Cách giải phương trình bằng phương pháp đặt ẩn phụ lớp 9 (cực hay)
Bài viết Cách giải phương trình bằng phương pháp đặt ẩn phụ lớp 9 với phương pháp giải chi tiết giúp học sinh ôn tập, biết cách làm bài tập Cách giải phương trình bằng phương pháp đặt ẩn phụ.
Cách giải phương trình bằng phương pháp đặt ẩn phụ lớp 9 (cực hay)
(199k) Xem Khóa học Toán 9 KNTTXem Khóa học Toán 9 CDXem Khóa học Toán 9 CTST
Phương pháp:
1. Sử dụng phương pháp đặt ẩn phụ để giải phương trình chứa căn thức
Ví dụ 1: Giải phương trình
Giải
Ví dụ 2: Giải phương trình
Giải
Khi x = 1 thì x2 - 6x + 6 = 12-6.1 + 6 = 1 > 0 ⇒ x = 1 thỏa mãn điều kiện
Khi x = 5 thì x2 - 6x + 6 = 52-6.5 + 6 = 1 > 0 ⇒ x = 5 thỏa mãn điều kiện
*) Chú ý: Nếu phương trình có dạng thì ta đặt
với t ≥ 0
Ví dụ 3: Giải phương trình
Giải
Điều kiện:
Với t = - 5 không thỏa mãn điều kiện nên loại
Với t = 3 thay vào (*) ta được:
Hai nghiệm x = 1, x = 4 đều thỏa mãn điều kiện của phương trình nên nhận
Vậy phương trình có 2 nghiệm: x = 1, x = 4
*) Chú ý: Nếu phương trình có dạng
thì ta đặt
với t ≥ 0
2. Sử dụng phương pháp đặt ẩn phụ để giải phương trình chứa ẩn ở mẫu
Ví dụ 1: Giải phương trình
Giải
Phương trình (1)
Đặt t = x2 – 4x + 10 (t ≠ 0) .
Khi đó phương trình trở thành:
Vậy phương trình (1) có 2 nghiệm: x = 1, x = 3
Ví dụ 2: Giải phương trình
Giải
Ví dụ 3: Giải phương trình (1)
Giải
3. Dùng phương pháp đặt ẩn phụ để giải phương trình chứa dấu giá trị tuyệt đối
Ví dụ 1: Giải phương trình x2 - 3|x| + 2 = 0
Giải
Đặt t = |x| (t ≥ 0) ⇒ t2 = x2. Khi đó phương trình trở thành:
Với t = 1 ⇒ 1=|x| ⇔ x = ±1
Với t = 2 ⇒ 2=|x| ⇔ x = ±2
Vậy phương trình có 4 nghiệm: x = ±1, x = ±2
Ví dụ 2: Giải phương trình x2 - 2x + |x - 1|-1 = 0 (1)
Giải
Phương trình (1) ⇔ x2 - 2x + 1 + |x - 1| - 2 = 0
⇔ (x - 1)2 + |x - 1| - 2 = 0
Đặt t = |x - 1| (t ≥ 0) ⇒ t2 = (x - 1)2. Khi đó phương trình trở thành
Với t = 1 (thỏa mãn điều kiện t ≥ 0)
Với t = - 2 (không thỏa mãn điều kiện t ≥ 0) ⇒ loại
Vậy phương trình có 2 nghiệm: x = 2, x = 0
Ví dụ 3: Giải phương trình x2 + 6x + |x + 3| + 10 = 0 (1)
Giải
Phương trình (1) ⇔ x2 + 6x + 9 + |x + 3| + 1 = 0
⇔ (x + 3)2 + |x + 3| + 1 = 0
Đặt t = |x + 3| (t ≥ 0) ⇒ t2 = (x + 3)2. Khi đó phương trình trở thành
t2 + t + 1 = 0 (phương trình vô nghiệm vì ∆ < 0)
4. Dùng phương pháp đặt ẩn phụ để giải phương trình khác
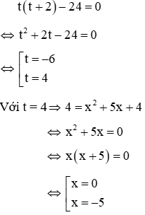
Ví dụ 1: Giải phương trình (x + 1)(x + 4)(x2 + 5x + 6) = 24 (1)
Giải
Phương trình (1) ⇔ (x2 + 5x + 4)(x2 + 5x + 6) - 24 = 0
Đặt t = x2 + 5x + 4 ⇒ t + 2 = x2 + 5x + 6. Khi đó phương trình trở thành
Với t = -6 ⇒ -6 = x2 + 5x + 4 ⇔ x2 + 5x + 10 = 0 (phương trình vô nghiệm)
Ví dụ 2: Giải phương trình (x + 2)2(x2 + 4x) = 5 (1)
Giải
Phương trình (1) ⇔ (x2 + 4x + 4)(x2 + 4x) - 5 = 0
Đặt t = x2 + 4x ⇒ t + 4 = x2 + 4x + 4. Khi đó phương trình trở thành
Với t = - 5 ⇒ - 5 = x2 + 4x ⇔ x2 + 4x + 5 = 0 ( phương trình vô nghiệm)
Vậy phương trình có 2 nghiệm: x = -2 ± √5
Ví dụ 3: Giải phương trình (x2 + 4x + 2)2 + 4x2 + 16x + 11 = 0 (1)
Giải
Phương trình (1) ⇔ (x2 + 4x + 2)2 + 4(x2 + 4x + 2) + 3 = 0
Đặt t = x2 + 4x + 2 ⇒ t2 = (x2 + 4x + 2)2.
Khi đó phương trình trở thành:
Với t = -3 ⇒ -3 = x2 + 4x + 2 ⇔ x2 + 4x + 5 = 0 (phương trình vô nghiệm)
Vậy phương trình có 2 nghiệm: x = -1, x = -3
Bài tập tự luyện
Bài 1. Giải các phương trình sau:
a) x4 + 5x2 – 6 = 0;
b) (x + 1)4 – 5(x + 1)2 – 84 = 0;
c) x - ;
d) .
Bài 2. Giải các phương trình sau:
a)
b)
Bài 3. Cho phương trình: Giải phương trình và so sánh nghiệm của phương trình với 0 (nếu có)
Bài 4. Hai phương trình và . Hãy tính tổng các nghiệm của hai phương trình trên.
Bài 5. Cho phương trình . Tính tích các nghiệm của phương trình.
(199k) Xem Khóa học Toán 9 KNTTXem Khóa học Toán 9 CDXem Khóa học Toán 9 CTST
Xem thêm các dạng bài tập Toán lớp 9 chọn lọc, có đáp án hay khác:
- Phương pháp giải phương trình trùng phương cực hay
- Phương pháp giải phương trình chứa ẩn ở mẫu hay, chi tiết
- Phương pháp giải phương trình đưa về dạng tích cực hay
- Cách giải phương trình bậc ba có một nghiệm cho trước
Tủ sách VIETJACK luyện thi vào 10 cho 2k11 (2026):
Đã có app VietJack trên điện thoại, giải bài tập SGK, SBT Soạn văn, Văn mẫu, Thi online, Bài giảng....miễn phí. Tải ngay ứng dụng trên Android và iOS.
Theo dõi chúng tôi miễn phí trên mạng xã hội facebook và youtube:Loạt bài Chuyên đề: Lý thuyết - Bài tập Toán lớp 9 Đại số và Hình học có đáp án có đầy đủ Lý thuyết và các dạng bài được biên soạn bám sát nội dung chương trình sgk Đại số 9 và Hình học 9.
Nếu thấy hay, hãy động viên và chia sẻ nhé! Các bình luận không phù hợp với nội quy bình luận trang web sẽ bị cấm bình luận vĩnh viễn.
- Giải Tiếng Anh 9 Global Success
- Giải sgk Tiếng Anh 9 Smart World
- Giải sgk Tiếng Anh 9 Friends plus
- Lớp 9 Kết nối tri thức
- Soạn văn 9 (hay nhất) - KNTT
- Soạn văn 9 (ngắn nhất) - KNTT
- Giải sgk Toán 9 - KNTT
- Giải sgk Khoa học tự nhiên 9 - KNTT
- Giải sgk Lịch Sử 9 - KNTT
- Giải sgk Địa Lí 9 - KNTT
- Giải sgk Giáo dục công dân 9 - KNTT
- Giải sgk Tin học 9 - KNTT
- Giải sgk Công nghệ 9 - KNTT
- Giải sgk Hoạt động trải nghiệm 9 - KNTT
- Giải sgk Âm nhạc 9 - KNTT
- Giải sgk Mĩ thuật 9 - KNTT
- Lớp 9 Chân trời sáng tạo
- Soạn văn 9 (hay nhất) - CTST
- Soạn văn 9 (ngắn nhất) - CTST
- Giải sgk Toán 9 - CTST
- Giải sgk Khoa học tự nhiên 9 - CTST
- Giải sgk Lịch Sử 9 - CTST
- Giải sgk Địa Lí 9 - CTST
- Giải sgk Giáo dục công dân 9 - CTST
- Giải sgk Tin học 9 - CTST
- Giải sgk Công nghệ 9 - CTST
- Giải sgk Hoạt động trải nghiệm 9 - CTST
- Giải sgk Âm nhạc 9 - CTST
- Giải sgk Mĩ thuật 9 - CTST
- Lớp 9 Cánh diều
- Soạn văn 9 Cánh diều (hay nhất)
- Soạn văn 9 Cánh diều (ngắn nhất)
- Giải sgk Toán 9 - Cánh diều
- Giải sgk Khoa học tự nhiên 9 - Cánh diều
- Giải sgk Lịch Sử 9 - Cánh diều
- Giải sgk Địa Lí 9 - Cánh diều
- Giải sgk Giáo dục công dân 9 - Cánh diều
- Giải sgk Tin học 9 - Cánh diều
- Giải sgk Công nghệ 9 - Cánh diều
- Giải sgk Hoạt động trải nghiệm 9 - Cánh diều
- Giải sgk Âm nhạc 9 - Cánh diều
- Giải sgk Mĩ thuật 9 - Cánh diều


Giải bài tập SGK & SBT
Tài liệu giáo viên
Sách
Khóa học
Thi online
Hỏi đáp

