Phương pháp giải phương trình đưa về dạng tích lớp 9 (cực hay)
Bài viết Phương pháp giải phương trình đưa về dạng tích lớp 9 với phương pháp giải chi tiết giúp học sinh ôn tập, biết cách làm bài tập Phương pháp giải phương trình đưa về dạng tích.
Phương pháp giải phương trình đưa về dạng tích lớp 9 (cực hay)
(199k) Xem Khóa học Toán 9 KNTTXem Khóa học Toán 9 CDXem Khóa học Toán 9 CTST
A. Phương pháp giải
Để giải phương trình đưa về dạng tích ta làm như sau:
B1: Chuyển vế, phân tích vế trái thành nhân tử, vế phải bằng không
B2: Xét từng nhân tử bằng không để tìm nghiệm
Ví dụ: Giải các phương trình sau
a. (x – 2)( 2x + 10) = 0
b. x3 - 3x2 - 3x - 4 = 0
c. (x – 1)3 + x3 + (x + 1)3 + (x – 2)3 = 0
Giải
a.
Vậy phương trình có 2 nghiệm: x = 2, x = -5
Vậy phương trình có nghiệm x = 4
B. Bài tập
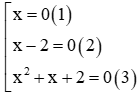
Câu 1: Số nghiệm của phương trình x(x – 2)(x2 + x + 2) = 0 là
A. 0
B. 1
C. 2
D. 3
Giải
Phương trình x(x – 2)(x2 + x + 2) = 0 ⇔
Phương trình (1) có nghiệm x = 0
Phương trình (2) có nghiệm x = 2
Phương trình (3) có ∆ = 12 – 4.1.2 = -7 < 0 nên phương trình vô nghiệm
Vậy phương trình đã cho có 2 nghiệm
Đáp án là C
Câu 2: Tổng các nghiệm của phương trình (x2 + 2x - 5)2 = (x2 - x + 5)2 là
Giải
Phương trình (x2 + 2x - 5)2 = (x2 - x + 5)2
⇔ (x2 + 2x - 5)2 - (x2 - x + 5)2 = 0
⇔ [(x2 + 2x - 5) - (x2 - x + 5)][(x2 + 2x - 5) + (x2 - x + 5)] = 0
⇔ (3x – 10)(2x2 + x) = 0
Đáp án là A
Câu 3: Nghiệm lớn nhất của phương trình 2x3 – 7x2 + 4x + 1 = 0
Giải
Phương trình 2x3 – 7x2 + 4x + 1 = 0
⇔ (2x3 – 5x2 – x) – (2x2 – 5x – 1) = 0
⇔ x(2x2 – 5x – 1) – (2x2 – 5x – 1) = 0
⇔ (2x2 – 5x – 1)(x – 1) = 0
Phương trình (1) có nghiệm x = 1
Phương trình (2) có ∆ = (-5)2 – 4.2.(-1) = 25 + 8 = 33 > 0 nên phương trình có 2 nghiệm phân biệt:
Vậy nghiệm lớn nhất của phương trình là:
Đáp án là C
Câu 4: Tích các nghiệm của phương trình x4 – x2 + 2x - 1 = 0
A. -1
B. 2
C. -2
D. 3
Giải
Phương trình (1) có ∆ = 12 – 4.1.(-1) = 5 > 0 nên có 2 nghiệm phân biệt:
Phương trình (2) có ∆ = (-1)2 – 4.1.1 = -3 < 0 nên vô nghiệm
Vậy phương trình có 2 nghiệm:
Suy ra tích các nghiệm của phương trình là:
Đáp án là A
Câu 5: Số nghiệm của phương trình x4 = 24x + 32 là
A. 0
B. 1
C. 2
D. 3
Giải
Phương trình (1) có ∆ = 22 – 4.1.8 = -28 < 0 nên phương trình vô nghiệm
Phương trình (2) có ∆ = (-2)2 – 4.1.(-4) = 20 > 0 nên phương trình có hai nghiệm phân biệt:
Vậy phương trình đã cho có 2 nghiệm
Đáp án là C
Câu 6: Số nghiệm của phương trình x5 + x3 + x2 + 1 = 0 là
A. 0
B. 1
C. 2
D. 3
Giải
Phương trình (1) vô nghiệm
Phương trình (2) ⇔ x3 = -1 ⇔ x = -1
Vậy phương trình có 1 nghiệm
Đáp án là B
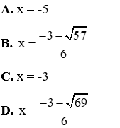
Câu 7: Nghiệm nhỏ nhất của phương trình (x2 - 4)(3x - 2)=(x - 2)(x + 1) là
Giải
Phương trình (1) có nghiệm x = 2
Phương trình (2) có ∆ = 32 – 4.3.(-5) = 69 > 0 nên phương trình có hai nghiệm phân biệt:
Vậy nghiệm nhỏ nhất của phương trình là:
Đáp án đúng là D
Câu 8: Số nghiệm của phương trình là
A. 0
B. 1
C. 2
D. 3
Giải
Phương trình (1) có nghiệm x = 1 (thỏa mãn điều kiện)
Thử lại ta thấy x = 1 là nghiệm của phương trình (2) và thỏa mãn điều kiện nên nhận
x = 6 không là nghiệm của phương trình (2) nên loại
Vậy phương trình có 1 nghiệm x = 1
Đáp án là B
Câu 9: Phương trình (x2 + x - 2)2 + (x - 1)4 = 0 sau khi đưa về phương trình tích là phương trình nào sau đây
Giải
Đáp án đúng là B
(199k) Xem Khóa học Toán 9 KNTTXem Khóa học Toán 9 CDXem Khóa học Toán 9 CTST
Xem thêm các dạng bài tập Toán lớp 9 chọn lọc, có đáp án hay khác:
- Phương pháp giải phương trình trùng phương cực hay
- Phương pháp giải phương trình chứa ẩn ở mẫu hay, chi tiết
- Cách giải phương trình bằng phương pháp đặt ẩn phụ cực hay
- Cách giải phương trình bậc ba có một nghiệm cho trước
Tủ sách VIETJACK luyện thi vào 10 cho 2k11 (2026):
Đã có app VietJack trên điện thoại, giải bài tập SGK, SBT Soạn văn, Văn mẫu, Thi online, Bài giảng....miễn phí. Tải ngay ứng dụng trên Android và iOS.
Theo dõi chúng tôi miễn phí trên mạng xã hội facebook và youtube:Loạt bài Chuyên đề: Lý thuyết - Bài tập Toán lớp 9 Đại số và Hình học có đáp án có đầy đủ Lý thuyết và các dạng bài được biên soạn bám sát nội dung chương trình sgk Đại số 9 và Hình học 9.
Nếu thấy hay, hãy động viên và chia sẻ nhé! Các bình luận không phù hợp với nội quy bình luận trang web sẽ bị cấm bình luận vĩnh viễn.
- Giải Tiếng Anh 9 Global Success
- Giải sgk Tiếng Anh 9 Smart World
- Giải sgk Tiếng Anh 9 Friends plus
- Lớp 9 Kết nối tri thức
- Soạn văn 9 (hay nhất) - KNTT
- Soạn văn 9 (ngắn nhất) - KNTT
- Giải sgk Toán 9 - KNTT
- Giải sgk Khoa học tự nhiên 9 - KNTT
- Giải sgk Lịch Sử 9 - KNTT
- Giải sgk Địa Lí 9 - KNTT
- Giải sgk Giáo dục công dân 9 - KNTT
- Giải sgk Tin học 9 - KNTT
- Giải sgk Công nghệ 9 - KNTT
- Giải sgk Hoạt động trải nghiệm 9 - KNTT
- Giải sgk Âm nhạc 9 - KNTT
- Giải sgk Mĩ thuật 9 - KNTT
- Lớp 9 Chân trời sáng tạo
- Soạn văn 9 (hay nhất) - CTST
- Soạn văn 9 (ngắn nhất) - CTST
- Giải sgk Toán 9 - CTST
- Giải sgk Khoa học tự nhiên 9 - CTST
- Giải sgk Lịch Sử 9 - CTST
- Giải sgk Địa Lí 9 - CTST
- Giải sgk Giáo dục công dân 9 - CTST
- Giải sgk Tin học 9 - CTST
- Giải sgk Công nghệ 9 - CTST
- Giải sgk Hoạt động trải nghiệm 9 - CTST
- Giải sgk Âm nhạc 9 - CTST
- Giải sgk Mĩ thuật 9 - CTST
- Lớp 9 Cánh diều
- Soạn văn 9 Cánh diều (hay nhất)
- Soạn văn 9 Cánh diều (ngắn nhất)
- Giải sgk Toán 9 - Cánh diều
- Giải sgk Khoa học tự nhiên 9 - Cánh diều
- Giải sgk Lịch Sử 9 - Cánh diều
- Giải sgk Địa Lí 9 - Cánh diều
- Giải sgk Giáo dục công dân 9 - Cánh diều
- Giải sgk Tin học 9 - Cánh diều
- Giải sgk Công nghệ 9 - Cánh diều
- Giải sgk Hoạt động trải nghiệm 9 - Cánh diều
- Giải sgk Âm nhạc 9 - Cánh diều
- Giải sgk Mĩ thuật 9 - Cánh diều


Giải bài tập SGK & SBT
Tài liệu giáo viên
Sách
Khóa học
Thi online
Hỏi đáp

