Các dạng toán về căn bậc hai lớp 9 và cách giải
Với Các dạng toán về căn bậc hai lớp 9 và cách giải môn Toán lớp 9 sẽ giúp học sinh nắm vững lý thuyết, biết phương pháp làm các dạng bài tập từ đó có kế hoạch ôn tập hiệu quả để đạt kết quả cao trong các bài thi môn Toán 9.
Các dạng toán về căn bậc hai lớp 9 và cách giải
(199k) Xem Khóa học Toán 9 KNTTXem Khóa học Toán 9 CDXem Khóa học Toán 9 CTST
I. Lý thuyết:
+ Căn bậc hai của một số thực a không âm là x sao cho x2 = a
+ Mỗi số dương a có hai căn bậc hai là √a và -√a;
+ Số 0 có một căn bậc hai là 0
+ Số âm không có căn bậc hai.
Chú ý: Căn bậc hai số học của một số a không âm là √a
+ Nếu a > b ≥ 0 => √a > √b
II. Các dạng bài tập và ví dụ
Dạng 1: Tìm căn bậc hai, căn bậc hai số học của một số cho trước.
Phương pháp giải: Dựa vào định nghĩa chỉ có số thực không âm mới có căn bậc hai.
Nếu a > 0 thì căn bậc hai của a là ±√a và căn bậc hai số học của a là √a.
Nếu a = 0 thì căn bậc hai của a bằng 0.
Nếu a âm thì a không có căn bậc hai.
Ví dụ 1: Các số sau đây số nào không có căn bậc 2?
3,2; -4,4; 0; √13 ;
;17.
Lời giải:
Vì -4,4;
là các số âm nên không có căn bậc hai.
Ví dụ 2: Tìm căn bậc hai và căn bậc hai số học của các số sau:
a) 16 b) 0 c) 0,25 d)
Lời giải:
a) Căn bậc hai của 16 là 4 và -4 vì 42 = 16 và (-4)2 = 16
Căn bậc hai số học của 16 là 4
b) Căn bậc hai của 0 là 0 vì 02 = 0
Căn bậc hai số học của 0 là 0.
c) Căn bậc hai của 0,25 là 0,5 và –0,5 vì 0,52 = 0,25 và (-0,5)2 = 0,25
Căn bậc hai số học của 0,25 là 0,5
d) Căn bậc hai của 
Căn bậc hai số học của 
Dạng 2: Tìm một số khi biết căn bậc hai số học cho trước.
Phương pháp giải: Với số thực không âm a cho trước ta luôn có số là số có căn bậc hai số học bằng a.
Ví dụ 1: Mỗi số sau đây là căn bậc hai số học của số nào?
a) 0,7 b) 7 c)
d) √13
Lời giải:
a) Ta có: (0,7)2 = 0,49 nên 0,49 là số có căn bậc hai số học là 0,7
b) Ta có 72 nên 49 là số có căn bậc hai số học là 7
c) Ta có
nên là số có căn bậc hai số học là 
d) Ta có (√13)2 = 13 nên 13 là số có căn bậc hai số học là √13
Dạng 3: So sánh căn bậc hai số học.
Phương pháp giải: Nếu 0 ≤ a < b ⇔ 0 ≤ √a < √b
Ví dụ 1: So sánh các số sau
a) 3 và 2√2 b) 4 và √14 + 1
Lời giải:
a) Ta có: 32 = 9 và (2√2)2 = 22.2 = 4.2 = 8
Vì 9 > 8 nên √9 > √8
=> 3 > 2√2
b) Ta có: 4 = 3 + 1 vậy để so sánh 4 và √14 + 1 ta đi so sánh 3 và √14
32 = 9. Vì 14 > 9 nên √14 > √19 => √14 > 3 => √14 + 1 > 3 + 1 => √14 + 1 > 4
Ví dụ 2: Tìm số lớn nhất trong các số sau: √14; 2√5; 4
Lời giải:
Ta có: (2√5)2 = 22.5 = 4.5 = 20
42 = 16
Vì 14 < 16 < 20 nên √14 < √16 < √20 => √14 < 2 < 2√5
Vậy số lớn nhất trong các số đã cho là 2√5
Dạng 4: Tính giá trị biểu thức khi có căn bậc hai.
Phương pháp giải: Với a≥ 0 ta có √a2 = a và (√a)2 = a
Ví dụ 1: Tính
a) √0,36 b) (√6)2 c)
Lời giải:
a) Ta có:√0,36 = √(0,6)2 = 0,6
b) Ta có: (√6)2 = 6
c) Ta có:
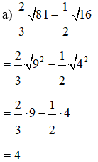
Ví dụ 2: Tính các giá trị biểu thức sau:

Lời giải:

Dạng 5: Tìm điều kiện để căn có nghĩa.
Phương pháp giải:
Biểu thức √A có nghĩa khi và chỉ khi A ≥ 0
Chú ý: Với a là số dương ta luôn có
x2 ≤ 0 ⇔ -a ≤ x ≤ a
Ví dụ: Tìm điều kiện để căn có nghĩa
Lời giải:
a) Ta có để
có nghĩa
⇔
Vì – 2 < 0 nên để
thì 3x - 1 < 0( do mẫu số phải khác 0 nên 3x - 1 ≠ 0 )
3x - 1 < 0
⇔ 3x < 1
⇔ 
Vậy
thì căn có nghĩa
b) Ta có 
Xét x2 - 2x + 4
= x2 - 2x + 1 + 3
= (x2 - 1) + 3 ≥ 3 > 0 với mọi x ∈ R
Do đó
⇔ 3x - 2 ≥ 0
⇔ 3x ≥ 2
⇔ x ≥ 2:3
⇔
Vậy
thì căn đã cho có nghĩa

Dạng 6: Tìm giá trị của x thỏa mãn biểu thức cho trước
Phương pháp giải:
+ x2 = a2 ⇔ x = ±a
+ Với số a ≥ 0, ta có √x = a ⇔ x = a2
Ví dụ 1: Tìm x biết:
a) 16x2 - 25 = 0
b)
Lời giải:
a) 16x2 - 25 = 0
⇔ 16x2 = 0 + 25
⇔ 16x2 = 25
⇔ x2 = 25:16

Vậy x
b)
Điều kiện xác định:

⇔ x
( thỏa mãn điều kiện)
Vậy x
.
Dạng 7: Tìm giá trị lớn nhất hoặc nhỏ nhất
Phương pháp giải:
Bước 1: Tìm điều kiện của căn.
Bước 2: Xét biểu thức trong căn để đưa về biểu thức có thể đánh giá được lớn nhất nhỏ nhất như dùng hằng đẳng thức…
Ví dụ 1: Tìm giá trị nhỏ nhất của 
Lời giải:
Ta có:
x2 - 6x + 13 = x2 - 2.x.3 + 9 + 4
= x2 - 2.x.3 + 32 + 4
= (x - 3)2 + 4
Vì (x - 3)2 ≥ 0
⇔ (x - 3)2 + 4 ≥ 0 + 4
⇔ (x - 3)2 + 4 ≥ 4 > 0 Với ∀x ∈ R
Căn luôn có nghĩa
Mặt khác:
Dấu ‘=’ xảy ra ⇔ x - 3 = 0 ⇔ x = 3
Vậy giá trị nhỏ nhất của căn bằng 2 khi x = 3
Ví dụ 2: Tìm giá trị lớn nhất của căn 
Lời giải:
Ta có:
x2 - 2x + 3
= x2 - 2x + 1 + 2
= (x - 1)2 + 2
Vì (x - 1)2 ≥ 0
(x - 1)2 + 2 ≥ 2 > 0
Lại có:

Dấu bằng xảy ra khi:
(x - 1)2 = 0
⇔ x - 1 = 0
⇔ x = 1
Vậy giá trị lớn nhất của căn đã cho là
khi x = 1
III. Bài tập tự luyện.
Bài 1: Tìm căn bậc hai, căn bậc hai số học của các số sau:
a) 0,81
d) 1,69
Bài 2: Trong các số sau đây số nào có căn bậc hai? Hãy tìm căn bậc hai số học của các số đó.
Bài 3: So sánh các số
a) √13 và 3 b) 4 và 1 + 2√2 c) 5 và 2√6 - 1
Bài 4: Thực hiện phép tính:

Bài 5: Tìm điều kiện để căn có nghĩa

Bài 6: Tìm x biết:
a) 16x2 - 81 = 0
b) -x2 + 144 = 0

Bài 7: Tìm giá trị nhỏ nhất của các căn sau:

Bài 8: Tìm giá trị lớn nhất của các căn sau:

IV. Bài tập bổ sung.
Bài 1. Tìm các căn bậc hai số học của các số sau:
|
a |
0 |
64 |
0,04 |
– 0,36 |
|||
|
|
|
|
|
|
|
|
Hướng dẫn giải:
|
a |
0 |
64 |
0,04 |
– 0,36 |
|||
|
0 |
8 |
0,2 |
Không tồn tại |
Bài 2. Tính
a)
b)
c)
d)
Hướng dẫn giải:
a)
b)
c)
d)
Bài 3. So sánh:
a) 3 và ;
b) 5 và ;
Hướng dẫn giải:
a) Vì 9 < 11 nên . Vậy 3 < .
b) Vì 25 > 5 nên . Vậy 5 > .
Bài 4. Chứng minh.
a) 193 - = (11 - 6)2;
b) .
Hướng dẫn giải:
a) Xét VT =
= = VP
⇒ đpcm.
b) a) Xét VT =
=
=
=
= VP
⇒ đpcm.
Bài 5. Điều kiện để căn thức có nghĩa:
a) ; b) ; c) ; d) .
Hướng dẫn giải:
a) có nghĩa
b) có nghĩa
c) có nghĩa
d) có nghĩa
Bài 6. Giá trị của các biểu thức:
a) b)
c) d)
Bài 7. Chứng minh rằng: .
Bài 8. Với giá trị nào của x thì các căn thức sau có nghĩa:
a) b) c)
d) e) f)
Bài 9. Giải các phương trình:
a) ;
b) ;
c) ;
d) .
Bài 10. Tìm giá trị nhỏ nhất của các biểu thức sau:
a) ;
b) .
(199k) Xem Khóa học Toán 9 KNTTXem Khóa học Toán 9 CDXem Khóa học Toán 9 CTST
Xem thêm phương pháp giải các dạng bài tập Toán lớp 9 chọn lọc, hay khác:
- Liên hệ giữa căn bậc hai và hằng đẳng thức
- Liên hệ giữa phép nhân, phép chia và phép khai phương
- Bài Toán về biến đổi đơn giản biểu thức căn bậc 2
- Căn bậc ba
- Sử dụng biểu thức nhân liên hợp để giải toán chứa căn bậc hai, căn bậc ba
Tủ sách VIETJACK luyện thi vào 10 cho 2k11 (2026):
Đã có app VietJack trên điện thoại, giải bài tập SGK, SBT Soạn văn, Văn mẫu, Thi online, Bài giảng....miễn phí. Tải ngay ứng dụng trên Android và iOS.
Theo dõi chúng tôi miễn phí trên mạng xã hội facebook và youtube:Loạt bài Chuyên đề: Lý thuyết - Bài tập Toán lớp 9 Đại số và Hình học có đáp án có đầy đủ Lý thuyết và các dạng bài được biên soạn bám sát nội dung chương trình sgk Đại số 9 và Hình học 9.
Nếu thấy hay, hãy động viên và chia sẻ nhé! Các bình luận không phù hợp với nội quy bình luận trang web sẽ bị cấm bình luận vĩnh viễn.
- Giải Tiếng Anh 9 Global Success
- Giải sgk Tiếng Anh 9 Smart World
- Giải sgk Tiếng Anh 9 Friends plus
- Lớp 9 Kết nối tri thức
- Soạn văn 9 (hay nhất) - KNTT
- Soạn văn 9 (ngắn nhất) - KNTT
- Giải sgk Toán 9 - KNTT
- Giải sgk Khoa học tự nhiên 9 - KNTT
- Giải sgk Lịch Sử 9 - KNTT
- Giải sgk Địa Lí 9 - KNTT
- Giải sgk Giáo dục công dân 9 - KNTT
- Giải sgk Tin học 9 - KNTT
- Giải sgk Công nghệ 9 - KNTT
- Giải sgk Hoạt động trải nghiệm 9 - KNTT
- Giải sgk Âm nhạc 9 - KNTT
- Giải sgk Mĩ thuật 9 - KNTT
- Lớp 9 Chân trời sáng tạo
- Soạn văn 9 (hay nhất) - CTST
- Soạn văn 9 (ngắn nhất) - CTST
- Giải sgk Toán 9 - CTST
- Giải sgk Khoa học tự nhiên 9 - CTST
- Giải sgk Lịch Sử 9 - CTST
- Giải sgk Địa Lí 9 - CTST
- Giải sgk Giáo dục công dân 9 - CTST
- Giải sgk Tin học 9 - CTST
- Giải sgk Công nghệ 9 - CTST
- Giải sgk Hoạt động trải nghiệm 9 - CTST
- Giải sgk Âm nhạc 9 - CTST
- Giải sgk Mĩ thuật 9 - CTST
- Lớp 9 Cánh diều
- Soạn văn 9 Cánh diều (hay nhất)
- Soạn văn 9 Cánh diều (ngắn nhất)
- Giải sgk Toán 9 - Cánh diều
- Giải sgk Khoa học tự nhiên 9 - Cánh diều
- Giải sgk Lịch Sử 9 - Cánh diều
- Giải sgk Địa Lí 9 - Cánh diều
- Giải sgk Giáo dục công dân 9 - Cánh diều
- Giải sgk Tin học 9 - Cánh diều
- Giải sgk Công nghệ 9 - Cánh diều
- Giải sgk Hoạt động trải nghiệm 9 - Cánh diều
- Giải sgk Âm nhạc 9 - Cánh diều
- Giải sgk Mĩ thuật 9 - Cánh diều


Giải bài tập SGK & SBT
Tài liệu giáo viên
Sách
Khóa học
Thi online
Hỏi đáp

