Dạng toán Liên hệ giữa phép nhân, phép chia và phép khai phương
Với Dạng toán Liên hệ giữa phép nhân, phép chia và phép khai phương môn Toán lớp 9 sẽ giúp học sinh nắm vững lý thuyết, biết phương pháp làm các dạng bài tập từ đó có kế hoạch ôn tập hiệu quả để đạt kết quả cao trong các bài thi môn Toán 9.
Dạng toán Liên hệ giữa phép nhân, phép chia và phép khai phương
(199k) Xem Khóa học Toán 9 KNTTXem Khóa học Toán 9 CDXem Khóa học Toán 9 CTST
I. Lý thuyết
1. Khai phương một tích
Ta có: √AB = √A√B với A ≥ 0; B ≥ 0
Tổng quát:
với A1 ≥ 0; A2 ≥ 0;.....;An ≥ 0
2. Khai phương một thương.
với A ≥ 0; B > 0
II. Dạng bài tập
Dạng 1: Thực hiệp phép tính
Phương pháp giải: Áp dụng các công thức khai phương một tích và khai phương một thương
Ví dụ: Thực hiện phép tính.

Lời giải:

= 12 - 12 = 0

Dạng 2: Rút gọn biểu thức
Phương pháp giải: Áp dụng công thức khai căn một tích, khai căn một thương, hằng đẳng thức của căn
Chú ý khi làm cần xét đến điều kiện của căn.
Ví dụ:

Lời giải:




Dạng 3: Giải phương trình
Phương pháp giải:
Sử dụng các phép liên hệ giữa khai căn với phép nhân và phép chia.
Cần chú ý điều kiện của căn thức. Cụ thể là:


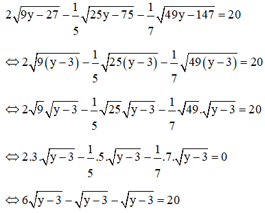
Ví dụ: Giải các phương trình sau:

Lời giải:

Vậy nghiệm của phương trình S =
b)
Điều kiện xác định:

=> y - 3 = 52
⇔ y - 3 = 25
⇔ y = 25 + 3
⇔ y = 28(tm)
Vậy nghiệm của phương trình là S =
III. Bài tập vận dụng
Bài 1: Thực hiện phép tính

Bài 2: Thực hiện phép tính

Bài 3: Rút gọn các biểu thức sau
a) P =
với a ≥ 0;b ≥ 0; a ≠ b
b) Q =
với a ≥ 0;b ≥ 0;
c) M =
với x ≠ -√5
Bài 4: Giải phương trình

IV. Ví dụ minh họa
Bài 1. Tính
a)
b)
c)
d)
Hướng dẫn giải
a)
b)
c)
d)
Bài 2. Thực hiện phép tính
a)
b)
c)
d)
Hướng dẫn giải
a)
b)
c)
d)
Bài 3. Rút gọn biểu thức: với x ≥ 0.
Hướng dẫn giải
Vì x ≥ 0 nên
Ta có:
= = = = =
– Nếu thì
Ta có: (với x ≥ 1)
– Nếu thì
Ta có: (với 0 ≤ x ≤ 1)
Bài 4. Cho biểu thức (với x + y > 0)
a) Rút gọn biểu thức;
b) Tính giá trị biểu thức tại x = 1 và y = 2.
Hướng dẫn giải
a) Rút gọn biểu thức:
Với x + y > 0
Ta có:
Vậy biểu thức rút gọn là
b) Tính giá trị biểu thức tại x = 1 và y = 2.
Thay x = 1 và y = 2 vào biểu thức vừa rút gọn
Vậy giá trị của biểu thức tại x = 1 và y = 2 là
Bài 5. Giải các phương trình sau:
a)
b)
c)
d)
Hướng dẫn giải
a)
Vậy S ={– 2; 12}
b)
Điều kiện xác định:
(không thỏa mãn)
Vậy phương trình vô nghiệm
c)
Điều kiện xác định:
(thỏa mãn)
Vậy phương trình có nghiệm S = {}
d)
Điều kiện xác định:
Kết hợp với điều kiện x =
Vậy phương trình có nghiệm S = {}
(199k) Xem Khóa học Toán 9 KNTTXem Khóa học Toán 9 CDXem Khóa học Toán 9 CTST
Xem thêm phương pháp giải các dạng bài tập Toán lớp 9 chọn lọc, hay khác:
- Bài Toán về biến đổi đơn giản biểu thức căn bậc 2
- Căn bậc ba
- Sử dụng biểu thức nhân liên hợp để giải toán chứa căn bậc hai, căn bậc ba
- Giải phương trình chứa dấu căn cực hay
- Các dạng toán về căn bậc hai lớp 9
Tủ sách VIETJACK luyện thi vào 10 cho 2k11 (2026):
Đã có app VietJack trên điện thoại, giải bài tập SGK, SBT Soạn văn, Văn mẫu, Thi online, Bài giảng....miễn phí. Tải ngay ứng dụng trên Android và iOS.
Theo dõi chúng tôi miễn phí trên mạng xã hội facebook và youtube:Loạt bài Chuyên đề: Lý thuyết - Bài tập Toán lớp 9 Đại số và Hình học có đáp án có đầy đủ Lý thuyết và các dạng bài được biên soạn bám sát nội dung chương trình sgk Đại số 9 và Hình học 9.
Nếu thấy hay, hãy động viên và chia sẻ nhé! Các bình luận không phù hợp với nội quy bình luận trang web sẽ bị cấm bình luận vĩnh viễn.
- Giải Tiếng Anh 9 Global Success
- Giải sgk Tiếng Anh 9 Smart World
- Giải sgk Tiếng Anh 9 Friends plus
- Lớp 9 Kết nối tri thức
- Soạn văn 9 (hay nhất) - KNTT
- Soạn văn 9 (ngắn nhất) - KNTT
- Giải sgk Toán 9 - KNTT
- Giải sgk Khoa học tự nhiên 9 - KNTT
- Giải sgk Lịch Sử 9 - KNTT
- Giải sgk Địa Lí 9 - KNTT
- Giải sgk Giáo dục công dân 9 - KNTT
- Giải sgk Tin học 9 - KNTT
- Giải sgk Công nghệ 9 - KNTT
- Giải sgk Hoạt động trải nghiệm 9 - KNTT
- Giải sgk Âm nhạc 9 - KNTT
- Giải sgk Mĩ thuật 9 - KNTT
- Lớp 9 Chân trời sáng tạo
- Soạn văn 9 (hay nhất) - CTST
- Soạn văn 9 (ngắn nhất) - CTST
- Giải sgk Toán 9 - CTST
- Giải sgk Khoa học tự nhiên 9 - CTST
- Giải sgk Lịch Sử 9 - CTST
- Giải sgk Địa Lí 9 - CTST
- Giải sgk Giáo dục công dân 9 - CTST
- Giải sgk Tin học 9 - CTST
- Giải sgk Công nghệ 9 - CTST
- Giải sgk Hoạt động trải nghiệm 9 - CTST
- Giải sgk Âm nhạc 9 - CTST
- Giải sgk Mĩ thuật 9 - CTST
- Lớp 9 Cánh diều
- Soạn văn 9 Cánh diều (hay nhất)
- Soạn văn 9 Cánh diều (ngắn nhất)
- Giải sgk Toán 9 - Cánh diều
- Giải sgk Khoa học tự nhiên 9 - Cánh diều
- Giải sgk Lịch Sử 9 - Cánh diều
- Giải sgk Địa Lí 9 - Cánh diều
- Giải sgk Giáo dục công dân 9 - Cánh diều
- Giải sgk Tin học 9 - Cánh diều
- Giải sgk Công nghệ 9 - Cánh diều
- Giải sgk Hoạt động trải nghiệm 9 - Cánh diều
- Giải sgk Âm nhạc 9 - Cánh diều
- Giải sgk Mĩ thuật 9 - Cánh diều


Giải bài tập SGK & SBT
Tài liệu giáo viên
Sách
Khóa học
Thi online
Hỏi đáp

