Sử dụng biểu thức nhân liên hợp để giải toán chứa căn bậc hai, căn bậc ba
Với Sử dụng biểu thức nhân liên hợp để giải toán chứa căn bậc hai, căn bậc ba môn Toán lớp 9 sẽ giúp học sinh nắm vững lý thuyết, biết phương pháp làm các dạng bài tập từ đó có kế hoạch ôn tập hiệu quả để đạt kết quả cao trong các bài thi môn Toán 9.
- Lý thuyết Sử dụng biểu thức nhân liên hợp để giải toán chứa căn bậc hai, căn bậc ba
- Các dạng bài tập Sử dụng biểu thức nhân liên hợp để giải toán chứa căn bậc hai, căn bậc ba
- Bài tập tự luyện Sử dụng biểu thức nhân liên hợp để giải toán chứa căn bậc hai, căn bậc ba
- Bài tập bổ sung Sử dụng biểu thức nhân liên hợp để giải toán chứa căn bậc hai, căn bậc ba
Sử dụng biểu thức nhân liên hợp để giải toán chứa căn bậc hai, căn bậc ba
(199k) Xem Khóa học Toán 9 KNTTXem Khóa học Toán 9 CDXem Khóa học Toán 9 CTST

I. Lý thuyết
Một số biểu thức liên hợp thường gặp:


II. Dạng bài tập
Dạng 1: Sử dụng căn bậc 2, căn bậc 3 để tính giá trị biểu thức.
Phương pháp giải: Sử dụng các phép nhân liên hợp để biến đổi biểu thức ban đầu thành những biểu thức đơn giản hơn sau đó thực hiện theo thứ tự phép tính.
Ví dụ: Tính

Lời giải:


c)
Xét biểu thức:
Cho k các giá trị từ 1; 4; 7;…;97 ta được:

Dạng 2: Sử dụng biểu thức nhân liên hợp để rút gọn biểu thức có chứa căn bậc 2, căn bậc 3.
Phương pháp giải: Dùng biểu thức liên hợp để biến đổi và rút gọn biểu thức.
Ví dụ: Rút gọn biểu thức sau:

Lời giải:




Dạng 3: Chứng minh x0 là nghiệm của phương trình
Phương pháp giải: Dùng các biểu thức liên hợp để đưa nghiệm x0 về số đơn giản có thể tính toán được. Sau đó thay x0 vào phương trình và chứng minh x0 là nghiệm.
Ví dụ: Chứng minh
là nghiệm của phương trình x3 - 6x - 10 = 0
Lời giải:
Ta có:

x03 = 10 + 33√8.x0
x03 = 10 + 3.2.x0
x03 = 10 + 6x0
x03 - 6x0 - 10 = 0
Vậy x0 là nghiệm của phương trình x3 - 6x - 10 = 0.
III. Bài tập tự luyện.
Bài 1: Thực hiện phép tính


Bài 2: Rút gọn biểu thức

Bài 3: Chứng minh
là nghiệm của phương trình x3 - 3x - 18 = 0
Bài 4: Cho
. Tính giá trị biểu thức: A = 5x2 + 6xy + 5y2
IV. Bài tập bổ sung.
Bài 1. Tính
Hướng dẫn giải:
Bài 2. Rút gọn biểu thức với
Hướng dẫn giải:
a) Rút gọn biểu thức N:
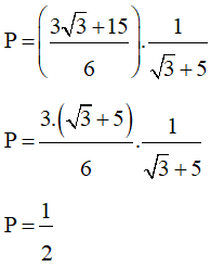
Bài 3. Cho hai biểu thức và . Biết rằng biểu thức P = A : (1 – B). Tìm x để P ≤ 1.
Hướng dẫn giải:
Do P = A : (1 – B) nên
Đến đây xảy ra hai trường hợp:
Vậy 0 ≤ x ≤ 1 hoặc x ≥ 9 để P ≤ 1
Bài 4. Chứng minh rằng giá trị của biểu thức sau không phụ thuộc vào giá trị của biến:
Hướng dẫn giải
Ta có:
Vậy giá trị của biểu thức sau không phụ thuộc vào giá trị của biến.
Bài 5. Cho biểu thức tại x = 3 và . Hãy so sánh biểu thức B với 1?
Hướng dẫn giải
Vậy biểu thức B < 1.
(199k) Xem Khóa học Toán 9 KNTTXem Khóa học Toán 9 CDXem Khóa học Toán 9 CTST
Xem thêm phương pháp giải các dạng bài tập Toán lớp 9 chọn lọc, hay khác:
- Giải phương trình chứa dấu căn cực hay
- Các dạng toán về căn bậc hai lớp 9
- Liên hệ giữa căn bậc hai và hằng đẳng thức
- Liên hệ giữa phép nhân, phép chia và phép khai phương
- Bài Toán về biến đổi đơn giản biểu thức căn bậc 2
Tủ sách VIETJACK luyện thi vào 10 cho 2k11 (2026):
Đã có app VietJack trên điện thoại, giải bài tập SGK, SBT Soạn văn, Văn mẫu, Thi online, Bài giảng....miễn phí. Tải ngay ứng dụng trên Android và iOS.
Theo dõi chúng tôi miễn phí trên mạng xã hội facebook và youtube:Loạt bài Chuyên đề: Lý thuyết - Bài tập Toán lớp 9 Đại số và Hình học có đáp án có đầy đủ Lý thuyết và các dạng bài được biên soạn bám sát nội dung chương trình sgk Đại số 9 và Hình học 9.
Nếu thấy hay, hãy động viên và chia sẻ nhé! Các bình luận không phù hợp với nội quy bình luận trang web sẽ bị cấm bình luận vĩnh viễn.
- Giải Tiếng Anh 9 Global Success
- Giải sgk Tiếng Anh 9 Smart World
- Giải sgk Tiếng Anh 9 Friends plus
- Lớp 9 Kết nối tri thức
- Soạn văn 9 (hay nhất) - KNTT
- Soạn văn 9 (ngắn nhất) - KNTT
- Giải sgk Toán 9 - KNTT
- Giải sgk Khoa học tự nhiên 9 - KNTT
- Giải sgk Lịch Sử 9 - KNTT
- Giải sgk Địa Lí 9 - KNTT
- Giải sgk Giáo dục công dân 9 - KNTT
- Giải sgk Tin học 9 - KNTT
- Giải sgk Công nghệ 9 - KNTT
- Giải sgk Hoạt động trải nghiệm 9 - KNTT
- Giải sgk Âm nhạc 9 - KNTT
- Giải sgk Mĩ thuật 9 - KNTT
- Lớp 9 Chân trời sáng tạo
- Soạn văn 9 (hay nhất) - CTST
- Soạn văn 9 (ngắn nhất) - CTST
- Giải sgk Toán 9 - CTST
- Giải sgk Khoa học tự nhiên 9 - CTST
- Giải sgk Lịch Sử 9 - CTST
- Giải sgk Địa Lí 9 - CTST
- Giải sgk Giáo dục công dân 9 - CTST
- Giải sgk Tin học 9 - CTST
- Giải sgk Công nghệ 9 - CTST
- Giải sgk Hoạt động trải nghiệm 9 - CTST
- Giải sgk Âm nhạc 9 - CTST
- Giải sgk Mĩ thuật 9 - CTST
- Lớp 9 Cánh diều
- Soạn văn 9 Cánh diều (hay nhất)
- Soạn văn 9 Cánh diều (ngắn nhất)
- Giải sgk Toán 9 - Cánh diều
- Giải sgk Khoa học tự nhiên 9 - Cánh diều
- Giải sgk Lịch Sử 9 - Cánh diều
- Giải sgk Địa Lí 9 - Cánh diều
- Giải sgk Giáo dục công dân 9 - Cánh diều
- Giải sgk Tin học 9 - Cánh diều
- Giải sgk Công nghệ 9 - Cánh diều
- Giải sgk Hoạt động trải nghiệm 9 - Cánh diều
- Giải sgk Âm nhạc 9 - Cánh diều
- Giải sgk Mĩ thuật 9 - Cánh diều


Giải bài tập SGK & SBT
Tài liệu giáo viên
Sách
Khóa học
Thi online
Hỏi đáp

