Dạng toán Liên hệ giữa căn bậc hai và hằng đẳng thức chọn lọc
Với Dạng toán Liên hệ giữa căn bậc hai và hằng đẳng thức chọn lọc môn Toán lớp 9 sẽ giúp học sinh nắm vững lý thuyết, biết phương pháp làm các dạng bài tập từ đó có kế hoạch ôn tập hiệu quả để đạt kết quả cao trong các bài thi môn Toán 9.
Dạng toán Liên hệ giữa căn bậc hai và hằng đẳng thức chọn lọc
(199k) Xem Khóa học Toán 9 KNTTXem Khóa học Toán 9 CDXem Khóa học Toán 9 CTST

I. Lý thuyết
Căn bậc hai của số thực a không âm là số x sao cho x2 = a
Hằng đẳng thức:
* 
* (√A + √B)2 = A + 2√AB + B với A ≥ 0; B ≥ 0
* (√A + B)2 = A + 2√AB + B2 với A ≥ 0
* (√A - √B)2 = A - 2√AB + B với A ≥ 0; B ≥ 0
* (√A - B)2 = A - 2√AB + B2 với A ≥ 0
* A - B2 = (√A - B)(√A - B) với A ≥ 0
* B2 - A = (B - √A)(B + √A) với A ≥ 0
* (√A + √B)3 = (√A)3 + 3.(√A)2√B + 3.√A.(√B)2 + (√B)3
= A√A + 3A√B + 3√AB + B√B với A ≥ 0; B ≥ 0
* (√A - √B)3 = (√A)3 - 3.(√A)2√B + 3.√A.(√B)2 - (√B)3
= A√A - 3A√B + 3√AB - B√B với A ≥ 0; B ≥ 0
* √A3 + √B3 = A√A + B√B = (√A)3 + (√B)3
= (√A + √B)(A - √AB + B) với A ≥ 0; B ≥ 0
* √A3 - √B3 = A√A - B√B = (√A)3 - (√B)3
= (√A - √B)(A + √AB + B) với A ≥ 0; B ≥ 0
II. Các dạng bài tập
Dạng 1: Tính giá trị biểu thức căn bậc 2
Phương pháp giải: Sử dụng hằng đẳng thức:

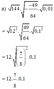
Ví dụ: Thực hiện phép tính

Lời giải:





= (√7 - 1) - (√7 + 1)
= √7 - 1 - √7 - 1
= 2
Dạng 2: Rút gọn các biểu thức chứa căn bậc 2
Phương pháp giải:
Sử dụng các hằng đẳng thức để rút gọn biểu thức
Chú ý: Khi làm bài ta cần chú ý đến điều kiện của biến khi đưa số hạng ra khỏi giá trị tuyệt đối.
Ví dụ: Rút gọn các biểu thức sau
a)
với a ≤ 0
b) B =
với x ≥ 0; x ≠ 9
Lời giải:

Vì a ≤ 0 =>
- 16a = 4.(-4a) - 16a
= -16a - 16a
= -32a
b) B = 

B = 4√x - (√x + 3)
B = 4√x - √x - 3
B = 3√x - 3 với x ≥ 0; x ≠ 9

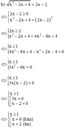
Dạng 3: Sử dụng hằng đẳng thức để giải phương trình có căn
Phương pháp giải:
Sử dụng các phép biến đổi tương đương sau:

Ví dụ: Giải phương trình

Lời giải:

Vậy tập nghiệm của phương trình S =

Vậy nghiệm của phương trình là S =
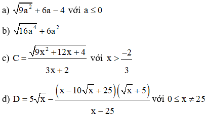
III. Bài tập tự luyện
Bài 1: Thực hiện phép tính

e) 8 - 2√7
f) 
Bài 2: Rút gọn biểu thức căn bậc 2

Bài 3: Giải phương trình


(199k) Xem Khóa học Toán 9 KNTTXem Khóa học Toán 9 CDXem Khóa học Toán 9 CTST
Xem thêm phương pháp giải các dạng bài tập Toán lớp 9 chọn lọc, hay khác:
- Liên hệ giữa phép nhân, phép chia và phép khai phương
- Bài Toán về biến đổi đơn giản biểu thức căn bậc 2
- Căn bậc ba
- Sử dụng biểu thức nhân liên hợp để giải toán chứa căn bậc hai, căn bậc ba
- Giải phương trình chứa dấu căn cực hay
Tủ sách VIETJACK luyện thi vào 10 cho 2k11 (2026):
Đã có app VietJack trên điện thoại, giải bài tập SGK, SBT Soạn văn, Văn mẫu, Thi online, Bài giảng....miễn phí. Tải ngay ứng dụng trên Android và iOS.
Theo dõi chúng tôi miễn phí trên mạng xã hội facebook và youtube:Loạt bài Chuyên đề: Lý thuyết - Bài tập Toán lớp 9 Đại số và Hình học có đáp án có đầy đủ Lý thuyết và các dạng bài được biên soạn bám sát nội dung chương trình sgk Đại số 9 và Hình học 9.
Nếu thấy hay, hãy động viên và chia sẻ nhé! Các bình luận không phù hợp với nội quy bình luận trang web sẽ bị cấm bình luận vĩnh viễn.
- Giải Tiếng Anh 9 Global Success
- Giải sgk Tiếng Anh 9 Smart World
- Giải sgk Tiếng Anh 9 Friends plus
- Lớp 9 Kết nối tri thức
- Soạn văn 9 (hay nhất) - KNTT
- Soạn văn 9 (ngắn nhất) - KNTT
- Giải sgk Toán 9 - KNTT
- Giải sgk Khoa học tự nhiên 9 - KNTT
- Giải sgk Lịch Sử 9 - KNTT
- Giải sgk Địa Lí 9 - KNTT
- Giải sgk Giáo dục công dân 9 - KNTT
- Giải sgk Tin học 9 - KNTT
- Giải sgk Công nghệ 9 - KNTT
- Giải sgk Hoạt động trải nghiệm 9 - KNTT
- Giải sgk Âm nhạc 9 - KNTT
- Giải sgk Mĩ thuật 9 - KNTT
- Lớp 9 Chân trời sáng tạo
- Soạn văn 9 (hay nhất) - CTST
- Soạn văn 9 (ngắn nhất) - CTST
- Giải sgk Toán 9 - CTST
- Giải sgk Khoa học tự nhiên 9 - CTST
- Giải sgk Lịch Sử 9 - CTST
- Giải sgk Địa Lí 9 - CTST
- Giải sgk Giáo dục công dân 9 - CTST
- Giải sgk Tin học 9 - CTST
- Giải sgk Công nghệ 9 - CTST
- Giải sgk Hoạt động trải nghiệm 9 - CTST
- Giải sgk Âm nhạc 9 - CTST
- Giải sgk Mĩ thuật 9 - CTST
- Lớp 9 Cánh diều
- Soạn văn 9 Cánh diều (hay nhất)
- Soạn văn 9 Cánh diều (ngắn nhất)
- Giải sgk Toán 9 - Cánh diều
- Giải sgk Khoa học tự nhiên 9 - Cánh diều
- Giải sgk Lịch Sử 9 - Cánh diều
- Giải sgk Địa Lí 9 - Cánh diều
- Giải sgk Giáo dục công dân 9 - Cánh diều
- Giải sgk Tin học 9 - Cánh diều
- Giải sgk Công nghệ 9 - Cánh diều
- Giải sgk Hoạt động trải nghiệm 9 - Cánh diều
- Giải sgk Âm nhạc 9 - Cánh diều
- Giải sgk Mĩ thuật 9 - Cánh diều


Giải bài tập SGK & SBT
Tài liệu giáo viên
Sách
Khóa học
Thi online
Hỏi đáp

