Cách tính độ dài đường tròn, cung tròn lớp 9 (cực hay)
Bài viết Cách tính độ dài đường tròn, cung tròn lớp 9 với phương pháp giải chi tiết giúp học sinh ôn tập, biết cách làm bài tập Cách tính độ dài đường tròn, cung tròn.
Cách tính độ dài đường tròn, cung tròn lớp 9 (cực hay)
(199k) Xem Khóa học Toán 9 KNTTXem Khóa học Toán 9 CDXem Khóa học Toán 9 CTST
A. Phương pháp giải
Sử dụng các công thức sau để tính độ dài đường tròn và cung tròn:
+ Độ dài đường tròn: C = 2πR hoặc C = πd
Trong đó: C là độ dài đường tròn.
R là bán kính đường tròn.
d là đường kính của đường tròn
+ Độ dài cung tròn no là:
Trong đó: l là độ dài cung tròn no.
R là bán kính đường tròn.
n là số đo độ của góc ở tâm.
B. Ví dụ minh họa
Ví dụ 1 :
a) Tính độ dài cung 60o của một đường tròn có bán kính 2dm.
b) Tính chu vi vành xe đạp có đường kính 650mm.
Hướng dẫn giải
a) Độ dài cung 60o của đường tròn bán kính 2dm là:
.
b) Chu vi vành xe đạp có đường kính 650mm là:
C = π.d = 650π ≈ 2042 mm.
Ví dụ 2 : Cho tam giác ABC , cạnh AB = 4cm, góc . Đường tròn tâm O đường kính AB cắt BC ở D.
a) Chứng minh AD vuông góc với BC
b) Chứng minh rằng đường tròn đường kính AC ( tâm O’) đi qua D.
c) Tính độ dài cung nhỏ BD.
Hướng dẫn giải
a) Vì (góc nội tiếp chắn nửa đường tròn)
⇒ AD ⊥ BC
b) Vì AD ⊥ BC ⇒
⇒ D thuộc đường tròn đường kính AC
Hay đường tròn đường kính AC ( tâm O’) đi qua D.
c) Xét ΔOBD có OB = OD = R và
⇒ ΔOBD đều
⇒
Ta có: O là trung điểm của AB
⇒ (cm ) hay R = 2cm
Độ dài cung nhỏ BD là: (cm).
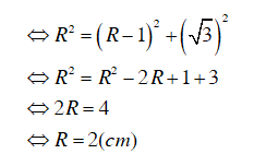
Ví dụ 3 : Cho đường tròn (O) đường kính AB, vẽ dây CD vuông góc với AB tại M. Cho biết .
a) Tính độ dài đường tròn
b) Tính độ dài cung
Hướng dẫn giải
a) Gọi bán kính đường tròn tâm O là R
Ta có: OM + AM = OA
⇒ OM = R - 1 (cm)
Vì đường kính AB vuông góc với dây CD tại M nên M là trung điểm của CD
Xét ΔOMC vuông tại M, ta có: OC2 = CM2 + OM2 ( định lý Py – ta – go)
Độ dài đường tròn là:
b) Xét ΔOMC vuông tại M, ta có:
Vì
Độ dài cung CD là: (cm).
C. Bài tập trắc nghiệm
Câu 1 : Cho cân tại C, có , AC = 10cm. Tính độ dài đường tròn ngoại tiếp ΔABC .
A. 10
B. 10π
C. 20
D. 20π
Hướng dẫn giải
Đáp án D
/p>
Gọi O là tâm đường tròn ngoại tiếp tam giác ABC
Ta có AC = BC nên C là điểm chính giữa cung AB
⇒ CO là phân giác của
⇒
Xét ΔOAC , có: OA = OC và
⇒ ΔOAC đều
⇒ OA = OC = AC = 10cm
Khi đó độ dài đường tròn ngoại tiếp tam giác ABC là: 2π.10 = 20π (cm) .
Câu 2 : Số đo no của cung tròn có độ dài 30,8 cm trên đường tròn có bán kính 22 cm là (lấy π ≅ 3,14 và làm tròn đên độ)
A. 70o
B. 80o
C. 65o
D. 85o
Hướng dẫn giải
Đáp án B
Áp dụng công thức tính độ dài cung tròn , ta được:
.
Câu 3 : Tính độ dài cung 30o của một đường tròn có bán kính 4 dm
Hướng dẫn giải
Đáp án D
Độ dài cung 30o của đường tròn có bán kính 4dm là: .
Câu 4 : Máy cày có hai bánh xe sau lớn hơn hai bánh xe trước. Biết khi bơm căng, bánh xe trước có đường kính 0,8m, bánh xe sau có đường kính 1,5m. Hỏi bánh xe sau lăn được 16 vòng thì bánh xe trước lăn được mấy vòng?
A. 20
B. 30
C. 40
D. 50
Hướng dẫn giải
Đáp án B
Bánh xe lăn được một vòng nghĩa là nó đã đi một độ dài chu vi của bánh xe.
Chu vi bánh xe trước là: C1 = πd = 0,8π (m)
Chu vi bánh xe sau là: C2 = πd = 1,5π (m)
Bánh xe sau lăn được 16 vòng nghĩa là nó đã đi được s = 1,5π.16 = 24π (m)
Khi đó bánh xe trước sẽ lăn được số vòng là: (vòng).
Câu 5 : Cho đường tròn tâm O có chu vi 30π cm. Tính độ dài cung có số đo 90o?
A. 9π
B. 4,5π
C. 7,5π
D. 15π
Hướng dẫn giải
Đáp án C
Ta có: Chu vi đường tròn tâm O: C = 2πR = 30π
Khi đó, độ dài cung có số đo 90o là: .
Câu 6 : Biết độ dài cung 60o là 6π. Tính độ dài cung tròn có số đo 100o.
A. 6π
B. 8π
C. 10π
D. 10,5π
Hướng dẫn giải
Đáp án C
Độ dài cung 60o là:
.
Độ dài cung tròn có số đo 100o là: .
Câu 7 : Cho tam giác ABC có AB = 8cm; AC = 6cm và BC = 10cm. Tính chu vi đường tròn ngoại tiếp tam giác ABC?
A. 8π (cm)
B. 10π (cm)
C. 6π (cm)
D. 12π (cm)
Hướng dẫn giải
Đáp án B
Xét ΔABC , ta có:
BC2 = 102 = 100
AB2 + AC2 = 82 + 62 = 100
⇒ AB2 + AC2 = BC2
Theo định lý Py – ta – go đảo, suy ra: ΔABC vuông tại A
⇒ ΔABC nội tiếp đường tròn đường kính BC
⇒ .
Chu vi đường tròn ngoại tiếp tam giác ABC là: C = 2.π.5 = 10π (cm).
Câu 8 : Cho hình vuông ABCD có độ dài cạnh là 10 cm . Gọi O là tâm đường tròn nội tiếp hình vuông. Gọi M, N lần lượt là trung điểm của AB; BC. Tính độ dài của cung ?
A. 2π (cm)
B. 5π (cm)
C. 2,5π (cm)
D. 7,5π (cm)
Hướng dẫn giải
Đáp án C
Do O là tâm đường tròn nội tiếp hình vuông ABCD nên bán kính đường tròn nội tiếp hình vuông là: .
Ta có
Do đó, độ dài của là:
.
Câu 9 : Xích Đạo là một đường tròn lớn của Trái Đất có độ dài khoảng 40000km. Hãy tính bán kính của Trái Đất.
A. 6366,2
B. 6366,02
C. 6400
D. 12732,4
Hướng dẫn giải
Đáp án A
Áp dụng công thức tính độ dài đường tròn, ta có:
C = 2πR ⇒ 40000 = 2πR ⇒ R ≈ 6366,2 (km).
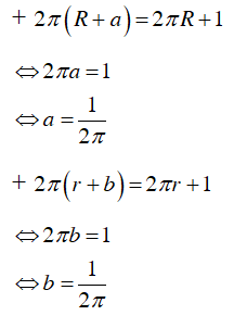
Câu 10 : Cho hai đường tròn có bán kính lần lượt là R = 1km và r = 1m. Nếu độ dài của mỗi đường tròn ấy đều tăng thêm 1m thì bán kính của mỗi đường tròn tăng thêm bao nhiêu?
A.
B. 1
C. π
D. 2
Hướng dẫn giải
Đáp án A
Gọi phần bán kính tăng thêm của đường tròn bán kính R là a, phần tăng thêm của đường tròn bán kính r là b. Nếu độ dài mỗi đường tròn tăng thêm 1m, ta có:
Vậy bán kính mỗi đường tròn đều tăng thêm m.
(199k) Xem Khóa học Toán 9 KNTTXem Khóa học Toán 9 CDXem Khóa học Toán 9 CTST
Xem thêm các dạng bài tập Toán lớp 9 chọn lọc, có lời giải chi tiết hay khác:
- Cách xác định tâm và bán kính đường tròn ngoại tiếp, đường tròn nội tiếp
- Tính các đại lượng liên quan đến đa giác ngoại tiếp, nội tiếp đường tròn
- Tính số đo cung do nhiều cung tạo thành và so sánh độ dài hai cung
- Cách tính diện tích hình tròn, hình quạt tròn cực hay, chi tiết
- Tính diện tích các hình liên quan đến diện tích hình tròn, hình quạt tròn
Tủ sách VIETJACK luyện thi vào 10 cho 2k11 (2026):
Đã có app VietJack trên điện thoại, giải bài tập SGK, SBT Soạn văn, Văn mẫu, Thi online, Bài giảng....miễn phí. Tải ngay ứng dụng trên Android và iOS.
Theo dõi chúng tôi miễn phí trên mạng xã hội facebook và youtube:Loạt bài Chuyên đề: Lý thuyết - Bài tập Toán lớp 9 Đại số và Hình học có đáp án có đầy đủ Lý thuyết và các dạng bài được biên soạn bám sát nội dung chương trình sgk Đại số 9 và Hình học 9.
Nếu thấy hay, hãy động viên và chia sẻ nhé! Các bình luận không phù hợp với nội quy bình luận trang web sẽ bị cấm bình luận vĩnh viễn.
- Giải Tiếng Anh 9 Global Success
- Giải sgk Tiếng Anh 9 Smart World
- Giải sgk Tiếng Anh 9 Friends plus
- Lớp 9 Kết nối tri thức
- Soạn văn 9 (hay nhất) - KNTT
- Soạn văn 9 (ngắn nhất) - KNTT
- Giải sgk Toán 9 - KNTT
- Giải sgk Khoa học tự nhiên 9 - KNTT
- Giải sgk Lịch Sử 9 - KNTT
- Giải sgk Địa Lí 9 - KNTT
- Giải sgk Giáo dục công dân 9 - KNTT
- Giải sgk Tin học 9 - KNTT
- Giải sgk Công nghệ 9 - KNTT
- Giải sgk Hoạt động trải nghiệm 9 - KNTT
- Giải sgk Âm nhạc 9 - KNTT
- Giải sgk Mĩ thuật 9 - KNTT
- Lớp 9 Chân trời sáng tạo
- Soạn văn 9 (hay nhất) - CTST
- Soạn văn 9 (ngắn nhất) - CTST
- Giải sgk Toán 9 - CTST
- Giải sgk Khoa học tự nhiên 9 - CTST
- Giải sgk Lịch Sử 9 - CTST
- Giải sgk Địa Lí 9 - CTST
- Giải sgk Giáo dục công dân 9 - CTST
- Giải sgk Tin học 9 - CTST
- Giải sgk Công nghệ 9 - CTST
- Giải sgk Hoạt động trải nghiệm 9 - CTST
- Giải sgk Âm nhạc 9 - CTST
- Giải sgk Mĩ thuật 9 - CTST
- Lớp 9 Cánh diều
- Soạn văn 9 Cánh diều (hay nhất)
- Soạn văn 9 Cánh diều (ngắn nhất)
- Giải sgk Toán 9 - Cánh diều
- Giải sgk Khoa học tự nhiên 9 - Cánh diều
- Giải sgk Lịch Sử 9 - Cánh diều
- Giải sgk Địa Lí 9 - Cánh diều
- Giải sgk Giáo dục công dân 9 - Cánh diều
- Giải sgk Tin học 9 - Cánh diều
- Giải sgk Công nghệ 9 - Cánh diều
- Giải sgk Hoạt động trải nghiệm 9 - Cánh diều
- Giải sgk Âm nhạc 9 - Cánh diều
- Giải sgk Mĩ thuật 9 - Cánh diều


Giải bài tập SGK & SBT
Tài liệu giáo viên
Sách
Khóa học
Thi online
Hỏi đáp

