15 câu trắc nghiệm: Định luật Ôm cho mạch kín chọn lọc, có đáp án
Với 15 câu trắc nghiệm: Định luật Ôm cho mạch kín có lời giải chi tiết sẽ giúp học sinh ôn tập, biết cách làm trắc nghiệm: Định luật Ôm cho mạch kín.
15 câu trắc nghiệm: Định luật Ôm cho mạch kín chọn lọc, có đáp án
(199k) Học Vật Lí 11 KNTTHọc Vật Lí 11 CDHọc Vật Lí 11 CTST
Câu 1. Người ta mắc hai cực của nguồn điện với một biến trở có thể thay đổi từ 0 đến vô cực. Khi giá trị của biến trở rất lớn thì hiệu điện thế giữa hai cực của nguồn điện là 4,5 (V). Giảm giá trị của biến trở đến khi cường độ dòng điện trong mạch là 2 (A) thì hiệu điện thế giữa hai cực của nguồn điện là 4 (V). Suất điện động và điện trở trong của nguồn điện là:
A. E = 4,5 (V); r = 4,5 (Ω). B. E = 4,5 (V); r = 2,5 (Ω).
C. E = 4,5 (V); r = 0,25 (Ω). D. E = 9 (V); r = 4,5 (Ω).
Lời giải:
Chọn C
Khi biến trở rất lớn suy ra I = 0 . Khi đó UN = E - Ir = E = 4,5V.
Khi I = 2, UN = 4. Ta có:
Mặt khác:
Câu 2. Dùng một nguồn điện để thắp sáng lần lượt hai bóng đèn có điện trở R1 = 2 (Ω) và R2 = 8 (Ω), khi đó công suất tiêu thụ của hai bóng đèn là như nhau. Điện trở trong của nguồn điện là:
A. r = 2 (Ω). B. r = 3 (Ω).
C. r = 4 (Ω). D. r = 6 (Ω).
Lời giải:
Chọn C
Ta có công suất thiêu thụ của bóng đèn là:
Theo giả thiết:
⇔ 4(r + 2)2 = (r + 8)2 ⇒ r = 4Ω
Câu 3. Một mạch có hai điện trở 3Ω và 6Ω mắc song song được nối với một nguồn điện có điện trở trong 1Ω. Hiệu suất của nguồn điện là:
A. 11,1%. B. 90%.
C. 66,6%. D. 16,6%.
Lời giải:
Chọn C
Điện trở ngoài của mạch là:
Hiệu suất của nguồn là:
Câu 4. Một nguồn điện có suất điện động E = 6 (V), điện trở trong r = 2 (Ω), mạch ngoài có điện trở R. Để công suất tiêu thụ ở mạch ngoài là 4 (W) thì điện trở R phải có giá trị
A. R = 1 (Ω). B. R = 2 (Ω).
C. R = 3 (Ω). D. R = 6 (Ω).
Lời giải:
Chọn A
Công suất tiêu thụ mạch ngoài là:
Câu 5. Cho một mạch điện gồm một pin 1,5V có điện trở trong là 0,5Ω nối với mạch ngoài là một điện trở 2,5Ω. Cường độ dòng điện trong toàn mạch là:
A. 3(A). B. 0,6(A).
C. 0,5(A). D. 2(A).
Lời giải:
Chọn C
Cường độ dòng điện trong mạch là:
Câu 6. Một mạch điện có nguồn là một pin 9V, điện trở trong 0,5Ω và mạch ngoài gồm hai điện trở 8Ω mắc song song. Cường độ dòng điện toàn mạch là:
A. 2(A). B. 4,5(A).
C. 1(A). D. 18/33(A).
Lời giải:
Chọn A
Khi mắc song song 2 điện trở trên
Cường độ dòng điện trong mạch là:
Câu 7. Một mạch điện gồm một nguồn pin 9V, điện trở ngoài là 4Ω, cường độ dòng điện toàn mạch là 2A. Điện trở trong nguồn pin là:
A. 0,5(Ω). B. 4,5(Ω).
C. 1(Ω). D. 2(Ω).
Lời giải:
Chọn A
Ta có:
⇒ r = 0,5Ω
Câu 8. Trong một mạch kín mà điện trở ngoài là 10Ω, điện trở trong là 1Ω có dòng điện đi qua là 2A. Hiệu điện thế hai đầu nguồn và suất điện động của nguồn là:
A. 10(V) và 12(V). B. 20(V) và 22(V).
C. 10(V) và 2(V). D. 2,5(V) và 0,5(V).
Lời giải:
Chọn B
Ta có:
Câu 9. Một mạch điện có điện trở ngoài bằng 5 lần điện trở trong. Khi xảy ra hiện tượng đoản mạch thì tỉ số giữa cường độ dòng điện đoản mạch và cường độ dòng điện không đoản mạch là:
A. 5. B. 6.
C. 4. D. Không xác định được.
Lời giải:
Chọn B
Ta có:
Khi xảy ra đoản mạch:
Câu 10. Một acquy có ghi 3V, điện trở trong 20 mΩ. Khi đoản mạch thì dòng điện qua acquy là:
A. 150(A). B. 0,06(A).
C. 15(A). D. 20/3(A).
Lời giải:
Chọn A
Khi xảy ra đoản mạch:
Câu 11. Cho ba điện trở giống nhau cùng giá trị 8Ω, hai điện trở mắc song song và cụm đó nối tiếp với điện trở còn lại. Đoạn mạch này được nối với nguồn có điện trở trong 2Ω thì hiệu điện thế ở hai đầu nguồn là 12V. Cường độ dòng điện trong mạch và suất điện động của mạch khi đó là:
A. 1(A) và 14(V). B. 0,5(A) và 13(V).
C. 0,5(A) và 14(V). D. 1(A) và 13(V).
Lời giải:
Chọn A
Hai điện trở mắc song song:
Mắc nối tiếp cụm với điện trở còn lại ta có: Rtđ = R12 + R3 = 12Ω .
Ta có:
Câu 12. Biết rằng khi điện trở mạch ngoài của một nguồn điện tăng từ R1 = 3 (Ω) đến R2 = 10,5 (Ω) thì hiệu điện thế giữa hai cực của nguồn tăng gấp hai lần. Điện trở trong của nguồn điện đó là:
A. r = 7,5 (Ω). B. r = 6,75 (Ω).
C. r = 10,5 (Ω). D. r = 7 (Ω).
Lời giải:
Chọn D
U1 = I1R1, U2 = I2R2
Theo đề U2 = 2U ⇔ I2R2 = 2I1R1
Ta có E = U1 + I1r và E = U2 + I2r ⇒ U1 + I1r = U2 + I2r ⇔ U1 = (I1 - I2)r
Câu 13. Cho một đoạn mạch gồm hai điện trở R1 và R2 mắc song song và mắc vào một hiệu điện thế không đổi. Nếu giảm trị số của điện trở R2 thì
A. độ sụt thế trên R2 giảm.
B. dòng điện qua R1 không thay đổi.
C. dòng điện qua R1 tăng lên.
D. công suất tiêu thụ trên R2 giảm.
Lời giải:
Chọn B
Khi R1 và R2 mắc song song và mắc vào một hiệu điện thế không đổi. Nếu giảm trị số R2 thì hiệu điện thế hai đầu điện trở R1 không đổi nên dòng điện qua R1 không đổi.
Câu 14. Cho một mạch điện kín gồm nguồn điện có suất điện động E = 12 (V), điện trở trong r = 2,5 (Ω), mạch ngoài gồm điện trở R1 = 0,5 (Ω) mắc nối tiếp với một điện trở R. Để công suất tiêu thụ ở mạch ngoài lớn nhất thì điện trở R phải có giá trị
A. R = 1 (Ω). B. R = 2 (Ω).
C. R = 3 (Ω). D. R = 4 (Ω).
Lời giải:
Chọn B
Để công suất tiêu thụ mạch ngoài đạt giá trị lớn nhất
⇒ R1 + R = r ⇔ R = 2,5 - 0,5 = 2Ω
Câu 15. Cho một mạch điện kín gồm nguồn điện có suất điện động E = 12 (V), điện trở trong r = 2 (Ω), mạch ngoài gồm điện trở R1 = 6 (Ω) mắc song song với một điện trở R. Để công suất tiêu thụ ở mạch ngoài lớn nhất thì điện trở R phải có giá trị
A. R = 1 (Ω). B. R = 2 (Ω).
C. R = 3 (Ω). D. R = 4 (Ω).
Lời giải:
Chọn C
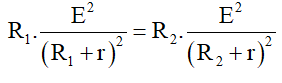
Công suất tiêu thụ mạch ngoài lớn nhất khi
(199k) Học Vật Lí 11 KNTTHọc Vật Lí 11 CDHọc Vật Lí 11 CTST
Xem thêm các dạng bài tập Vật Lí lớp 11 có trong đề thi Tốt nghiệp THPT khác:
- Dạng 1: Định luật Ôm cho mạch kín
- Dạng 2: Ghép các nguồn điện thành bộ
- Trắc nghiệm Ghép các nguồn điện thành bộ
- Dạng 3: Định luật Ôm cho đoạn mạch chứa nguồn điện, máy thu
- Trắc nghiệm Định luật Ôm cho đoạn mạch chứa nguồn điện, máy thu
- 50 bài tập trắc nghiệm Định luật Ôm đối với toàn mạch có đáp án (phần 1)
- 50 bài tập trắc nghiệm Định luật Ôm đối với toàn mạch có đáp án (phần 2)
Tủ sách VIETJACK shopee lớp 10-11 (cả 3 bộ sách):
Đã có app VietJack trên điện thoại, giải bài tập SGK, SBT Soạn văn, Văn mẫu, Thi online, Bài giảng....miễn phí. Tải ngay ứng dụng trên Android và iOS.
Theo dõi chúng tôi miễn phí trên mạng xã hội facebook và youtube:Nếu thấy hay, hãy động viên và chia sẻ nhé! Các bình luận không phù hợp với nội quy bình luận trang web sẽ bị cấm bình luận vĩnh viễn.
- Giải Tiếng Anh 11 Global Success
- Giải sgk Tiếng Anh 11 Smart World
- Giải sgk Tiếng Anh 11 Friends Global
- Lớp 11 - Kết nối tri thức
- Soạn văn 11 (hay nhất) - KNTT
- Soạn văn 11 (ngắn nhất) - KNTT
- Giải sgk Toán 11 - KNTT
- Giải sgk Vật Lí 11 - KNTT
- Giải sgk Hóa học 11 - KNTT
- Giải sgk Sinh học 11 - KNTT
- Giải sgk Lịch Sử 11 - KNTT
- Giải sgk Địa Lí 11 - KNTT
- Giải sgk Giáo dục KTPL 11 - KNTT
- Giải sgk Tin học 11 - KNTT
- Giải sgk Công nghệ 11 - KNTT
- Giải sgk Hoạt động trải nghiệm 11 - KNTT
- Giải sgk Giáo dục quốc phòng 11 - KNTT
- Giải sgk Âm nhạc 11 - KNTT
- Lớp 11 - Chân trời sáng tạo
- Soạn văn 11 (hay nhất) - CTST
- Soạn văn 11 (ngắn nhất) - CTST
- Giải sgk Toán 11 - CTST
- Giải sgk Vật Lí 11 - CTST
- Giải sgk Hóa học 11 - CTST
- Giải sgk Sinh học 11 - CTST
- Giải sgk Lịch Sử 11 - CTST
- Giải sgk Địa Lí 11 - CTST
- Giải sgk Giáo dục KTPL 11 - CTST
- Giải sgk Hoạt động trải nghiệm 11 - CTST
- Giải sgk Âm nhạc 11 - CTST
- Lớp 11 - Cánh diều
- Soạn văn 11 Cánh diều (hay nhất)
- Soạn văn 11 Cánh diều (ngắn nhất)
- Giải sgk Toán 11 - Cánh diều
- Giải sgk Vật Lí 11 - Cánh diều
- Giải sgk Hóa học 11 - Cánh diều
- Giải sgk Sinh học 11 - Cánh diều
- Giải sgk Lịch Sử 11 - Cánh diều
- Giải sgk Địa Lí 11 - Cánh diều
- Giải sgk Giáo dục KTPL 11 - Cánh diều
- Giải sgk Tin học 11 - Cánh diều
- Giải sgk Công nghệ 11 - Cánh diều
- Giải sgk Hoạt động trải nghiệm 11 - Cánh diều
- Giải sgk Giáo dục quốc phòng 11 - Cánh diều
- Giải sgk Âm nhạc 11 - Cánh diều


Giải bài tập SGK & SBT
Tài liệu giáo viên
Sách
Khóa học
Thi online
Hỏi đáp

