Cách giải bài tập Đại cương về dòng điện không đổi (hay, chi tiết)
Bài viết Cách giải bài tập Đại cương về dòng điện không đổi với phương pháp giải chi tiết giúp học sinh ôn tập, biết cách làm bài tập Đại cương về dòng điện không đổi.
Cách giải bài tập Đại cương về dòng điện không đổi (hay, chi tiết)
(199k) Xem Khóa học Vật Lí 11 KNTTXem Khóa học Vật Lí 11 CDXem Khóa học Vật Lí 11 CTST
A. Phương pháp & Ví dụ
+ Cường độ dòng điện:
+ Số electron:
+ Mật độ dòng điện:
Trong đó:
• I là cường độ dòng điện, đơn vị là Ampe (A);
• S là tiết diện ngang của dây dẫn, đơn vị là m2;
• n là mật độ hạt, đơn vị là hạt/m3;
• Δq là điện lượng (lượng điện tích);
• v là tốc độ trung bình của hạt mang điện (m/s).
♦ Với
gọi là mật độ hạt, đơn vị là hạt/m3
♦
là tốc độ trung bình của hạt mang điện (m/s)
Chú ý: Δt hữu hạn thì I có giá trị trung bình, Δt rất nhỏ thì I là dòng điện tức thời i (dòng điện tại một thời điểm).
+ Suất điện động của nguồn điện:
Trong đó:
A là công mà nguồn điện (công lực lạ), đơn vị là Jun (J);
q độ lớn điện tích, đơn vị là Cu-lông (C);
E là suất điện động của nguồn điện, đơn vị là Vôn (V).
Ví dụ 1: Trong mỗi giây có 109 hạt electron đi qua tiết diện thẳng của một ống phóng điện. Biết điện tích mỗi hạt có độ lớn bằng 1,6.10-19 C. Tính:
a) Cường độ dòng điện qua ống.
b) Mật độ dòng điện, biết ống có tiết diện ngang là S = 1 cm2.
Hướng dẫn:
a) Điện lượng chuyển qua tiết diện ngang của ống dây: Δq = n|e| = 109.1,6.10-19 = 1,6.10-10 C
+ Dòng điện chạy qua ống dây:
b) Mật độ dòng điện:
Ví dụ 2: Một dòng điện không đổi có I = 4,8A chạy qua một dây kim loại tiết diện thẳng S = 1 cm2. Tính:
a) Số êlectrôn qua tiết diện thẳng của dây trong 1s.
b) Vận tốc trung bình của chuyển động định hướng của êlectrôn.
Biết mật độ êlectrôn tự do n = 3.1028m–3.
Hướng dẫn:
a) Số êlectrôn qua tiết diện thẳng của dây trong 1s
Ta có:
Vậy: Số êlectrôn qua tiết diện thẳng của dây trong 1s là n = 3.1019.
b) Vận tốc trung bình của chuyển động định hướng của êlectrôn
Ta có: Mật độ dòng điện:
Vậy vận tốc trung bình của chuyển động định hướng của êlectrôn là v = 0,01 mm/s.
Ví dụ 3: Pin Lơclăngsê sản ra một công là 270 J khi dịch chuyển lượng điện tích là 180C giữa hai cực bên trong pin. Tính công mà pin sản ra khi dịch chuyển một lượng điện tích 40 (C) giữa hai cực bên trong pin.
Hướng dẫn:
+ Suất điện động của pin:
+ Công mà pin sản ra khi dịch chuyển một lượng điện tích 60 (C) giữa hai cực bên trong pin. Ta có:
Ví dụ 4: Ví dụ 4: Một bộ acquy cung cấp một dòng điện 5A liên tục trong 4 giờ thì phải nạp lại.
a) Tính cường độ dòng điện mà acquy này có thể cung cấp liên tục trong thời gian 12 giờ thì phải nạp lại.
b) Tính suất điện động của acquy này nếu trong thời gian hoạt động trên nó sản sinh một công 1728 kJ.
Hướng dẫn:
a) Mỗi acquy có một dung lượng xác định. Dung lượng của mỗi acquy là điện lượng lớn nhất mà acquy có thể cung cấp được khi nó phát điện. Dung lượng của acquy:
b) Suất điện động của nguồn điện:
B. Bài tập
Bài 1: Cường độ dòng điện không đổi chạy qua dây tóc của một bóng đèn là 0,64 A.
a) Tính điện lượng dịch chuyển qua tiết diện thẳng của dây tóc trong thời gian một phút.
b) Tính số electron dịch chuyển qua tiết diện thẳng của dây tóc trong khoảng thời gian nói trên.
Lời giải:
a) Điện lượng chuyển qua tiết diện thẳng của dây tóc: q = I.t = 38,4 (C)
b) Số electron dịch chuyển qua tiết diện thẳng của dây tóc:
Bài 2: Một dây dẫn kim loại có các electron tự do chạy qua và tạo thành một dòng điện không đổi. Dây có tiết diện ngang S = 0,6 mm2, trong thời gian 10 s có điện lượng q = 9,6 C đi qua. Tính:
a) Cường độ và mật độ dòng điện qua dây dẫn.
b) Số electron đi qua tiết diện ngang của dây dẫn trong 10s
c) Tính tốc độ trung bình của các electron tạo nên dòng điện, biết mật độ electron tự do là n = 4.1028 hạt/m3
Lời giải:
a) Cường độ dòng điện:
+ Mật độ dòng điện:
b) Số electron đi qua tiết diện ngang của dây:
c) Tốc độ trung bình của các hạt tạo nên dòng điện:
Bài 3: Một dây dẫn hình trụ tiết diện ngang S = 10 mm2 có dòng điện I = 2A chạy qua. Hạt mang điện tự do trong dây dẫn là electron có độ lớn điện tích e = 1,6.10-19C.
a) Tính số hạt electron chuyển động qua tiết diện ngang của dây trong 1s
b) Biết vận tốc trung bình của hạt electron trong chuyển động có hướng là 0,1 mm/s. Tính mật độ hạt electron trong dây dẫn.
Lời giải:
a) Điện lượng chuyển qua tiết diện thẳng của dây trong 1s: Δq = I.t = 2 (C)
+ Số electron chuyển qua tiết diện thẳng của dây trong 1s:
b) Ta có:
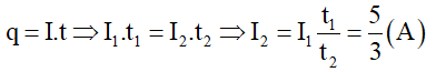
Bài 4: Trong khoảng thời gian 10s, dòng điện qua dây dẫn tăng đều từ I1 = 1A đến I2 = 4A. Tính cường độ dòng điện trung bình và điện lượng qua dây trong thời gian trên.
Lời giải:
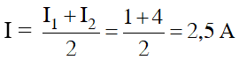
Cường độ dòng điện trung bình:
Điện lượng qua dây trong thời gian trên: q = I.t = 2,5.10 = 25 C.
Bài 5: Một bộ acquy có suất điện động 12V, cung cấp một dòng điện 2A liên tục trong 8 giờ thì phải nạp lại. Tính công mà acquy sản sinh ra trong khoảng thời gian trên.
Lời giải:
A = qE = EIt = 12.2.8.3600 = 691200 J
Bài 6: Lực lạ thực hiện công 1200 mJ khi di chuyển một lượng điện tích 50 mC giữa hai cực bên trong nguồn điện.
a) Tính suất điện động của nguồn điện này.
b) Tính công của lực lạ khi di chuyển một lượng điện tích 125 mC giữa hai cực bên trong nguồn điện.
Lời giải:
a) Suất điện động của nguồn:
b) Công của lực lạ khi di chuyển một lượng điện tích 125.10-3 C giữa hai cực bên trong nguồn điện.
Ta có:
A = qE = 125.10-3.24 = 3J
Bài 7: Một bộ acquy có suất điện động 12V nối vào một mạch kín.
a) Tính lượng điện tích dịch chuyển ở giữa hai cực của nguồn điện để acquy sản ra công 720 J.
b) Thời gian dịch chuyển lượng điện tích này là 5 phút. Tính cường độ dòng điện chạy qua acquy này.
c) Tính số electron dịch chuyển qua tiết diện thẳng của dây dẫn trong thời gian 1 phút.
Lời giải:
a) Ta có:
b) Cường độ dòng điện:
c) Số electron dịch chuyển qua tiết diện thẳng của dây dẫn trong 1 phút:
(199k) Xem Khóa học Vật Lí 11 KNTTXem Khóa học Vật Lí 11 CDXem Khóa học Vật Lí 11 CTST
Xem thêm các dạng bài tập Vật Lí lớp 11 có trong đề thi THPT Quốc gia khác:
- Lý thuyết Dòng điện không đổi - Nguồn điện
- Trắc nghiệm Đại cương về dòng điện không đổi
- Dạng 1: Cách tính điện trở tương đương mạch nối tiếp, mạch song song, mạch cầu
- Trắc nghiệm tính điện trở tương đương mạch nối tiếp, mạch song song, mạch cầu
- Dạng 2: Định luật Ôm cho đoạn mạch nối tiếp và song song
- Trắc nghiệm Định luật Ôm cho đoạn mạch nối tiếp và song song
Tủ sách VIETJACK shopee lớp 10-11 (cả 3 bộ sách):
Đã có app VietJack trên điện thoại, giải bài tập SGK, SBT Soạn văn, Văn mẫu, Thi online, Bài giảng....miễn phí. Tải ngay ứng dụng trên Android và iOS.
Theo dõi chúng tôi miễn phí trên mạng xã hội facebook và youtube:Nếu thấy hay, hãy động viên và chia sẻ nhé! Các bình luận không phù hợp với nội quy bình luận trang web sẽ bị cấm bình luận vĩnh viễn.
- Giải Tiếng Anh 11 Global Success
- Giải sgk Tiếng Anh 11 Smart World
- Giải sgk Tiếng Anh 11 Friends Global
- Lớp 11 - Kết nối tri thức
- Soạn văn 11 (hay nhất) - KNTT
- Soạn văn 11 (ngắn nhất) - KNTT
- Giải sgk Toán 11 - KNTT
- Giải sgk Vật Lí 11 - KNTT
- Giải sgk Hóa học 11 - KNTT
- Giải sgk Sinh học 11 - KNTT
- Giải sgk Lịch Sử 11 - KNTT
- Giải sgk Địa Lí 11 - KNTT
- Giải sgk Giáo dục KTPL 11 - KNTT
- Giải sgk Tin học 11 - KNTT
- Giải sgk Công nghệ 11 - KNTT
- Giải sgk Hoạt động trải nghiệm 11 - KNTT
- Giải sgk Giáo dục quốc phòng 11 - KNTT
- Giải sgk Âm nhạc 11 - KNTT
- Lớp 11 - Chân trời sáng tạo
- Soạn văn 11 (hay nhất) - CTST
- Soạn văn 11 (ngắn nhất) - CTST
- Giải sgk Toán 11 - CTST
- Giải sgk Vật Lí 11 - CTST
- Giải sgk Hóa học 11 - CTST
- Giải sgk Sinh học 11 - CTST
- Giải sgk Lịch Sử 11 - CTST
- Giải sgk Địa Lí 11 - CTST
- Giải sgk Giáo dục KTPL 11 - CTST
- Giải sgk Hoạt động trải nghiệm 11 - CTST
- Giải sgk Âm nhạc 11 - CTST
- Lớp 11 - Cánh diều
- Soạn văn 11 Cánh diều (hay nhất)
- Soạn văn 11 Cánh diều (ngắn nhất)
- Giải sgk Toán 11 - Cánh diều
- Giải sgk Vật Lí 11 - Cánh diều
- Giải sgk Hóa học 11 - Cánh diều
- Giải sgk Sinh học 11 - Cánh diều
- Giải sgk Lịch Sử 11 - Cánh diều
- Giải sgk Địa Lí 11 - Cánh diều
- Giải sgk Giáo dục KTPL 11 - Cánh diều
- Giải sgk Tin học 11 - Cánh diều
- Giải sgk Công nghệ 11 - Cánh diều
- Giải sgk Hoạt động trải nghiệm 11 - Cánh diều
- Giải sgk Giáo dục quốc phòng 11 - Cánh diều
- Giải sgk Âm nhạc 11 - Cánh diều


Giải bài tập SGK & SBT
Tài liệu giáo viên
Sách
Khóa học
Thi online
Hỏi đáp

