Cách xác định tâm và bán kính đường tròn ngoại tiếp, đường tròn nội tiếp
Bài viết Cách xác định tâm và bán kính đường tròn ngoại tiếp, đường tròn nội tiếp lớp 9 với phương pháp giải chi tiết giúp học sinh ôn tập, biết cách làm bài tập Cách xác định tâm và bán kính đường tròn ngoại tiếp, đường tròn nội tiếp.
- Cách giải bài tập xác định tâm và bán kính đường tròn ngoại tiếp, đường tròn nội tiếp
- Ví dụ minh họa xác định tâm và bán kính đường tròn ngoại tiếp, đường tròn nội tiếp
- Bài tập trắc nghiệm xác định tâm và bán kính đường tròn ngoại tiếp, đường tròn nội tiếp
- Bài tập tự luyện xác định tâm và bán kính đường tròn ngoại tiếp, đường tròn nội tiếp
Cách xác định tâm và bán kính đường tròn ngoại tiếp, đường tròn nội tiếp
(199k) Xem Khóa học Toán 9 KNTTXem Khóa học Toán 9 CDXem Khóa học Toán 9 CTST
A. Phương pháp giải
+ Đa giác đều n cạnh có độ dài mỗi cạnh là a, R là bán kính đường tròn ngoại tiếp và r là bán kính đường tròn nội tiếp đa giác. Ta có:
+ Ngoài ra có thể sử dụng hệ thức lượng trong tam giác vuông, định lý Py – ta – go,… để tính R và r.
B. Ví dụ minh họa
Ví dụ 1 : Cho một đa giác đều n cạnh có độ dài mỗi cạnh là a. Hãy tính bán kính R của đường tròn ngoại tiếp và bán kính r của đường tròn nội tiếp đa giác đều đó
Hướng dẫn giải
Giả sử: OA = OB = R, OC = r
Ta có:
Trong tam giác COB, ta có:
Nên
Ta lại có
Ví dụ 2 :
a) Vẽ đường tròn tâm O, bán kính 2cm.
b) Vẽ hình vuông nội tiếp đường tròn (O) ở câu a).
c) Tính bán kính r của đường tròn nội tiếp hình vuông ở câu b) rồi vẽ đường tròn (O; r).
Hướng dẫn giải
a) Chọn điểm O là tâm, mở compa có độ dài 2cm vẽ đường tròn tâm O, bán kính 2cm.
b) Vẽ đường kính AC và BD vuông góc với nhau. Nối A với B, B với C, C với D, D với A ta được tứ giác ABCD là hình vuông nội tiếp đường tròn (O; 2cm).
c) Vẽ OH ⊥ BC.
⇒ OH là khoảng cách từ tâm O đến BC
Vì AB = BC = CD = DA ( ABCD là hình vuông) nên khoảng cách từ tâm O đến AB, BC, CD, DA bằng nhau ( định lý lien hệ giữa dây cung và khoảng cách từ tâm đến dây)
⇒ O là tâm đường tròn nội tiếp hình vuông ABCD
OH là bán kính r của đường tròn nội tiếp hình vuông ABCD.
Tam giác vuông OBC có OH là đường trung tuyến ⇒ .
Xét tam giác vuông OHB có : .
Vẽ đường tròn (O; OH). Đường tròn này nội tiếp hình vuông, tiếp xúc bốn cạnh hình vuông tại các trung điểm của mỗi cạnh.
Ví dụ 3 :
a) Vẽ tam giác đều ABC cạnh a = 3cm.
b) Vẽ tiếp đường tròn (O; R) ngoại tiếp tam giác đều ABC. Tính R.
c) Vẽ tiếp đường tròn (O; r) nội tiếp tam giác đều ABC. Tính r.
d) Vẽ tiếp tam giác đều IJK ngoại tiếp đường tròn (O; R).
Hướng dẫn giải
a) Vẽ tam giác đều ABC có cạnh bằng 3cm (dùng thước thẳng và compa).
+ Dựng đoạn thẳng AB = 3cm .
+ Dựng cung tròn (A, 3) và cung tròn (B, 3). Hai cung tròn này cắt nhau tại điểm C.
Nối A với C, B với C ta được tam giác đều ABC cạnh 3cm.
b) * Vẽ đường tròn:
Tâm O của đường tròn ngoại tiếp tam giác đều ABC là giao điểm của ba đường trung trực.
Dựng đường trung trực của đoạn thẳng BC và CA.
Hai đường trung trực cắt nhau tại O.
Vẽ đường tròn tâm O, bán kính OA = OB = OC ta được đường tròn ngoại tiếp tam giác ABC.
* Tính bán kính đường tròn.
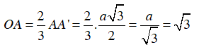
+ Gọi A’ là trung điểm BC ⇒
và AA’ ⊥ BC
⇒ .
+ Do tam giác ABC là tam giác đều nên 3 đường trung trực đồng thời là ba đường trung tuyến
⇒ Giao điểm ba đường trung trực cũng là giao điểm ba đường trung tuyến
Suy ra O là trọng tâm tam giác ABC.
⇒
Vậy R = (cm).
c) * Vẽ đường tròn:
Gọi A’; B’; C’ lần lượt là chân đường phân giác trong ứng với các góc
Do tam giác ABC là tam giác đều nên A’; B’; C’ đồng thời là trung điểm BC; CA; AB.
Đường tròn (O; r) là đường tròn tâm O; bán kính OA’ = OB’ = OC’.
* Tính r:
Vậy
d) Vẽ các tiếp tuyến với đường tròn (O; R) tại A, B, C. Ba tiếp tuyến này cắt nhau tại I, J, K. Ta có ΔIJK là tam giác đều ngoại tiếp (O; R).
C. Bài tập trắc nghiệm
Câu 1 : Cho hình vuông sau,
Nhận xét nào sau đây đúng?
A. Bán kính đường tròn ngoại tiếp luôn lớn hơn bán kính đường tròn nội tiếp của hình vuông đó.
B. Bán kính đường tròn ngoại tiếp luôn bằng bán kính đường tròn nội tiếp của hình vuông đó.
C. Bán kính đường tròn ngoại tiếp luôn nhỏ hơn bán kính đường tròn nội tiếp của hình vuông đó.
D. Bán kính đường tròn ngoại tiếp luôn bằng một nửa bán kính đường tròn nội tiếp của hình vuông đó.
Hướng dẫn giải
Đáp án A
Hướng dẫn giải
Xét hình vuông ABCD có tâm O, kẻ OM ⊥ CD (M ∈ CD)
Lúc đó OD là bán kính đường tròn ngoại tiếp, OM là bán kính đường tròn nội tiếp hình vuông ABCD
ΔOMD vuông tại M nên OD ≥ OM (1)
Giả sử OD = OM khi đó đường tròn nội tiếp và đường tròn ngoại tiếp là hai đường tròn có chung tâm O và độ dài hai bán kính bằng nhau nên chúng trùng nhau.
Lúc đó không tồn tại hình vuông vừa có đỉnh trên đường tròn (O) vừa có cạnh tiếp xúc với đường tròn (O)
Do đó OD ≠ OM kết hợp với (1) ta có OD > OM (đpcm).
Câu 2 : Cho lục giác đều ABCDEF có tâm O. Đặt R, r lần lượt là bán kính đường tròn ngoại tiếp và nội tiếp lục giác. Viết biểu thức liên hệ giữa R và r.
Hướng dẫn giải
Đáp án B
Lục giác đều ABCDEF nên chia đường tròn ngoại tiếp thành 6 cung bằng nhau, suy ra
Tam giác AOF cân tại O có nên ΔAOF đều
Vẽ đường cao AH của ΔAOF
Khi đó
Xét ΔAOH vuông tại H nên
Câu 3 : Đường tròn nội tiếp hình vuông cạnh a có bán kính là
Hướng dẫn giải
Đáp án C
Áp dụng công thức:
Câu 4 : Cho tam giác ABC có AB = 6cm; BC= 10 cm và AC = 8cm. Tâm đường tròn ngoại tiếp tam giác ABC là điểm nào?
A. Trung điểm AB
B. Trung điểm BC
C. Trung điểm AC
D. Trọng tâm tam giác ABC
Hướng dẫn giải
Đáp án B
Xét ΔABC , có:
BC2 = 102 = 100
AB2 + AC2 = 62 + 82 = 100
⇒ BC2 = AB2 + AC2
Theo định lý Py – ta – go đảo suy ra tam giác ABC vuông tại A
⇒
⇒ A, B, C nội tiếp đường tròn đường kính BC hay đường tròn ngoại tiếp tam giác ABC có tâm là trung điểm của BC.
Câu 5 : Cho tam giác ABC cân tại A, có và BC = 6cm. Tính bán kính đường tròn ngoại tiếp tam giác ABC.
Hướng dẫn giải
Đáp án B
Gọi O là tâm đường tròn ngoại tiếp tam giác ABC, H là giao điểm của OA và BC
Xét tam giác OAC, có OA = OC
Suy ra tam giác OAC cân tại O
Ta có ΔABC cân tại A
AO là tia phân giác của
⇒
⇒ ΔOAC đều
Đặt OA = OC = AC = x,
Vì OA là đường trung trực của BC nên H là trung điểm của BC
⇒
Vì CH ⊥ OA nên CH cũng là đường trung tuyến nên H là trung điểm của AO
⇒
Xét ΔCHA vuông tại H, ta có :
AC2 = AH2 + CH2 (định lý Py – ta – go)
Vậy bán kính đường tròn ngoại tiếp tam giác ABC là .
Câu 6 : Hình nào trong các hình dưới đây không có đường tròn nội tiếp
A. Hình chữ nhật
B. Hình vuông
C. Hình tam giác
D. Hình tam giác đều
Hướng dẫn giải
Đáp án A
Hình chữ nhật chỉ có đường tròn ngoại tiếp, không có đường tròn nội tiếp.
Câu 7 : Cho tam giác ABC vuông cân tại A. Gọi R là bán kính đường tròn ngoại tiếp; r là bán kính đường tròn nội tiếp tam giác ABC. Tính tỉ số (làm tròn đến số thập phân thứ hai).
A. 0,5
B. 0,44
C. 0,41
D. 0,42
Hướng dẫn giải
Đáp án C
Tam giác ABC vuông cân tại A, gọi O là trung điểm của BC
⇒ O là tâm đường tròn ngoại tiếp tam giác ABC
Gọi I là tâm đường tròn nội tiếp tam giác ABC
⇒ I thuộc phân giác góc BAC
Mà tam giác ABC vuông cân tại A nên đường trung tuyến AO trùng với đường phân giác AI, hơn nữa AO BC.
Ta có BI là tia phân giác của
Xét ΔIOB vuông tại O, ta có:
D. Bài tập tự luyện
Bài 1. Cho tam giác đều ABC cạnh bằng 2cm. Tính bán kính của đường tròn ngoại tiếp tam giác ABC.
Bài 2. Cho hình chữ nhật ABCD có AB = 12cm, BC = 5cm. Chứng minh bốn điểm A, B ,C, D cùng nằm trên một đường tròn. Tính bán kính đường tròn đó.
Bài 3. Cho góc và điểm B nằm trên tia Ax sao chọn AB = 3cm.
a) Dựng đường tròn (O) đi qua A và B sao cho tâm O nằm trên tia Ay;
b) Tính bán kính đường tròn (O).
Bài 4. Cho tam giác ABC vuông tại A , có cạnh AB < AC và đường cao AH (điểm H thuộc cạnh huyền BC). Lấy điểm D thỏa mãn điều kiện H là trung điểm của BD. Gọi điểm E là chân đường vuông góc hạ từ điểm C xuống đường thẳng AD. Chứng minh rằng tứ giác AHEC nội tiếp và hãy xác định vị trí tâm O của đường tròn ngoại tiếp tứ giác AHEC.
Bài 5. Cho tam giác nhọn ABC nội tiếp đường tròn (O; R). AD, BE, CF lần lượt là các đường cao của tam giác ABC và các đoạn thẳng này cắt nhau tại H.
a) Chứng minh rằng bốn điểm B, F, E, C cùng thuộc một đường tròn;
b) Kẻ đường kính AK của đường tròn (O). Tứ giác BHCK là hình gì? Vì sao?
c) Chứng minh H là tâm đường tròn nội tiếp tam giác DEF.
(199k) Xem Khóa học Toán 9 KNTTXem Khóa học Toán 9 CDXem Khóa học Toán 9 CTST
Xem thêm các dạng bài tập Toán lớp 9 chọn lọc, có lời giải chi tiết hay khác:
- Tính các đại lượng liên quan đến đa giác ngoại tiếp, nội tiếp đường tròn
- Cách tính độ dài đường tròn, cung tròn cực hay, chi tiết
- Tính số đo cung do nhiều cung tạo thành và so sánh độ dài hai cung
- Cách tính diện tích hình tròn, hình quạt tròn cực hay, chi tiết
- Tính diện tích các hình liên quan đến diện tích hình tròn, hình quạt tròn
Tủ sách VIETJACK luyện thi vào 10 cho 2k11 (2026):
Đã có app VietJack trên điện thoại, giải bài tập SGK, SBT Soạn văn, Văn mẫu, Thi online, Bài giảng....miễn phí. Tải ngay ứng dụng trên Android và iOS.
Theo dõi chúng tôi miễn phí trên mạng xã hội facebook và youtube:Loạt bài Chuyên đề: Lý thuyết - Bài tập Toán lớp 9 Đại số và Hình học có đáp án có đầy đủ Lý thuyết và các dạng bài được biên soạn bám sát nội dung chương trình sgk Đại số 9 và Hình học 9.
Nếu thấy hay, hãy động viên và chia sẻ nhé! Các bình luận không phù hợp với nội quy bình luận trang web sẽ bị cấm bình luận vĩnh viễn.
- Giải Tiếng Anh 9 Global Success
- Giải sgk Tiếng Anh 9 Smart World
- Giải sgk Tiếng Anh 9 Friends plus
- Lớp 9 Kết nối tri thức
- Soạn văn 9 (hay nhất) - KNTT
- Soạn văn 9 (ngắn nhất) - KNTT
- Giải sgk Toán 9 - KNTT
- Giải sgk Khoa học tự nhiên 9 - KNTT
- Giải sgk Lịch Sử 9 - KNTT
- Giải sgk Địa Lí 9 - KNTT
- Giải sgk Giáo dục công dân 9 - KNTT
- Giải sgk Tin học 9 - KNTT
- Giải sgk Công nghệ 9 - KNTT
- Giải sgk Hoạt động trải nghiệm 9 - KNTT
- Giải sgk Âm nhạc 9 - KNTT
- Giải sgk Mĩ thuật 9 - KNTT
- Lớp 9 Chân trời sáng tạo
- Soạn văn 9 (hay nhất) - CTST
- Soạn văn 9 (ngắn nhất) - CTST
- Giải sgk Toán 9 - CTST
- Giải sgk Khoa học tự nhiên 9 - CTST
- Giải sgk Lịch Sử 9 - CTST
- Giải sgk Địa Lí 9 - CTST
- Giải sgk Giáo dục công dân 9 - CTST
- Giải sgk Tin học 9 - CTST
- Giải sgk Công nghệ 9 - CTST
- Giải sgk Hoạt động trải nghiệm 9 - CTST
- Giải sgk Âm nhạc 9 - CTST
- Giải sgk Mĩ thuật 9 - CTST
- Lớp 9 Cánh diều
- Soạn văn 9 Cánh diều (hay nhất)
- Soạn văn 9 Cánh diều (ngắn nhất)
- Giải sgk Toán 9 - Cánh diều
- Giải sgk Khoa học tự nhiên 9 - Cánh diều
- Giải sgk Lịch Sử 9 - Cánh diều
- Giải sgk Địa Lí 9 - Cánh diều
- Giải sgk Giáo dục công dân 9 - Cánh diều
- Giải sgk Tin học 9 - Cánh diều
- Giải sgk Công nghệ 9 - Cánh diều
- Giải sgk Hoạt động trải nghiệm 9 - Cánh diều
- Giải sgk Âm nhạc 9 - Cánh diều
- Giải sgk Mĩ thuật 9 - Cánh diều


Giải bài tập SGK & SBT
Tài liệu giáo viên
Sách
Khóa học
Thi online
Hỏi đáp

