Cách giải bài tập Định luật Ôm cho mạch kín (hay, chi tiết)
Bài viết Cách giải bài tập Định luật Ôm cho mạch kín với phương pháp giải chi tiết giúp học sinh ôn tập, biết cách làm bài tập Định luật Ôm cho mạch kín.
Cách giải bài tập Định luật Ôm cho mạch kín (hay, chi tiết)
(199k) Xem Khóa học Vật Lí 11 KNTTXem Khóa học Vật Lí 11 CDXem Khóa học Vật Lí 11 CTST
A. Phương pháp & Ví dụ
1. Mạch kín cơ bản (gồm nguồn và điện trở thuần):
(R là điện trở của mạch ngoài; E, r là suất điện động và điện trở trong của nguồn).
2. Mạch kín gồm nhiều nguồn điện và máy thu mắc nối tiếp với điện trở thuần:
Trong đó: R là điện trở tương đương của mạch ngoài;
E, r là suất điện động và điện trở trong của nguồn;
E’, r’ là suất điện động và điện trở trong của máy thu điện
với quy ước: nguồn khi dòng điện đi vào từ cực âm và đi ra từ cực dương; máy thu khi dòng điện đi vào từ cực dương và đi ra từ cực âm.
3. Mạch kín gồm nhiều nguồn giống nhau (E, r) mắc thành bộ và điện trở thuần:
+ Nếu n nguồn giống nhau mắc nối tiếp thì: Eb = nE; rb = nr.
+ Nếu n nguồn giống nhau mắc song song thì:
+ Nếu mắc hỗn hợp đối xứng gồm m dãy, mỗi dãy có n nguồn thì:
Ví dụ 1: Đèn 3V – 6W mắc vào hai cực acquy (E = 3V, r = 0,5Ω). Tính điện trở đèn, cường độ dòng điện, hiệu điện thế và công suất tiêu thụ của đèn.
Hướng dẫn:
Điện trở của đèn:
Cường độ dòng điện qua đèn:
Hiệu điện thế của đèn: U = IR = 1,5.1,5 = 2,25V.
Công suất tiêu thụ của đèn: P = RI2 = 1,5.1,52 = 3,375W.
Ví dụ 2: Hai điện trở R1 = 2Ω, R2 = 6Ω mắc vào nguồn (E, r). Khi R1, R2 nối tiếp, cường độ trong mạch IN = 0,5A. Khi R1, R2 song song, cường độ mạch chính IS = 1,8A. Tìm E, r.
Hướng dẫn:
– Khi [R1 nt R2] ⇒ RN = R1 + R2 = 2 + 6 = 8Ω
– Khi [R1 // R2]
Từ (1) và (2), suy ra:
Ví dụ 3: Cho mạch điện như hình. Biết nguồn điện có suất điện động E = 12V và có điện trở trong r = 1Ω, các điện trở R1 = 10Ω, R2 = 5Ω và R3 = 8Ω.
a) Tính tổng trở RN của mạch ngoài.
b) Tính cường độ dòng điện I chạy qua nguồn điện và hiệu điện thế mạch ngoài U.
c) Tính hiệu điện thế U1 giữa hai đầu điện trở R1.
d) Tính hiệu suất H của nguồn điện.
Hướng dẫn:
a) RN = R1 + R2 + R3 = 23Ω
b)
UN = I.RN = 0,5.23 = 11,5V
c) U1 = I.R1 = 0,5.10 = 5 V
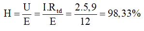
d)
Ví dụ 4: Có mạch điện như hình vẽ. Nguồn điện có suất điện điện E = 12V và có điện trở trong r = 0,5 Ω. Các điện trở mạch ngoài R1 = 4,5Ω, R2 = 4Ω, R3 = 3Ω. Hãy tìm số chỉ của ampe kếhiệu suất của nguồn điện khi
a) K mở.
b) K đóng.
Hướng dẫn:
a) Khi K mở mạch gồm R1 nối tiếp R2 nối tiếp R3: Rtđ = R1 + R2 + R3 = 11,5Ω
b) Khi khóa K đóng, A và B cùng điện thế nên chập A, B, mạch điện vẽ lại như hình
Rtđ = R1 + R2 = 7,5Ω
Ví dụ 5: Cho mạch điện như hình vẽ. Nguồn điện có suất điện động E = 9V và điện trở trong r = 1Ω. Các điện trở mạch ngoài R1 = R2 = R3 = 3Ω, R4 = 6Ω.
a) Tính cường độ dòng điện chạy qua các điện trở và hiệu điện thế hai đầu mỗi điện trở.
b) Tính hiệu điện thế giữa hai điểm C và D.
c) Tính hiệu điện thế 2 đầu nguồn điện và hiệu suất của nguồn điện.
Hướng dẫn:
a) Ta có: R23 = R2 + R3 = 6Ω
Rng = RAB + R4 = 8Ω;
U4 = I4.R4 = 6(V)
UAB = I.RAB = 2(V) ⇒ U1 = U23 = 2(V)
b) Hiệu điện thế giữa hai điểm C và D: UAB = U3 + U4 = 1 + 6 = 7(V)
c) Hiệu điện thế hai đầu nguồn: U = E - Ir = 9 - 1 = 8V
Hiệu suất của nguồn:
Ví dụ 6: Cho mạch điện như hình: E = 12 V, r = 1 Ω, R1 = R2 = 4 Ω, R3 = 3 Ω, R4 = 5 Ω.
a) Tìm điện trở tương đương mạch ngoài.
b) Tìm cường độ dòng điện mạch chính và UAB.
c) Tìm cường độ dòng điện trong mỗi nhánh và UCD.
Hướng dẫn:
a) Ta có:
b)
UAB = I.Rng = 9,6V
c) Do R12 và R34 bằng nhau, mà chúng mắc song song nên:
B. Bài tập
Bài 1. Xét mạch kín gồm nguồn điện có suất điện động E = 2 V, điện trở trong r = 0,1 Ω mắc với điện trở ngoài R = 99,9 Ω. Tìm hiệu điện thế giữa hai cực của nguồn điện.
Lời giải:
+ Cường độ dòng điện trong mạch chính:
+ Ta có: E = U + Ir ⇒ U = E - Ir = 2 - 0,02.0,1 = 1,998V
Bài 2. Cho mạch điện trong đó nguồn điện có điện trở trong r = 1Ω. Các điện trở của mạch ngoài R1 = 6Ω, R2 = 2Ω, R3 = 3Ω mắc nối tiếp nhau. Dòng điện chạy trong mạch là 1A.
a) Tính suất điện động của nguồn điện và hiệu suất của nguồn điện.
b) Tính công suất tỏa nhiệt của mạch ngoài và nhiệt lượng tỏa ra ở mạch ngoài trọng thời gian t = 20 phút.
Lời giải:
a) Điện trở tương đương mạch ngoài: Rtđ = R1 + R2 + R3 = 11Ω
+ Ta có:
+ Hiệu điện thế mạch ngoài (hiệu điện thế hai đầu cực của nguồn): U = IRtđ = 11V
+ Hiệu suất của nguồn:
b) Công suất tỏa nhiệt ở mạch ngoài: P = I2Rtđ = 11W
+ Nhiệt lượng tỏa ra ở mạch ngoài trong thời gian t = 20 phút: Q = I2Rtđt = 13,2 kJ
Bài 3. Nguồn điện (E, r), khi điện trở mạch ngoài là R1 = 2Ω thì cường độ dòng điện qua R1 là I1 = 8A. Khi điện trở mạch ngoài là R2 = 5Ω thì hiệu điện thế hai đầu nguồn là U2 = 25V. Tìm E, r.
Lời giải:
Khi R = R1 = 2Ω, ta có:
Khi R = R2 = 5Ω:
⇒ 5E - 25r - 125 = 0 (2)
Từ (1) và (2), ta có:
Bài 4. Mạch kín gồm nguồn điện (E = 200 V, r = 0,5Ω) và hai điện trở R1 = 100 Ω, R2 = 500 Ω mắc nối tiếp. Một vôn kế mắc song song với R2, thì số chỉ của nó là 160 V. Tính điện trở của vôn kế.
Lời giải:
Giả sử điện trở của vôn kế không quá lớn so với điện trở của các điện trở thuần
+ Gọi RV là điện trở vôn kế.
+ Điện trở tương đương mạch ngoài:
+ Dòng điện trong mạch chính:
+ Lại có: I = I2 + Iv. Với:
+ Do đó ta có:
Bài 5. Cho mạch điện như hình vẽ. Nguồn điện có E = 12V,và điện trở trong r = 0,1Ω. Các điện trở mạch ngoài R1 = R2 = 2Ω, R3 = 4Ω, R4 = 4,4Ω.
a) Tính cường độ dòng điện chạy qua các điện trở và hiệu điện thế hai đầu mỗi điện trở.
b) Tính hiệu điện thế UCD. Tính công suất tiêu thụ của mạch ngoài và hiệu suất nguồn điện.
Lời giải:
a) R23 = R2 + R3 = 6Ω
→ RAB + R4 = 5,9 Ω
I4 = I = 2 A ⇒ U4 = I4.R4 = 8,8 V
UAB = I.RAB ⇒ U23 = U1
I2 = I3 = I23 = 0,5A
b) Hiệu điện thế giữa hai điểm C, D: UCD = U3 + U4 = 2 + 8,8 = 10,8V
+ Công suất mạch ngoài: Pngoai = I2Rtđ = 22. 5,9 = 23,6W
+ Hiệu suất nguồn:
Bài 6. Có mạch điện như hình vẽ. Các điện trở mạch ngoài R1 = 6Ω, R2 = 5,5Ω. Điện trở của ampe kế và khóa K không đáng kể, điện trở của vôn kế rất lớn. Khi K mở vôn kế chỉ 6V. Khi K đóng vôn kế chỉ 5,75 V, tính E, r và số chỉ ampe kế khi đó.
Lời giải:
Khi khoá K mở, trong mạch không có dòng điện. Ta có: Uv = E = 6V
+ Khi đóng K, trong mạch có dòng điện:
+ Số chỉ vôn kế V chính là hiệu điện thế hai cực của nguồn nên:
+ Số chỉ của ampe kế A chính là dòng điện trong mạch chính nên: IA = I = 0,5 A
C. Bài tập bổ sung
Câu 1: Việc ghép nối tiếp các nguồn điện để:
A. Có được bộ nguồn có suất điện động lớn hơn các nguồn có sẵn
B. Có được bộ nguồn có suất điện động nhỏ hơn các nguồn có sẵn.
C. Có được bộ nguồn có điện trở trong nhỏ hơn các nguồn có sẵn.
D. Có được bộ nguồn có điện trở trong bằng điện trở mạch ngoài.
Câu 2: Một mạch điện kín gồm bộ nguồn có hai pin giống nhau mắc nối tiếp, mỗi pin có suất điện động 3V, điện trở trong bằng 1Ω và mạch ngoài là một điện trở R = 2Ω. Hiệu điện thế giữa hai cực của mỗi pin là:
A. 1 V.
B. 3 V.
C. 4 V.
D. 1,5 V.
Câu 3: Trong một mạch kính gồm nguồn điện có suất điện động, điện trở ngang r và mạch ngoài có điện trở R. Hệ thức nêu lên mối quan hệ giữa các đại lượng trên với cường độ dòng điện I chạy trong mạch là:
A.
B.
C.
D.
Câu 4: Khi ghép nối tiếp các bộ nguồn với nhau ta được bộ nguồn có suất điện động:
A. Lớn hơn các nguồn có sẵn
B. Nhỏ hơn các nguồn có sẵn
C. Bằng các nguồn có sẵn
D. Không xác định được
Câu 5: Việc ghép song song các nguồn điện giống nhau thì:
A. Có được bộ nguồn có suất điện động lớn hơn các nguồn có sẵn.
B. Có được bộ nguồn có suất điện động nhỏ hơn các nguồn có sẵn
C. Có được bộ nguồn có điện trở trong nhỏ hơn các nguồn có sẵn.
D. Có được bộ nguồn có điện trở trong bằng điện trở mạch ngoài.
Câu 6: Trong một mạch điện kín nếu mạch ngoài thuần điện trở RN thì hiệu suất của nguồn điện có điện trở r được tính bởi biểu thức:
A.
B.
C.
D.
Câu 7: Khi ghép song song các bộ nguồn giống nhau với nhau ta được bộ nguồn có suất điện động:
A. Lớn hơn các nguồn có sẵn
B. Nhỏ hơn các nguồn có sẵn
C. Bằng các nguồn có sẵn
D. Không xác định được
Câu 8: Công thức nào là định luật Ôm cho mạch điện kín gồm một nguồn điện và một điện trở ngoài:
A.
B.
C.
D.
Câu 9: Đối với mạch điện kín, thì hiệu suất của nguồn điện không được tính bằng công thức:
A.
B.
C.
D.
Câu 10: Một bộ nguồn có ba nguồn giống nhau mắc nối tiếp. Mạch ngoài là một điện trở không đổi. Nếu đảo hai cực của một nguồn thì:
A. Độ giảm hiệu điện thế ở điện trở trong của bộ nguồn không đổi.B.
B. Cường độ dòng điện trong mạch giảm đi hai lần.
C. Hiệu điện thế giữa hai đầu điện trở mạch ngoài giảm đi ba lần.
D. Công suất tỏa nhiệt trên mạch ngoài giảm đi bốn lần.
(199k) Xem Khóa học Vật Lí 11 KNTTXem Khóa học Vật Lí 11 CDXem Khóa học Vật Lí 11 CTST
Xem thêm các dạng bài tập Vật Lí lớp 11 có trong đề thi THPT Quốc gia khác:
- Trắc nghiệm Định luật Ôm cho mạch kín
- Dạng 2: Ghép các nguồn điện thành bộ
- Trắc nghiệm Ghép các nguồn điện thành bộ
- Dạng 3: Định luật Ôm cho đoạn mạch chứa nguồn điện, máy thu
- Trắc nghiệm Định luật Ôm cho đoạn mạch chứa nguồn điện, máy thu
- 50 bài tập trắc nghiệm Định luật Ôm đối với toàn mạch có đáp án (phần 1)
- 50 bài tập trắc nghiệm Định luật Ôm đối với toàn mạch có đáp án (phần 2)
Tủ sách VIETJACK shopee lớp 10-11 (cả 3 bộ sách):
Đã có app VietJack trên điện thoại, giải bài tập SGK, SBT Soạn văn, Văn mẫu, Thi online, Bài giảng....miễn phí. Tải ngay ứng dụng trên Android và iOS.
Theo dõi chúng tôi miễn phí trên mạng xã hội facebook và youtube:Nếu thấy hay, hãy động viên và chia sẻ nhé! Các bình luận không phù hợp với nội quy bình luận trang web sẽ bị cấm bình luận vĩnh viễn.
- Giải Tiếng Anh 11 Global Success
- Giải sgk Tiếng Anh 11 Smart World
- Giải sgk Tiếng Anh 11 Friends Global
- Lớp 11 - Kết nối tri thức
- Soạn văn 11 (hay nhất) - KNTT
- Soạn văn 11 (ngắn nhất) - KNTT
- Giải sgk Toán 11 - KNTT
- Giải sgk Vật Lí 11 - KNTT
- Giải sgk Hóa học 11 - KNTT
- Giải sgk Sinh học 11 - KNTT
- Giải sgk Lịch Sử 11 - KNTT
- Giải sgk Địa Lí 11 - KNTT
- Giải sgk Giáo dục KTPL 11 - KNTT
- Giải sgk Tin học 11 - KNTT
- Giải sgk Công nghệ 11 - KNTT
- Giải sgk Hoạt động trải nghiệm 11 - KNTT
- Giải sgk Giáo dục quốc phòng 11 - KNTT
- Giải sgk Âm nhạc 11 - KNTT
- Lớp 11 - Chân trời sáng tạo
- Soạn văn 11 (hay nhất) - CTST
- Soạn văn 11 (ngắn nhất) - CTST
- Giải sgk Toán 11 - CTST
- Giải sgk Vật Lí 11 - CTST
- Giải sgk Hóa học 11 - CTST
- Giải sgk Sinh học 11 - CTST
- Giải sgk Lịch Sử 11 - CTST
- Giải sgk Địa Lí 11 - CTST
- Giải sgk Giáo dục KTPL 11 - CTST
- Giải sgk Hoạt động trải nghiệm 11 - CTST
- Giải sgk Âm nhạc 11 - CTST
- Lớp 11 - Cánh diều
- Soạn văn 11 Cánh diều (hay nhất)
- Soạn văn 11 Cánh diều (ngắn nhất)
- Giải sgk Toán 11 - Cánh diều
- Giải sgk Vật Lí 11 - Cánh diều
- Giải sgk Hóa học 11 - Cánh diều
- Giải sgk Sinh học 11 - Cánh diều
- Giải sgk Lịch Sử 11 - Cánh diều
- Giải sgk Địa Lí 11 - Cánh diều
- Giải sgk Giáo dục KTPL 11 - Cánh diều
- Giải sgk Tin học 11 - Cánh diều
- Giải sgk Công nghệ 11 - Cánh diều
- Giải sgk Hoạt động trải nghiệm 11 - Cánh diều
- Giải sgk Giáo dục quốc phòng 11 - Cánh diều
- Giải sgk Âm nhạc 11 - Cánh diều


Giải bài tập SGK & SBT
Tài liệu giáo viên
Sách
Khóa học
Thi online
Hỏi đáp

