Tính diện tích các hình liên quan đến diện tích hình tròn, hình quạt tròn
Bài viết Tính diện tích các hình liên quan đến diện tích hình tròn, hình quạt tròn lớp 9 với phương pháp giải chi tiết giúp học sinh ôn tập, biết cách làm bài tập Tính diện tích các hình liên quan đến diện tích hình tròn, hình quạt tròn.
Tính diện tích các hình liên quan đến diện tích hình tròn, hình quạt tròn
(199k) Xem Khóa học Toán 9 KNTTXem Khóa học Toán 9 CDXem Khóa học Toán 9 CTST
A. Phương pháp giải
Sử dụng linh hoạt các kiến thức đã học để góc ở tâm, bán kính đường tròn. Từ đó sử dụng các công thức tính diện tích hình tròn và quạt tròn để tính diện tích hình cần tìm.
Áp dụng các công thức:
+ Công thức tính diện tích hình tròn: S = πR2
+ Công thức tính diện tích hình quạt tròn bán kính R, cung no : hay
.
B. Ví dụ minh họa
Ví dụ 1 : Một đám cỏ hình tròn có đường kính 12m, bị cắt thành một lối đi thẳng rộng 3m để lát sỏi. Một cạnh của lối đi này là đường kính của đám cỏ. Tìm diện tích đám cỏ còn lại.
Hướng dẫn giải
Ta có các dây AB, CD tạo thành lối đi
Vì AB//CD
OH là bề rộng của lối đi nên OH = 3m.
Đường kính đường tròn là 12m, nên bán kính là 6m
Xét ΔOHC vuông tại H, ta có:
Diện tích ΔCOD là:
Diện tích hình quạt AOC là:
Diện tích lối đi: .
Diện tích hình tròn là:
Diện tích đám cỏ còn lại là: .
Ví dụ 2 : Một đường hầm có mặt cắt vuông góc là một phần đường tròn như hình bên. Mặt cắt này có chiều cao lớn nhất là 5m, chiều rộng . Tính diện tích mặt cắt của đường hầm.
Hướng dẫn giải
Gọi AB là dây cung tương ứng với chiều rộng của mặt cắt đường hầm, C là điểm trên cung nhỏ AB sao cho OC ⊥ AB, H là giao điểm của AB và OC. Khi đó, ta có: H là trung điểm của AB.
Xét ΔOAH vuông tại H, có: OA2 = OH2 + AH2 ( định lý Py – ta – go)
⇒ OH = 5 (m)
Ta lại có:
Diện tích hình quạt AOB là:
Diện tích tam giác AOB là:
Khi đó diện tích mặt cắt hầm là:
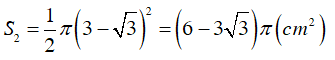
Ví dụ 3 : Cho hình thang ABCD (AD//BC) có: và AD = 4cm. Cạnh BC là đường kính của nửa đường tròn nội tiếp (như hình vẽ). Tính diện tích phần nằm trong hình thang và nằm ngoài nửa hình tròn.
Hướng dẫn giải
Từ B hạ BK ⊥ AD, đặt AK = x
Xét ΔABK vuông tại K, ta có:
Vì H thuộc nửa đường tròn đường kính BC
Mà
Diện tích hình thang ABCD là:
Diện tích nửa hình tròn đường kính BC là:
Diện tích hình cần tìm là: .
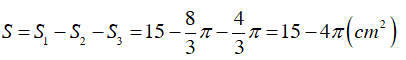
Ví dụ 4 : Cho hai đường tròn (O; 4cm) và (O’; 2cm) tiếp xúc ngoài tại A. Kẻ tiếp tuyến chung ngoài tiếp xúc (O) tại B và (O’) tại C. Tính diện tích phần gạch sọc biết BC = 5cm và
Hướng dẫn giải
Diện tích hình thang OO’CB là:
Diện tích hình quạt OAB là:
Vì O’C//OB ⇒ (hai góc trong cùng phía bù nhau)
⇒
Diện tích hình quạt AO’C là:
Diện tích phần gạch sọc:
Ví dụ 5 : Cho hai đường tròn (O) và (O’) cắt nhau tại A và B. Tâm O nằm trên đường tròn (O’) và tâm O’ nằm trên đường tròn (O). Biết cm. Tìm diện tích phần giao của hai đường tròn.
Hướng dẫn giải
Ta có: OA = OB = OO’ = O’A = O’B
⇒ (O) và (O’) bằng nhau, ΔOAO' ,ΔOBO' đều
Gọi H là giao điểm của OO’ với AB
và
Xét tam giác AHO vuông tại H, ta có:
+
+
Diện tích hình quạt AO’B là :
Diện tích hình tam giác AOB là :
Diện tích cần tìm là : .
(199k) Xem Khóa học Toán 9 KNTTXem Khóa học Toán 9 CDXem Khóa học Toán 9 CTST
Xem thêm các dạng bài tập Toán lớp 9 chọn lọc, có lời giải chi tiết hay khác:
- Cách xác định tâm và bán kính đường tròn ngoại tiếp, đường tròn nội tiếp
- Tính các đại lượng liên quan đến đa giác ngoại tiếp, nội tiếp đường tròn
- Cách tính độ dài đường tròn, cung tròn cực hay, chi tiết
- Tính số đo cung do nhiều cung tạo thành và so sánh độ dài hai cung
- Cách tính diện tích hình tròn, hình quạt tròn cực hay, chi tiết
Tủ sách VIETJACK luyện thi vào 10 cho 2k11 (2026):
Đã có app VietJack trên điện thoại, giải bài tập SGK, SBT Soạn văn, Văn mẫu, Thi online, Bài giảng....miễn phí. Tải ngay ứng dụng trên Android và iOS.
Theo dõi chúng tôi miễn phí trên mạng xã hội facebook và youtube:Loạt bài Chuyên đề: Lý thuyết - Bài tập Toán lớp 9 Đại số và Hình học có đáp án có đầy đủ Lý thuyết và các dạng bài được biên soạn bám sát nội dung chương trình sgk Đại số 9 và Hình học 9.
Nếu thấy hay, hãy động viên và chia sẻ nhé! Các bình luận không phù hợp với nội quy bình luận trang web sẽ bị cấm bình luận vĩnh viễn.
- Giải Tiếng Anh 9 Global Success
- Giải sgk Tiếng Anh 9 Smart World
- Giải sgk Tiếng Anh 9 Friends plus
- Lớp 9 Kết nối tri thức
- Soạn văn 9 (hay nhất) - KNTT
- Soạn văn 9 (ngắn nhất) - KNTT
- Giải sgk Toán 9 - KNTT
- Giải sgk Khoa học tự nhiên 9 - KNTT
- Giải sgk Lịch Sử 9 - KNTT
- Giải sgk Địa Lí 9 - KNTT
- Giải sgk Giáo dục công dân 9 - KNTT
- Giải sgk Tin học 9 - KNTT
- Giải sgk Công nghệ 9 - KNTT
- Giải sgk Hoạt động trải nghiệm 9 - KNTT
- Giải sgk Âm nhạc 9 - KNTT
- Giải sgk Mĩ thuật 9 - KNTT
- Lớp 9 Chân trời sáng tạo
- Soạn văn 9 (hay nhất) - CTST
- Soạn văn 9 (ngắn nhất) - CTST
- Giải sgk Toán 9 - CTST
- Giải sgk Khoa học tự nhiên 9 - CTST
- Giải sgk Lịch Sử 9 - CTST
- Giải sgk Địa Lí 9 - CTST
- Giải sgk Giáo dục công dân 9 - CTST
- Giải sgk Tin học 9 - CTST
- Giải sgk Công nghệ 9 - CTST
- Giải sgk Hoạt động trải nghiệm 9 - CTST
- Giải sgk Âm nhạc 9 - CTST
- Giải sgk Mĩ thuật 9 - CTST
- Lớp 9 Cánh diều
- Soạn văn 9 Cánh diều (hay nhất)
- Soạn văn 9 Cánh diều (ngắn nhất)
- Giải sgk Toán 9 - Cánh diều
- Giải sgk Khoa học tự nhiên 9 - Cánh diều
- Giải sgk Lịch Sử 9 - Cánh diều
- Giải sgk Địa Lí 9 - Cánh diều
- Giải sgk Giáo dục công dân 9 - Cánh diều
- Giải sgk Tin học 9 - Cánh diều
- Giải sgk Công nghệ 9 - Cánh diều
- Giải sgk Hoạt động trải nghiệm 9 - Cánh diều
- Giải sgk Âm nhạc 9 - Cánh diều
- Giải sgk Mĩ thuật 9 - Cánh diều


Giải bài tập SGK & SBT
Tài liệu giáo viên
Sách
Khóa học
Thi online
Hỏi đáp

