Cách giải bài tập Ghép các nguồn điện thành bộ (hay, chi tiết)
Bài viết Cách giải bài tập Ghép các nguồn điện thành bộ với phương pháp giải chi tiết giúp học sinh ôn tập, biết cách làm bài tập Ghép các nguồn điện thành bộ.
Cách giải bài tập Ghép các nguồn điện thành bộ (hay, chi tiết)
(199k) Xem Khóa học Vật Lí 11 KNTTXem Khóa học Vật Lí 11 CDXem Khóa học Vật Lí 11 CTST
A. Phương pháp & Ví dụ
Mắc nguồn điện thành bộ:
•Mắc nối tiếp:
Eb = E1 + E2 + ... + En
rb = r1 + r2 + ... + rn
Nếu có n bộ giống nhau (E, r)
•Mắc xung đối:
•Mắc song song:
Nếu có n bộ giống nhau:
•Mắc hỗn hợp xung đối:
Với m là số nhánh, n là số nguồn trong mỗi nhánh.
Ví dụ 1: Có n acquy (E,r) giống nhau nối với điện trở mạch ngoài R. Tìm điều kiện để cường độ dòng điện qua R khi n acquy nối tiếp hoặc song song đều như nhau.
Hướng dẫn:
- Khi n acquy nối tiếp, ta có: Eb = nE và rb = nr
- Khi n acquy song song, ta có: Eb = E và rb = r/n
- Để dòng điện qua R khi n acquy nối tiếp hoặc song song đều như nhau thì:
⇔ nR + r = R + nR ⇒ R = r.
Ví dụ 2: Điện trở R = 2Ω mắc vào một bộ nguồn gồm hai pin giống nhau. Khi hai pin nối tiếp, cường độ qua R là I1 = 0,75A. Khi hai pin song song cường độ qua R là I2 = 0,6A. Tìm e, r0 của mỗi pin.
Hướng dẫn:
- Khi 2 pin mắc nối tiếp: Eb = 2e; rb = 2r0.
Ta có:
⇔ 0,75 + 0,75r0 = e (1)
- Khi 2 pin mắc song song:
Ta có:
⇔ 2,4 + 0,6r0 = 2e (2)
- Từ (1) và (2), ta có:
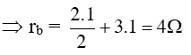
Ví dụ 3: Có 18 pin giống nhau, mỗi pin có e = 1,5V, r0 = 0,2Ω được mắc thành 2 dãy song song, mỗi dãy 9 pin nối tiếp. Điện trở R = 2,1Ω mắc vào hai đầu bộ pin trên.
a) Tính suất điện động và điện trở trong tương đương của bộ nguồn.
b) Tính cường độ qua R.
Hướng dẫn:
a) Suất điện động và điện trở trong tương đương của bộ nguồn
Suất điện động của bộ nguồn: Eb = 9e = 9.1,5 = 13,5V.
Điện trở trong của bộ nguồn:
b)
Ví dụ 4: Cho mạch điện như hình vẽ, mỗi pin có e = 1,5V, r0 = 1Ω, R = 6Ω. Tìm cường độ dòng điện qua mạch chính.
Hướng dẫn:
Suất điện động của bộ nguồn: Eb = EAM + EMB
EAM = ne = 2.1,5 = 3V; EMB = n'e = 3.1,5 = 4,5V
⇒ Eb = 3 + 4,5 = 7,5V
Ví dụ 5: Có N = 80 nguồn giống nhau, mỗi nguồn có e = 1,5V, r0 = 1Ω mắc thành x dãy song song, mỗi dãy y nguồn nối tiếp. Mạch ngoài là điện trở R. Tìm x, y để cường độ qua R lớn nhất.
Xét khi R bằng:
a) 5Ω.
b) 6Ω.
Hướng dẫn:
Ta có: Eb = yE = 1,5y;
xy = N = 80 (2)
Cường độ dòng điện qua điện trở R:
Thay (2) vào (3) ta được:
Để y = ymax thì M = (Rx + y) đạt cực tiểu.
Vì x, y đều dương nên theo bất đẳng thức Cô–si:
Dấu ‘=’ xảy ra khi Rx = y (4)
Kết hợp (4) với (2), ta có:
a) Với R = 5Ω ⇒
Vậy: Với R = 5Ω thì bộ nguồn gồm 4 dãy và mỗi dãy có 20 acquy.
b) Với R = 6Ω ⇒
Vì x, y nguyên và xy = 80 nên suy ra x = 4; y = 20.
Vậy: Với R = 6Ω thì bộ nguồn gồm 4 dãy và mỗi dãy có 20 acquy.
B. Bài tập
Bài 1. Cho mạch điện như hình vẽ, bộ nguồn gồm 2 dãy, mỗi dãy 4 pin nối tiếp, mỗi pin có: e = 1,5V, r0 = 0,25Ω, mạch ngoài, R1 = 12Ω, R2 = 1Ω, R3 = 8Ω, R4 = 4Ω. Biết cường độ dòng điện qua R1 là 0,24A. Tính:
a) Suất điện động và điện trở trong của bộ nguồn tương đương.
b) UAB và cường độ dòng điện qua mạch chính.
c) Giá trị điện trở R5.
Lời giải:
a) Eb = ne = 4.1,5 = 6V;
b) Hiệu điện thế giữa hai điểm A, B là:
UAB = U1 + U3 = I1R1 + I3R3 = I1(R1 + R3)(vì I1 = I3)
⇒ UAB = 0,24.(12 + 8) = 4,8V.
I = I1 + I2 = 0,24 + 0,96 = 1,2A.
c)
⇒ RNI + rbI = Eb ⇒ UN = Eb – rbI = 6 – 0,5.1,2 = 5,4V.
Mặt khác: UN = UAB + U5 ⇒ U5 = UN – UAB = 5,4 – 4,8 = 0,6V.
Bài 2. Cho mạch điện như hình vẽ, mỗi nguồn có: e = 1,5V, r0 = 1Ω, R1 = 6Ω, R2 = 12Ω, R3 = 4Ω.
Tìm cường độ dòng điện qua mạch chính.
Lời giải:
Eb = EAM + EMN + EBC ⇒ Eb = e + e + e = 3e = 3.1,5 = 4,5V
rb = rAM + rMN + rBC
Bài 3. Cho mạch điện như hình vẽ, mỗi nguồn e = 12V, r0 = 2Ω, R2 = 3Ω, R3 = 6Ω, R1 = 2R4, RV rất lớn.
a) Vôn kế chỉ 2V. Tính R1, R4.
b) Thay vôn kế bằng ampe kế có RA = 0. Tìm số chỉ của ampe kế.
Lời giải:
a) Ta có: Eb = e = 12V; rb = R0/2 = 1Ω
với UAB = 2V;
⇒ I = 1A
Mặt khác:
⇒ IRN + Irb = Eb
Và RN = R1 + R23 + R4 = 3R4 + R23 = 3R4 + 2
và R1 = 2R4 = 2.3 = 6Ω.
b) Vì RA = 0 nên ta có thể bỏ R2 và R3. Cường độ dòng điện qua mạch:
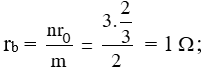
Bài 4. Có 7 nguồn điện giống nhau, mỗi nguồn có e = 6V, r0 = 2/3Ω mắc như hình vẽ. R1 = 3Ω, R2 = 6Ω, R3 = 2Ω, RA = 0. Tìm số chỉ của ampe kế.
Lời giải:
Vì RA = 0 nên nguồn giữa hai điểm mắc ampe kế bị nối tắt.
Ta có: Eb = ne = 3.6 = 18V
RN = R3 + R12
=
Số chỉ ampe kế: IA = I0 – I1
với
⇒ IA = 9 – 1,8 = 7,2A.
Bài 5. Có 16 nguồn giống nhau, mỗi nguồn e = 2V, r0 = 1Ω, mắc thành hai dãy song song, mỗi dãy x và y nguồn nối tiếp. Mạch ngoài là R = 15Ω. Tìm x, y để cường độ qua một dãy bằng 0.
Lời giải:
Ta có: x + y = 16
Giả sử dòng qua dãy chứa x nguồn bằng 0. Ta có:
+ Cường độ dòng điện qua mạch chính:
+ Hiệu điện thế hai đầu bộ nguồn:
+ Dòng điện không qua dãy chứa x nguồn: UAB = Eb1 = 2x = 2.(16 – y) (2)
Từ (1) và (2):
⇒ 2y2 + 28y – 480 = 0 ⇒ y = 10 và y = –24 < 0 (loại) và x = 16 – 10 = 6.
Vậy: Để cường độ qua một dãy bằng 0 thì số nguồn của mỗi dãy là 6 và 1
Bài 6. Có n nguồn giống nhau (e, r) mắc song song. Có một nguồn mắc ngược với các nguồn khác. Tìm cường độ và hiệu điện thế của mỗi nguồn.
Lời giải:
Trong (n – 1) nguồn mắc đúng, ta có:
Xét theo một vòng kín: –e + Ir – Eb + Irb = 0
⇒ I(r + rb) = e + Eb
Dòng điện qua nguồn mắc ngược bằng
Trong (n – 1) nguồn mắc đúng thì dòng điện đều bằng nhau và bằng:
Hiệu điện thế của mỗi nguồn:
UAB = –e + Ir
C. Bài tập bổ sung
Câu 1: Cho bộ nguồn gồm 6 acquy giống nhau được mắc thành hai dãy song song với nhau, mỗi dãy gồm 3 acquy mắc nối tiếp với nhau. Mỗi acquy có suất điện động E = 4 (V) và điện trở trong r = 2 (Ω). Suất điện động và điện trở trong của bộ nguồn lần lượt là:
A. Eb = 12 (V); rb = 3 (Ω).
B. Eb = 6 (V); rb = 1,5 (Ω).
C. Eb = 6 (V); rb = 3 (Ω).
D. Eb = 12 (V); rb = 3 (Ω).
Câu 2: Nếu ghép cả 3 pin giống nhau thành một bộ pin, biết mối pin có suất điện động 3 V thì bộ nguồn sẽ không thể đạt được giá trị suất điện động
A. 3 V.
B. 6 V.
C. 9 V.
D. 5 V.
Câu 3: Một bộ có n nguồn giống nhau, mỗi nguồn có suất điện động ξ và điện trở trong r. Mạch ngoài là một điện trở có giá trị R = r. Khi n nguồn ghép nối tiếp mắc với mạch ngoài thì cường độ dòng điện là I. Khi n nguồn ghép song song mắc với mạch ngoài thì cường độ dòng điện qua R là I’. Tỉ số của bằng
A. n2
B. 1
C. n
D.
Câu 4: Nếu ghép 3 pin giống nhau nối tiếp thu được bộ nguồn 7, 5 V và 3 Ω thì khi mắc 3 pin đó song song thu được bộ nguồn
A. 2,5 V và 1 Ω.
B. 7,5 V và 1 Ω.
C. 7,5 V và 1 Ω.
D. 2,5 V và Ω.
Câu 5: Có 10 pin 2,5 V, điện trở trong 1 Ω được mắc thành 2 dãy, mỗi dãy có số pin bằng nhau. Suất điện động và điện trở trong của bộ pin này là
A. 12,5 V và 2,5 Ω.
B. 5 V và 2,5 Ω.
C. 12,5 V và 5 Ω.
D. 5 V và 5 Ω.
Câu 6: Người ta mắc nối tiếp 3 pin có suất điện động lần lượt là 2,2 V; 1,1 V; 0,9 V và các điện trở trong tương ứng là 0,2 Ω; 0,4 Ω; 0,5 Ω tạo thành nguồn điện cho mạch. Trong mạch có dòng điện cường độ 1A chạy qua. Điện trở ngoài của mạch này :
A. 5,1 Ω
B. 4,5 Ω
C. 3,8 Ω
D. 3,1 Ω
Câu 7: Một bộ nguồn điện gồm các nguồn giống nhau có ξ = 5 V, r = 3 Ω mắc song song. Khi đó cường độ dòng điện trong mạch là 2 A, công suất mạch ngoài là 7 W. Hỏi bộ nguồn có bao nhiêu nguồn điện
A. 10
B. 5
C. 8
D. 4
Câu 8: 9 pin giống nhau được mắc thành bộ nguồn có số nguồn trong mỗi dãy bằng số dãy thì thu được bộ nguồn có suất điện độ 6 V và điện trở 1 Ω. Suất điện động và điện trở trong của mỗi nguồn là
A. 2 V và 1 Ω.
B. 2 V và 3 Ω.
C. 2 V và 2 Ω.
D. 6V và 3 Ω.
Câu 9 : Bốn nguồn điện giống nhau, có cùng suất điện động E và điện trở trong r, được mắc thành bộ nguồn theo sơ đồ như hình vẽ. Suất điện động và điện trở trong của bộ nguồn này tương ứng là

A. E; r
B. 2E; r
C. 2E; 2r
D. 4E; 0,5r
Câu 10: Hai nguồn điện có suất điện động và điện trở trong lần lượt là ξ1 = 4,5 V; r1 = 3 Ω; ξ2 = 3 V; r2 = 2 Ω. Mắc hai nguồn này thành mạch điện kín như hình vẽ. Cường độ dòng điện chạy trong mạch và hiệu điện thế UAB lần lượt là

A. 1,5 A và 1,5 V
B. 1,5 A và 0 V
C. 0,3 A và 0 V
D. 0,3 A và 1,5 V
Câu 11: Hai nguồn điện có cùng suất điện động và cùng điện trở trong được mắc thành bộ nguồn và được mắc với điện trở R = 11 Ω như sơ đồ hình vẽ. Trong trường hợp hình a thì dòng điện chạy qua R có cường độ 0,4 A; còn trong trường hợp hình b thì dòng điện chạy qua R có cường độ 0,25 A. Suất điện động và điện trở trong lần lượt là

A. 6 V và 2 Ω
B. 3 V và 2 Ω
C. 3 V và 3 Ω
D. 6 V và 3 Ω
Câu 12: Cho mạch điện có sơ đồ như hình vẽ, trong đó các nguồn có suất điện động ξ1 = 12 V; ξ2 = 6 V và có điện trở trong không đáng kể. Các điện trở R1 = 4 Ω và R2 = 8 Ω. Chọn phương án đúng?

A. Cường độ dòng điện chạy trong mạch là 1 A
B. Công suất tiêu thụ điện trên R1 là 8 W
C. Công suất của nguồn 1 là 16 W
D. Năng lượng mà nguồn 2 cung cấp trong 5 phút là 2,7 kJ
(199k) Xem Khóa học Vật Lí 11 KNTTXem Khóa học Vật Lí 11 CDXem Khóa học Vật Lí 11 CTST
Xem thêm các dạng bài tập Vật Lí lớp 11 có trong đề thi THPT Quốc gia khác:
- Dạng 1: Định luật Ôm cho mạch kín
- Trắc nghiệm Định luật Ôm cho mạch kín
- Trắc nghiệm Ghép các nguồn điện thành bộ
- Dạng 3: Định luật Ôm cho đoạn mạch chứa nguồn điện, máy thu
- Trắc nghiệm Định luật Ôm cho đoạn mạch chứa nguồn điện, máy thu
- 50 bài tập trắc nghiệm Định luật Ôm đối với toàn mạch có đáp án (phần 1)
- 50 bài tập trắc nghiệm Định luật Ôm đối với toàn mạch có đáp án (phần 2)
Tủ sách VIETJACK shopee lớp 10-11 (cả 3 bộ sách):
Đã có app VietJack trên điện thoại, giải bài tập SGK, SBT Soạn văn, Văn mẫu, Thi online, Bài giảng....miễn phí. Tải ngay ứng dụng trên Android và iOS.
Theo dõi chúng tôi miễn phí trên mạng xã hội facebook và youtube:Nếu thấy hay, hãy động viên và chia sẻ nhé! Các bình luận không phù hợp với nội quy bình luận trang web sẽ bị cấm bình luận vĩnh viễn.
- Giải Tiếng Anh 11 Global Success
- Giải sgk Tiếng Anh 11 Smart World
- Giải sgk Tiếng Anh 11 Friends Global
- Lớp 11 - Kết nối tri thức
- Soạn văn 11 (hay nhất) - KNTT
- Soạn văn 11 (ngắn nhất) - KNTT
- Giải sgk Toán 11 - KNTT
- Giải sgk Vật Lí 11 - KNTT
- Giải sgk Hóa học 11 - KNTT
- Giải sgk Sinh học 11 - KNTT
- Giải sgk Lịch Sử 11 - KNTT
- Giải sgk Địa Lí 11 - KNTT
- Giải sgk Giáo dục KTPL 11 - KNTT
- Giải sgk Tin học 11 - KNTT
- Giải sgk Công nghệ 11 - KNTT
- Giải sgk Hoạt động trải nghiệm 11 - KNTT
- Giải sgk Giáo dục quốc phòng 11 - KNTT
- Giải sgk Âm nhạc 11 - KNTT
- Lớp 11 - Chân trời sáng tạo
- Soạn văn 11 (hay nhất) - CTST
- Soạn văn 11 (ngắn nhất) - CTST
- Giải sgk Toán 11 - CTST
- Giải sgk Vật Lí 11 - CTST
- Giải sgk Hóa học 11 - CTST
- Giải sgk Sinh học 11 - CTST
- Giải sgk Lịch Sử 11 - CTST
- Giải sgk Địa Lí 11 - CTST
- Giải sgk Giáo dục KTPL 11 - CTST
- Giải sgk Hoạt động trải nghiệm 11 - CTST
- Giải sgk Âm nhạc 11 - CTST
- Lớp 11 - Cánh diều
- Soạn văn 11 Cánh diều (hay nhất)
- Soạn văn 11 Cánh diều (ngắn nhất)
- Giải sgk Toán 11 - Cánh diều
- Giải sgk Vật Lí 11 - Cánh diều
- Giải sgk Hóa học 11 - Cánh diều
- Giải sgk Sinh học 11 - Cánh diều
- Giải sgk Lịch Sử 11 - Cánh diều
- Giải sgk Địa Lí 11 - Cánh diều
- Giải sgk Giáo dục KTPL 11 - Cánh diều
- Giải sgk Tin học 11 - Cánh diều
- Giải sgk Công nghệ 11 - Cánh diều
- Giải sgk Hoạt động trải nghiệm 11 - Cánh diều
- Giải sgk Giáo dục quốc phòng 11 - Cánh diều
- Giải sgk Âm nhạc 11 - Cánh diều


Giải bài tập SGK & SBT
Tài liệu giáo viên
Sách
Khóa học
Thi online
Hỏi đáp

