Phương pháp giải phương trình chứa ẩn ở mẫu lớp 9 (hay, chi tiết)
Bài viết Phương pháp giải phương trình chứa ẩn ở mẫu lớp 9 với phương pháp giải chi tiết giúp học sinh ôn tập, biết cách làm bài tập Phương pháp giải phương trình chứa ẩn ở mẫu.
Phương pháp giải phương trình chứa ẩn ở mẫu hay, chi tiết
(199k) Xem Khóa học Toán 9 KNTTXem Khóa học Toán 9 CDXem Khóa học Toán 9 CTST
A. Phương pháp giải
Thực hiện các bước sau:
Bước 1: Tìm điều kiện xác định của phương trình.
Bước 2: Quy đồng mẫu thức hai vế rồi khử mẫu thức.
Bước 3: Giải phương trình vừa nhận được.
Bước 4: Trong các giá trị tìm được của ẩn, loại các giá trị không thoả mãn điều kiện xác định, các giá trị thoả mãn điều kiện xác định là nghiệm của phương trình đã cho.
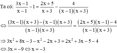
Ví dụ: Giải phương trình:
Giải
⇒ Phương trình có 2 nghiệm có 2 nghiệm phân biệt:
Vậy phương trình đã cho có 2 nghiệm: x1 = 4, x2 = -5
⇒ Phương trình có 2 nghiệm:
Vậy phương trình đã cho có 1 nghiệm: x = 8
B. Bài tập
Câu 1: Số nghiệm của phương trình là
A. 0
B. 1
C. 2
D. 4
Giải
Điều kiện: x ≠ -2
Ta thấy x = 17 thỏa mãn điều kiện.
Vậy phương trình có nghiệm x = 17
Đáp án đúng là B
Câu 2: Khẳng định nào sau đây đúng về nghiệm của phương trình
A. Phương trình (1) vô nghiệm
B. Phương trình (1có một nghiệm dương
C. Phương trình (1) có một nghiệm âm
D. Phương trình (1) có nghiệm hai nghiệm trái dấu
Giải
Phương trình (1)
Điều kiện: x ≠ 2 và x ≠ 0
Ta thấy x = 0 không thỏa mãn điều kiện → loại
Ta thấy x = -1thỏa mãn điều kiện → nhận
Vậy phương trình có 1 nghiệm x = -1
Đáp án đúng là C
Câu 3: Số nghiệm của phương trình là
A. 0
B. 2
C. 3
D. 4
Giải
Phương trình (1)
Điều kiện: x ≠ -3 và x ≠ 1
Ta thấy x = -3 không thỏa mãn điều kiện.
Vậy phương trình vô nghiệm
Đáp án đúng là A
Câu 4: Số nghiệm của phương trình là
A. 0
B. 2
C. 1
D. 3
Giải
Điều kiện: x ≠ -3, x ≠ -2 và x ≠ 5
Ta thấy x = -1 thỏa mãn điều kiện.
Vậy phương trình có 1 nghiệm
Đáp án đúng là C
Câu 5: Tích các nghiệm của phương trình là
A. -2
B. -3
C. -6
D. -10
Giải
Vì x2 + x + 1 > 0 với mọi x nên phương trình (1) luôn xác định với mọi x
Đặt t = x2 + x + 1 (t > 0). Khi đó phương trình trở thành t2 – 6t – 7 = 0
Đây là phương trình bậc hai có: a – b + c = 0 nên có 2 nghiệm
t1 = -1(không thỏa mãn t > 0), t2 = 7 (thỏa mãn t > 0)
Vậy phương trình có 2 nghiệm: x = -3, x = 2
Tích hai nghiệm là: (-3).2 = - 6
Đáp án đúng là C
Câu 6: Tổng các nghiệm của phương trình (1) là:
A. -5
B. -6
C. -8
D. -9
Giải
Phương trình (1) được viết lại là:
Điều kiện: x ≠ -2 ; x ≠ -3 ; x ≠ -4 ; x ≠ -5 ; x ≠ -6 ; x ≠ -7
Vậy tổng các nghiệm của phương trình là: 0 + (-9) = -9
Đáp án đúng là D
Câu 7: Tổng các nghiệm của phương trình là
A. 1
B. 2
C. 3
D. 4
Giải
Phương trình (2) . Điều kiện: x ≠ -2
⇒ x2 + 2x + 4 = -4x - 8
⇔ x2+6x + 12=0 (vô nghiệm)
Phương trình (3) . Điều kiện: x ≠ -2
⇒ x2 + 2x + 4 = 4x + 8
(thỏa mãn x ≠ -2)
Đáp án đúng là B
(199k) Xem Khóa học Toán 9 KNTTXem Khóa học Toán 9 CDXem Khóa học Toán 9 CTST
Xem thêm các dạng bài tập Toán lớp 9 chọn lọc, có đáp án hay khác:
- Phương pháp giải phương trình trùng phương cực hay
- Phương pháp giải phương trình đưa về dạng tích cực hay
- Cách giải phương trình bằng phương pháp đặt ẩn phụ cực hay
- Cách giải phương trình bậc ba có một nghiệm cho trước
Tủ sách VIETJACK luyện thi vào 10 cho 2k11 (2026):
Đã có app VietJack trên điện thoại, giải bài tập SGK, SBT Soạn văn, Văn mẫu, Thi online, Bài giảng....miễn phí. Tải ngay ứng dụng trên Android và iOS.
Theo dõi chúng tôi miễn phí trên mạng xã hội facebook và youtube:Loạt bài Chuyên đề: Lý thuyết - Bài tập Toán lớp 9 Đại số và Hình học có đáp án có đầy đủ Lý thuyết và các dạng bài được biên soạn bám sát nội dung chương trình sgk Đại số 9 và Hình học 9.
Nếu thấy hay, hãy động viên và chia sẻ nhé! Các bình luận không phù hợp với nội quy bình luận trang web sẽ bị cấm bình luận vĩnh viễn.
- Giải Tiếng Anh 9 Global Success
- Giải sgk Tiếng Anh 9 Smart World
- Giải sgk Tiếng Anh 9 Friends plus
- Lớp 9 Kết nối tri thức
- Soạn văn 9 (hay nhất) - KNTT
- Soạn văn 9 (ngắn nhất) - KNTT
- Giải sgk Toán 9 - KNTT
- Giải sgk Khoa học tự nhiên 9 - KNTT
- Giải sgk Lịch Sử 9 - KNTT
- Giải sgk Địa Lí 9 - KNTT
- Giải sgk Giáo dục công dân 9 - KNTT
- Giải sgk Tin học 9 - KNTT
- Giải sgk Công nghệ 9 - KNTT
- Giải sgk Hoạt động trải nghiệm 9 - KNTT
- Giải sgk Âm nhạc 9 - KNTT
- Giải sgk Mĩ thuật 9 - KNTT
- Lớp 9 Chân trời sáng tạo
- Soạn văn 9 (hay nhất) - CTST
- Soạn văn 9 (ngắn nhất) - CTST
- Giải sgk Toán 9 - CTST
- Giải sgk Khoa học tự nhiên 9 - CTST
- Giải sgk Lịch Sử 9 - CTST
- Giải sgk Địa Lí 9 - CTST
- Giải sgk Giáo dục công dân 9 - CTST
- Giải sgk Tin học 9 - CTST
- Giải sgk Công nghệ 9 - CTST
- Giải sgk Hoạt động trải nghiệm 9 - CTST
- Giải sgk Âm nhạc 9 - CTST
- Giải sgk Mĩ thuật 9 - CTST
- Lớp 9 Cánh diều
- Soạn văn 9 Cánh diều (hay nhất)
- Soạn văn 9 Cánh diều (ngắn nhất)
- Giải sgk Toán 9 - Cánh diều
- Giải sgk Khoa học tự nhiên 9 - Cánh diều
- Giải sgk Lịch Sử 9 - Cánh diều
- Giải sgk Địa Lí 9 - Cánh diều
- Giải sgk Giáo dục công dân 9 - Cánh diều
- Giải sgk Tin học 9 - Cánh diều
- Giải sgk Công nghệ 9 - Cánh diều
- Giải sgk Hoạt động trải nghiệm 9 - Cánh diều
- Giải sgk Âm nhạc 9 - Cánh diều
- Giải sgk Mĩ thuật 9 - Cánh diều


Giải bài tập SGK & SBT
Tài liệu giáo viên
Sách
Khóa học
Thi online
Hỏi đáp

