. Dấu “=” xảy ra khi 2x - 1 = 0 ⇔ x =
Nên GTLN của 8 - (2x - 1)2 là 8 khi x = .
Hay GTNN của Q là .
Đáp án cần chọn là: C
Bài 36: Rút gọn phân thức ta được?
Lời giải
Vậy B =
khi x ≥ 2; x ≠ 3 và B =
khi x < 2; x ≠ 0.
Đáp án cần chọn là: D
Bài 37: Rút gọn phân thức với 2 < x < 6 ta được?
Lời giải
Với 2 < x < 6 ⇒ x - 2 > 0 và x - 6 < 0.
⇒ |x - 2| = x - 2 và |x - 6| = 6 - x.
Đáp án cần chọn là: C
(199k) Học Toán 8 KNTTHọc Toán 8 CTSTHọc Toán 8 CD
Xem thêm các bài tập trắc nghiệm Toán lớp 8 có đáp án chi tiết hay khác:
- Trắc nghiệm Phân thức đại số
- Trắc nghiệm Quy đồng mẫu thức nhiều phân thức
- Trắc nghiệm Phép cộng các phân thức đại số
- Trắc nghiệm Phép nhân các phân thức đại số
Xem thêm các loạt bài Để học tốt Toán lớp 8 hay khác:
Tủ sách VIETJACK shopee lớp 6-8 (2025):
Đã có app VietJack trên điện thoại, giải bài tập SGK, SBT Soạn văn, Văn mẫu, Thi online, Bài giảng....miễn phí. Tải ngay ứng dụng trên Android và iOS.
Theo dõi chúng tôi miễn phí trên mạng xã hội facebook và youtube:Loạt bài Lý thuyết & 700 Bài tập Toán lớp 8 có lời giải chi tiết có đầy đủ Lý thuyết và các dạng bài có lời giải chi tiết được biên soạn bám sát nội dung chương trình sgk Đại số 8 và Hình học 8.
Nếu thấy hay, hãy động viên và chia sẻ nhé! Các bình luận không phù hợp với nội quy bình luận trang web sẽ bị cấm bình luận vĩnh viễn.
- Giải Tiếng Anh 8 Global Success
- Giải sgk Tiếng Anh 8 Smart World
- Giải sgk Tiếng Anh 8 Friends plus
- Lớp 8 - Kết nối tri thức
- Soạn văn 8 (hay nhất) - KNTT
- Soạn văn 8 (ngắn nhất) KNTT
- Giải sgk Toán 8 - KNTT
- Giải sgk Khoa học tự nhiên 8 - KNTT
- Giải sgk Lịch Sử 8 - KNTT
- Giải sgk Địa Lí 8 - KNTT
- Giải sgk Giáo dục công dân 8 - KNTT
- Giải sgk Tin học 8 - KNTT
- Giải sgk Công nghệ 8 - KNTT
- Giải sgk Hoạt động trải nghiệm 8 - KNTT
- Giải sgk Âm nhạc 8 - KNTT
- Lớp 8 - Chân trời sáng tạo
- Soạn văn 8 (hay nhất) - CTST
- Soạn văn 8 (ngắn nhất) - CTST
- Giải sgk Toán 8 - CTST
- Giải sgk Khoa học tự nhiên 8 - CTST
- Giải sgk Lịch Sử 8 - CTST
- Giải sgk Địa Lí 8 - CTST
- Giải sgk Giáo dục công dân 8 - CTST
- Giải sgk Tin học 8 - CTST
- Giải sgk Công nghệ 8 - CTST
- Giải sgk Hoạt động trải nghiệm 8 - CTST
- Giải sgk Âm nhạc 8 - CTST
- Lớp 8 - Cánh diều
- Soạn văn 8 Cánh diều (hay nhất)
- Soạn văn 8 Cánh diều (ngắn nhất)
- Giải sgk Toán 8 - Cánh diều
- Giải sgk Khoa học tự nhiên 8 - Cánh diều
- Giải sgk Lịch Sử 8 - Cánh diều
- Giải sgk Địa Lí 8 - Cánh diều
- Giải sgk Giáo dục công dân 8 - Cánh diều
- Giải sgk Tin học 8 - Cánh diều
- Giải sgk Công nghệ 8 - Cánh diều
- Giải sgk Hoạt động trải nghiệm 8 - Cánh diều
- Giải sgk Âm nhạc 8 - Cánh diều


Giải bài tập SGK & SBT
Tài liệu giáo viên
Sách
Khóa học
Thi online
Hỏi đáp

