Đề kiểm tra 1 tiết Toán 10 Chương 3 Hình học có đáp án (5 đề)
Đề kiểm tra 1 tiết Toán 10 Chương 3 Hình học có đáp án (5 đề)
Phần dưới là danh sách Đề kiểm tra 1 tiết Toán 10 Chương 3 Hình học có đáp án (5 đề). Hi vọng bộ đề thi này sẽ giúp bạn ôn luyện & đạt điểm cao trong các bài thi Toán lớp 10.
Đề kiểm tra 1 tiết
Sở Giáo dục và Đào tạo .....
Đề kiểm tra 1 tiết chương 3 hình học
Môn: Toán 10
Thời gian làm bài: 45 phút
(Đề 1)
Phần I: Trắc nghiệm
Câu 1: Đường thẳng đi qua M(-2;2) và nhận vectơ
làm vectơ pháp tuyến có phương trình tổng quát là:
A. 3x - 2y - 10 = 0 B. -2x + 2y + 10 = 0
C. -2x + 2y - 10 = 0 D. 3x - 2y + 10 = 0
Câu 2: Cho đường thẳng
. Phương trình tổng quát của d là:
A. 3x + y + 5 = 0 B. 3x + y - 5 = 0
C. 3x - y + 5 = 0 D. x - 3y - 5 = 0
Câu 3: Đường thẳng đi qua M(3;0) và N(0;4) có phương trình là:
Câu 4: Vectơ
là vectơ pháp tuyến của đường thẳng có phương trình nào sau đây .
Câu 5: Đường thẳng Δ đi qua M(x0;y0) và nhận vectơ
làm vectơ pháp tuyến có phương trình là:
A. a(x - y0) + b(y - x0) = 0
B. b(x - x0) + a(y - y0) = 0
C. a(x + x0) + b(y + y0) = 0
D. a(x - x0) + b(y - y0) = 0
Câu 6: Khoảng cách từ điểm M(3;0) đường thẳng Δ: 2x + y + 4 = 0 là:
Câu 7: Cosin của góc giữa hai đường thẳng Δ1: a1x + b1y + c1 = 0 và Δ2: a2x + b2y + c2 = 0 là:
Câu 8: Tìm tham số m để hai đường thẳng d: m2x - 2y + 4 + m = 0 và Δ: 2x - y + 3 = 0 song song với nhau.
A. m = 4 B. m = 2
C. m = -2 D. m = 2 va m = -2
Câu 9: Đường thẳng đi qua M(2;1) và nhận vectơ
làm vectơ chỉ phương có phương trình tham số là:
Câu 10: Tọa độ hình chiếu của A(5;4) trên đường thẳng Δ: 3x + y + 1 = 0 là:
A. (1;-2) B. (0;-1)
C. (1;-4) D. (-1;2)
Câu 11: Hệ số góc của đường thẳng Δ: 2x - 3y - 3 = 0 là:
Câu 12: Đường thẳng đi qua điểm D(4;1) và có hệ số góc k = -2 có phương trình tham số là:
Câu 13: Giao điểm của hai đường thẳng x + y - 5 = 0 và 2x - 3y + 5 = 0 có tọa độ là:
A. (2;3) B. (1;1)
C. (-2;-3) D. (4;1)
Câu 14: Vectơ nào sau đây là chỉ phương của đường thẳng
Phần II: Tự luận
Câu 1: Trong mặt phẳng Oxy, xác định điểm A' đối xứng với A(3;1) qua đường thẳng (Δ): x - 2y + 9 = 0.
Câu 2: Trong mặt phẳng Oxy, cho hai điểm A(2;0) và B(6;4). Viết phương trình đường tròn (C) tiếp xúc với trục hoành tại A và khoảng cách từ tâm của (C) đến B bằng 5.
Đáp án & Hướng dẫn giải
Phần I: Trắc nghiệm
| Câu | 1 | 2 | 3 | 4 | 5 | 6 | 7 |
|---|---|---|---|---|---|---|---|
| Đáp án | D | B | C | A | D | A | B |
| Câu | 8 | 9 | 10 | 11 | 12 | 13 | 14 |
| Đáp án | C | C | D | B | B | A | C |
Câu 1: Chọn D.
Phương trình tổng quát của đường thẳng đi qua M(-2; 2) có VTPT
là:
3.(x + 2) - 2.(y - 2) = 0
⇔ 3x + 6 - 2y + 4 = 0
⇔ 3x - 2y + 10 = 0
Câu 2: Chọn B.
Đường thẳng
đi qua M(2;-1) và
Phương trình tổng quát của đường thẳng d là:
3.(x - 2) + 1.(y + 1) = 0
⇔ 3x - 6 + y + 1 = 0
⇔ 3x + y - 5 = 0
Câu 3: Chọn C.
Phương trình đoạn chắn đi qua M(3;0) và N(0;4) là:
Câu 4: Chọn A.
Câu 5: Chọn D.
Phương trình tổng quát của đường thẳng Δ đi qua M(x0;y0) nhận
là VTPT là: a.(x - x0) + b.(y - y0) = 0
Câu 6: Chọn A.
Khoảng cách từ điểm M(3;0) đường thẳng Δ: 2x + y + 4 = 0 là:
Câu 7: Chọn B.
Câu 8: Chọn C.
Câu 9: Chọn C.
Phương trình tham số của đường thẳng đi qua M(2;1) nhận
làm VTCP là:
Câu 10: Chọn D.
Ta có:
Δ: 3x + y + 1 = 0 ⇒ nΔ = (3;1) ⇒
Phương trình đường thẳng đi qua A(5;4) nhận
là VTPT là:
1.(x - 5) - 3.(y - 4) = 0
⇔ x - 5 - 3y + 12 = 0
⇔ x - 3y + 7 = 0
Tọa độ hình chiếu của A(5;4) trên đường thẳng Δ: 3x + y + 1 = 0 là nghiệm của hệ phương trình:
Câu 11: Chọn B.
Ta có: Δ: 2x - 3y - 3 = 0 ⇒ 3y = 2x - 3
Vậy hệ số góc của đường thẳng Δ: 2x - 3y - 3 = 0 là k = 2/3⋅
Câu 12: Chọn B.
Giả sử đường thẳng d với hệ số góc là k = -2 có dạng: y = -2x + b
Phương trình tham số đi qua D(4; 1) nhận
là VTCP là:
Câu 13: Chọn A.
Tọa độ giao điểm của hai đường thẳng x + y - 5 = 0 và 2x - 3y + 5 = 0 là nghiệm của hệ phương trình:
Câu 14: Chọn C.
Vectơ nào sau đây là chỉ phương của đường thẳng
Phần II: Tự luận
Câu 1:
Dễ thấy M ∉ d .
Gọi H(a;b) là hình chiếu của điểm M lên đường thẳng d.
Đường thẳng d: 2x + y - 5 = 0
Suy ra
là vectơ chỉ phương của đường thẳng d
Gọi M'(x,y) đối xứng với M qua đường thẳng d. Suy ra, H là trung điểm của MM'
Ta có:
Vậy tọa độ điểm đối xứng với M qua d là
Câu 2:
Trong mặt phẳng Oxy, cho hai điểm A(2;0) và B(6;4). Viết phương trình đường tròn (C) tiếp xúc với trục hoành tại A và khoảng cách từ tâm của (C) đến B bằng 5.
Gọi I(a;b) là tâm của đường tròn (C).
*) Vì đường tròn tiếp xúc với trục hoành tại A(2; 0) nên I(2;b) và R = b.
Phương trình đường tròn (C) có dạng: (x-2)2 + (y-b)2 = b2
*) Khoảng cách từ B(6;4) đến tâm I(2;b) bằng 5 nên ta có:
IB = 5 ⇒
⇒ (2 - 6)2 + (b - 4)2 = 25
⇒ 16 + (b - 4)2 = 25
⇒ (b - 4)2 = 9
+) Với b = 7, phương trình đường tròn (C) là (x - 2)2 + (y - 7)2 = 49
+) Với b = 1, phương trình đường tròn (C) là (x - 2)2 + (y + 1)2 = 1
Vậy phương trình đường tròn (C) là (x - 2)2 + (y - 7)2 = 49 hoặc (x - 2)2 + (y + 1)2 = 1.
Sở Giáo dục và Đào tạo .....
Đề kiểm tra 1 tiết chương 3 hình học
Môn: Toán 10
Thời gian làm bài: 45 phút
(Đề 2)
Phần I: Trắc nghiệm
Câu 1: Tìm tham số m để hai đường thẳng d: m2x + 4y + 4 + m = 0 và Δ: 2x - 2y + 3 = 0 vuông góc với nhau.
A. m = 2 B. m = -2
C. m = 2 và m = -2 D. m = 4
Câu 2: Đường thẳng Δ đi qua M(x0; y0) và nhận vectơ
làm vectơ chỉ phương có phương trình là:
Câu 3: Cho đường thẳng
. Phương trình tổng quát của d là:
A. x - y - 1 = 0 B. x - y + 1 = 0
C. x + y + 1 = 0 D. x + y - 1 = 0
Câu 4: Đường thẳng đi qua M(3; 2) và nhận vectơ
làm vectơ pháp tuyến có phương trình tổng quát là:
A. 2x + y - 4 = 0 B. 2x + y - 8 = 0
C. x - 2y + 4 = 0 D. -2x + y - 8 = 0
Câu 5: Vectơ nào sau đây là pháp tuyến của đường thẳng
Câu 6: Giao điểm của hai đường thẳng x + y - 5 = 0 và 2x - 3y - 15 = 0 có tọa độ là:
A. (2;3) B. (6;-1)
C. (1;4) D. (6;1)
Câu 7: Phương trình nào sau đây biểu diễn đường thẳng không song song với đường thẳng (d): y = 2x - 1?
A. 2x - y + 5 = 0. B. 2x - y - 5 = 0.
C. -2x + y = 0. D. 2x + y - 5 = 0.
Câu 8: Vectơ
là vectơ chỉ phương của đường thẳng có phương trình nào sau đây .
Câu 9: Đường thẳng d có một vectơ pháp tuyến là
. Đường thẳng Δ vuông góc với d có một vectơ chỉ phương là:
Câu 10: Phương trình tham số của đường thẳng Δ đi qua M(1;-3) và nhận vectơ
làm vectơ pháp tuyến.
Câu 11: Phương trình tổng quát của đường thẳng Δ biết Δ đi qua điểm M(-1;2) và có hệ số góc k=3 là:
A. 3x - y - 1 = 0 B. 3x - y - 5 = 0
C. x - 3y + 5 = 0. D. 3x - y + 5 = 0
Câu 12: Góc giữa hai đường thẳng Δ1: 5x - y + 2 = 0 và Δ2: 3x + 2y + 1 = 0 là:
A. 30o B. 90o
C. 45o D. 0o
Câu 13: Khoảng cách từ điểm M(x0;y0) đường thẳng Δ: ax + by + c = 0 là:
Câu 14: Phương trình đường tròn (C): (x + 3)2 + (y + 3)2 = 45 có tâm và bán kính là:
A. I(-3;-3); R = 3√5 B. I(3;3); R = 3√5
C. I(-3;-3); R = 5√3 D. I(3;3); R = 5√3
Phần II: Tự luận
Câu 1: Trong mặt phẳng Oxy, cho ΔABC có A(0;3), B(-5;0), C(-5;-3).
a) Viết phương trình đường cao AH của ΔABC.
b) Tính diện tích và xác định tọa độ trọng tâm G của ΔABC.
Câu 2: Viết phương trình tiếp tuyến kẻ từ M(3;1) đến đường tròn: (C) x2 + y2 - 4x + 2y + 2 = 0
Đáp án & Hướng dẫn giải
Phần I: Trắc nghiệm
| Câu | 1 | 2 | 3 | 4 | 5 | 6 | 7 |
|---|---|---|---|---|---|---|---|
| Đáp án | C | A | D | B | A | B | D |
| Câu | 8 | 9 | 10 | 11 | 12 | 13 | 14 |
| Đáp án | B | C | C | D | C | B | A |
Câu 1: Chọn C.
Ta có:
Để đường thẳng d và Δ vuông góc thì:
Câu 2: Chọn A.
Phương trình tham số của đường thẳng Δ là:
Câu 3: Chọn D.
Ta có:
⇒ y = -1 + (2 - x)
⇔ y = -1 + 2 - x
⇔ -x - y + 1 = 0
⇔ x + y - 1 = 0
Vậy phương trình tổng quát của đường thẳng d là x + y - 1 = 0.
Câu 4: Chọn B.
Phương trình tổng quát là:
2.(x - 3) + 1.(y - 2) = 0
⇒ 2x - 6 + y - 2 = 0
⇔ 2x + y - 8 = 0
Câu 5: Chọn A.
Ta có:
Câu 6: Chọn B.
Tọa độ giao điểm là nghiệm của hệ phương trình:
Câu 7: Chọn D.
Ta có: (d) y = 2x - 1 ⇒ (d): 2x - y - 1 = 0
Câu 8: Chọn B.
Phương trình tham số của đường thẳng (Δ) qua một điểm có VTCP
có phương trình là:
Câu 9: Chọn C.
Đường thẳng Δ vuông góc với d nhận VTPT của d là VTCP
Câu 10: Chọn C.
Vì Δ nhận vectơ
làm vectơ pháp tuyến nên VTCP của Δ là
Vậy phương trình tham số của đường thẳng Δ là
Câu 11: Chọn D.
Phương trình tổng quát của đường thẳng Δ đi qua điểm M(-1;2) và có hệ số góc k = 3 là: y = 3(x + 1) + 2 ⇔ 3x - y + 5 = 0
Câu 12: Chọn C.
Ta có:
Vậy góc giữa hai đường thẳng Δ1, Δ2 là 45o.
Câu 13: Chọn B.
Khoảng cách từ điểm M(x0;y0)đường thẳng Δ: ax + by + c = 0 được tính theo công thức:
Câu 14: Chọn A.
Phương trình đường tròn (C): (x + 3)2 + (y + 3)2 = 45
+) Tâm I(-3;-3).
+) Bán kính R = √45 = 3√5.
Phần II: Tự luận
Câu 1:
a) Phương trình tổng quát của đường cao AH đi qua A(0;3) nhận
làm VTPT là:
0.(x - 0) + (-3).(y - 3) = 0
⇔ -3y + 9 = 0 ⇔ 3y - 9 = 0
b)
* Tính diện tích tam giác ABC
+) Phương trình tổng quát của đường thẳng BC đi qua B(-5;0) nhận
là VTPT là:
3.(x + 5) + 0.(y - 0) = 0 ⇔ 3x + 15 = 0
+) Độ dài đường cao AH là khoảng cách từ A(0; 3) đến đường thẳng BC.
+) B(-5;0), C(-5;-3)
Diện tích tam giác ABC là:
* Xác định tọa độ trọng tâm G của tam giác ABC.
Tọa độ trọng tâm G(xG;yG) của tam giác ABC là:
Câu 2:
* Xét đường tròn (C): x2 + y2 - 4x + 2y + 2 = 0
ta có:
* Phương trình đường thẳng Δ kẻ từ M(3; 1) có dạng:
a(x - 3) + b(y - 1) = 0 ⇔ ax - 3a + by - b = 0 ⇔ ax + by - 3a - b = 0
* Vì đường thẳng Δ là tiếp tuyến của đường tròn (C) nên ta có:
Vậy phương trình tiếp tuyến kẻ từ M(3;1) đến đường tròn (C): x2 + y2 - 4x + 2y + 2 = 0 là:
(2 + √6)x + 2y - 8 - 3√6 = 0 hoặc (2 - √6)x + 2y - 8 + 3√6 = 0
Sở Giáo dục và Đào tạo .....
Đề kiểm tra 1 tiết chương 3 hình học
Môn: Toán 10
Thời gian làm bài: 45 phút
(Đề 3)
Phần I: Trắc nghiệm
Câu 1: Khẳng định nào dưới đây là đúng nhất về các vecto chỉ phương
của d?
Câu 2: Bán kính đường tròn (C) có tâm I(-1;2) và tiếp xúc với đường thẳng d: x + 2y + 7 = 0 bằng:
Câu 3: Phương trình tổng quát của đường thẳng d đi qua điểm M(2;-3) và nhận vecto
làm vecto pháp tuyến là?
A. 2x - 3y - 12 = 0 B. -2x + 3y - 12 = 0
C. 3x - 2y - 12 = 0 D. -3x + 2y - 12 = 0
Câu 4: Cho đường thẳng
. Điểm nào dưới đây nằm trên đường thẳng d?
A. M(1;6) B. N(-2;6)
C. P(1;-2) D. Q(1;0)
Câu 5: Phương trình của đường tròn (C) biết tâm I(2;7) và bán kính bằng 4 là:
A. (x + 2)2 + (y + 7)2 = 4 \
B. (x - 2)2 + (y - 7)2 = 4
C. (x + 2)2 + (y + 7)2 = 16
D. (x - 2)2 + (y - 7)2 = 16
Câu 6: Khoảng cách từ điểm M(-2;1) tới đường thẳng d: x + √3y + 2 = 0 bằng:
Câu 7: Cho tam giác ABC có các đỉnh A(-1;3), B(1;0) và C(2;-1). Tính độ dài đường cao của tam giác ABC vẽ từ điểm A?
Câu 8: Với giá trị nào của tham số m thì phương trình x2 + y2 - 4x + 2y - m + 1 = 0 là phương trình của một đường tròn?
A. m ≥ -4 B. m ≤ -4
C. m > -4 D. m < -4
Câu 9: Đường tròn (C): x2 + y2 + 6x - 8y - 11 = 0 có tâm I và bán kính bằng bao nhiêu?
A. I(3;-4), R = 36 B. I(-3;4), R = 36
C. I(3;-4), R = 6 D. I(-3;4), R = 6
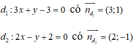
Câu 10: Góc giữa hai đường thẳng d1: 3x + y - 3 = 0 và d2: 2x - y + 2 = 0 bằng bao nhiêu?
A. 30o B. 45o
C. 60o D. 90o
Câu 11: Phương trình tiếp tuyến của đường tròn (C): x2 + y2 + 4x - 6y - 3 = 0 tại điểm M(2;3) là:
A. x - 2 = 0 B. y - 3 = 0
C. 2x - 3y + 5 = 0 D. -2x + 3y - 5 = 0
Câu 12: Cho đường thẳng d có phương trình
. Khi đó, một vecto chỉ phương của d là:
Câu 13: Cho tam giác ABC có các đỉnh A(0;-3), B(1;1), C(3;2). Khi đó, đường cao của tam giác vẽ từ đỉnh A có phương trình:
A. 2x - y - 2 = 0 B. x - 2y - 6 = 0
C. 2x + y + 3 = 0 D. x + 2y - 8 = 0
Câu 14: Phương trình của đường tròn (C) đi qua ba điểm A(0;4), B(2;4), C(4;0) có phương trình:
A. x2 + y2 - 8x + 2y - 1 = 0
B. x2 + y2 - 2x + 8y - 1 = 0
C. x2 + y2 - 2x - 2y - 8 = 0
D. x2 + y2 - 8x - 6y - 2 = 0
Câu 15: Phương trình của đường tròn (C) có đường kính AB với A(-1;2), B(1;4) là:
A. x2 + (y - 3)2 = 2
B. x2 + (y + 3)2 = 2
C. (x - 1)2 + (y - 1)2 = 3
D. (x - 1)2 + (y - 1)2 = 9
Câu 16: Với giá trị nào của m thì hai đường thẳng d1: 2x - 3y + 1 = 0 và
vuông góc với nhau?
Câu 17: Đường thẳng d đi qua điểm M(2;-3) và vuông góc với đường thẳng
có phương trình:
A. x + 2y + 4 = 0 B. 2x + 3y + 4 = 0
C. 2x - 3y + 1 = 0 D. x - 2y - 4 = 0
Câu 18: Cho đường tròn (C): x2 + y2 - 2x + 6y + 8 = 0 và đường thẳng d: x + y + 4 = 0. Phương trình tiếp tuyến của đường tròn (C) và song song với đường thẳng d là:
Câu 19: Xác định vị trí tương đối của hai đường thẳng d1: 2x - 3y + 2 = 0 và d2: 6x + 4y - 3 = 0
A. Song song
B. vuông góc
C. trùng nhau
D. cắt nhưng không vuông
Câu 20: Phương trình tham số của đường thẳng đi qua hai điểm A(2;-1), B(3;2) là:
Phần II: Tự luận
Câu 1: Cho đường thẳng d: x - 2y - 3 = 0 và điểm M(2;3). Tìm điểm N là điểm đối xứng với M qua d?
Câu 2: Viết phương trình đường tròn (C) có tâm I(2;-2) và tiếp xúc với đường thẳng x + y + 2 = 0?
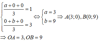
Câu 3: Viết phương trình tổng quát của đường thẳng cắt các trục tọa độ lần lượt tại hai điểm A và B sao cho tam giác OAB có trọng tâm G(1;3) với O là gốc tọa độ? Tính diện tích tam giác OAB?
Đáp án & Hướng dẫn giải
Phần I: Trắc nghiệm
| Câu hỏi | 1 | 2 | 3 | 4 | 5 |
|---|---|---|---|---|---|
| Đáp án | A | B | C | D | D |
| Câu hỏi | 6 | 7 | 8 | 9 | 10 |
| Đáp án | D | B | C | D | B |
| Câu hỏi | 11 | 12 | 13 | 14 | 15 |
| Đáp án | A | D | C | C | A |
| Câu hỏi | 16 | 17 | 18 | 19 | 20 |
| Đáp án | B | A | B | B | B |
Câu 1: Đáp án: A
Câu 2: Đáp án: B
Vì (C) tiếp xúc với đường thẳng d nên:
Câu 3: Đáp án: C
Phương trình tổng quát của đường thẳng d đi qua M(2;-3) và nhận vecto n = (3; -2) làm vecto pháp tuyến có dạng:
3(x - 2) - 2(y + 3) = 0 ⇔ 3x - 2y - 12 = 0
Câu 4: Đáp án: D
Lần lượt thay tọa độ các điểm vào đường thẳng ta thấy điểm Q ở đáp án D thỏa mãn phương trình đường thẳng ứng với giá trị t = 0. Do đó, Q thuộc d
Câu 5: Đáp án: D
Phương trình của đường tròn (C) biết tâm I(2;7) và bán kính bằng 4 có dạng:
(x - 2)2 + (y - 7)2 = 42 ⇔ (x - 2)2 + (y - 7)2 = 16
Câu 6: Đáp án: D
Khoảng cách từ điểm M(-2;1) tới đường thẳng d: x + √3y + 2 = 0 bằng:
Câu 7: Đáp án: B
Ta có A(-1;3), B(1;0) và C(2;-1)
Phương trình đường thẳng BC có dạng: (x - 1) + (y - 0) = 0 ⇔ x + y - 1 = 0
Độ dài đường cao của tam giác ABC kẻ từ điểm C chính bằng khoảng cách từ điểm A đến đường thẳng BC:
Câu 8: Đáp án: C
x2 + y2 - 4x + 2y - m + 1 = 0 ⇔ (x - 2)2 + (y + 1)2 = m + 4 (*)
Để (*) là phương trình của một đường tròn thì: m + 4 > 0 ⇔ m > -4
Câu 9: Đáp án: D
(C): x2 + y2 + 6x - 8y - 11 = 0 ⇔ (x + 3)2 + (y - 4)2 = 11 + 25
⇔ (x + 3)2 + (y - 4)2 = 36 ⇔ (x + 3)2 + (y - 4)2 = 62
Vậy đường tròn (C) có tâm I(-3;4) và bán kính R = 6
Câu 10: Đáp án: B
Gọi góc giữa hai đường thẳng là α
⇒ α = 45o
Câu 11: Đáp án: A
(C): x2 + y2 + 4x - 6y - 3 = 0 ⇔ (x + 2)2 + (y - 3)2 = 16
Đường tròn (C) có tâm I(-2;3)
Gọi d là phương trình tiếp tuyến của (C) tại M. Suy ra, d đi qua M và nhận IM là vecto pháp tuyến
⇒ d: 4(x - 2) + 0.(y - 3) = 0 ⇔ x - 2 = 0
Câu 12: Đáp án: D
Câu 13: Đáp án: C
Đường cao kẻ từ A của tam giác ABC là đường thẳng đi qua A và nhận vecto BC là vecto pháp tuyến
⇒ d: 2(x - 0) + (y + 3) = 0 ⇔ 2x + y + 3 = 0
Câu 14: Đáp án: C
Giả sử (C) có dạng: x2 + y2 - 2ax - 2by + c = 0
Vì 3 điểm A, B, C thuộc đường tròn (C) nên ta có hệ phương trình:
Vậy phương trình đường tròn (C) có dạng: x2 + y2 - 2x - 2y - 8 = 0
Câu 15: Đáp án: A
A(-1;2), B(1;4)
Gọi I là trung điểm của AB ⇒ I(0;3)
Đường tròn đường kính AB là đường tròn tâm I bán kính IA
⇒ (C): (x - 0)2 + (y - 3)2 = (√2)2 ⇔ x2 + (y - 3)2 = 2
Câu 16: Đáp án: B
Câu 17: Đáp án: A
Vì d vuông góc với d’ nên d sẽ nhận vecto chỉ phương của d’ làm vecto pháp tuyến
Vậy d là đường thẳng đi qua M và có vecto pháp tuyến là
d: -1(x - 2) - 2(y + 3) = 0 ⇔ -x - 2y - 4 ⇔ x + 2y + 4 = 0
Câu 18: Đáp án: B
(C): x2 + y2 - 2x + 6y + 8 = 0
⇔ (x - 1)2 + (y + 3)2 = 2 có I(1;-3), R = √2
Gọi d’ là tiếp tuyến của đường tròn (C) và song song với d
Vì d'//d ⇒ d': x + y + c = 0, (c ≠ 4)
d’ là tiếp tuyến của (C) nên d(I;d') = R
Câu 19: Đáp án: B
Câu 20: Đáp án: B
Phương trình đường thẳng AB đi qua A nhận (AB) làm vecto chỉ phương:
Phần II: Tự luận
Câu 1:
d: x - 2y - 3 = 0 có
Gọi d’ là đường thẳng đi qua M và vuông góc với d
d': 2(x - 2) + (y - 3) = 0 ⇔ 2x + y - 7 = 0
Tọa độ giao điểm I của d và d’ là nghiệm của hệ phương trình:
Vì M và N đối xứng nhau qua d nên I là trung điểm của MN
Câu 2:
Vì (C) tiếp xúc với đường thẳng d: x + y + 2 = 0 nên (C) có bán kính
Vậy đường tròn (C) có dạng: (x - 2)2 + (y + 2)2 = 2
Câu 3:
Giả sử A(a;0), B(0;b)
Vì tam giác OAB có trọng tâm G(1;3) nên:
Phương trình AB có dạng:
Sở Giáo dục và Đào tạo .....
Đề kiểm tra 1 tiết chương 3 hình học
Môn: Toán 10
Thời gian làm bài: 45 phút
(Đề 4)
Phần I: Trắc nghiệm
Câu 1: Cho đường thẳng d: x - 2y + 3 = 0. Trong các mệnh đề sau mệnh đề nào sai?
A. Một vecto chỉ phương của d là
B. Một vecto pháp tuyến của d là
C. Đường thẳng d có hệ số góc
D. Đường thẳng d song song với đường thẳng d': 2x - 4y + 3 = 0
Câu 2: Hệ số góc của đường thẳng d có vecto chỉ phương u(2;1) là:
Câu 3: Cho hai đường thẳng d: 2x + y - 5 = 0; Δ: mx + (m - 2)y + 3 = 0. Giá trị của m để d và Δ vuông góc với nhau là:
Câu 4: Phương trình tham số của đường thẳng đi qua A(-2;1) và nhận u =(3;5) làm vecto chỉ phương là:
Câu 5: Tọa độ giao điểm của hai đường thẳng
; d2: x + 2y - 2 = 0 là:
A. (0;-1) B. (2;0)
C. (-1;0) D. (0;2)
Câu 6: Điểm M thuộc đường thẳng
và cách điểm N(2;0) một khoảng ngắn nhất có tọa độ là:
Câu 7: Cho hai đường thẳng d1: 2x + 2√3y + √5 = 0 và d2: y - √6 = 0. Góc giữa d1 và d2 có số đo bằng:
A. 30o B. 45o
C. 60o D. 135o
Câu 8: Phương trình tổng quát của đường thẳng d đi qua A(-2;-1) và nhận
làm vecto pháp tuyến là:
A. x + y + 1 = 0 B. x + y - 1 = 0
C. -x + y + 1 = 0 D. -x + y - 1 = 0
Câu 9: Khoảng cách từ điểm M(3;5) đến đường thẳng 3x - 4y + 1 là:
Câu 10: Trong (Oxy) cho A(2;-1) và d là đường thẳng đi qua A cắt Ox, Oy tại hai điểm M, N sao cho tam giác OMN cân. Phương trình đường thẳng d là:
A. x + y + 1 = 0 B. x + y - 1 = 0
C. -x - y + 3 = 0 D. x - y - 3 = 0
Câu 11: Cho phương trình tham số của đường thẳng
. Phương trình tổng quát của d là:
A. x + 2y - 3 = 0 B. x - 2y - 3 = 0
C. x - 2y + 3 = 0 D. x + 2y + 3 = 0
Câu 12: Cho tam giác ABC có A(1;-1); B(-1;0); C(3;3). Độ dài đường cao xuất phát từ đỉnh A của tam giác ABC bằng
A. 2 B. 3
C. 5 D. 6
Câu 13: Trong các đường thẳng có phương trình sau, đường thẳng nào cắt đường thẳng d: x - 2y + 1 = 0
A. -x + 2y - 1 = 0 B. x - 2y = 0
C. 2x - 4y - 1 = 0 D. 2x - y - 1 = 0
Câu 14: Cho đường thẳng d: x + 2y - 2 = 0 và điểm M(2;5). Điểm M’ đối xứng với M qua d có tọa độ là:
A. (4;-5) B. (-2;-3)
C. (-6;-1) D. (0;2)
Câu 15: Cho tam giác ABC có các đỉnh A(1;0), B(2;-3), C(-2;4) và đường thẳng Δ: x - 2y + 1 = 0. Đường thẳng Δ cắt cạnh nào của tam giác ABC?
A. AB và BC B. AB và AC
C. AC và BC D. Δ không cắt cạnh ΔABC
Phần II: Tự luận
Câu 1: Trong (Oxy) cho hai điểm A(-3;1), B(2;0) và đường thẳng Δ: 3x - y - 2 = 0
a) Viết phương trình tham số của đường thẳng AB
b) Viết phương trình tổng quát của đường thẳng d đi qua A và vuông góc với Δ
c) Tìm tọa độ điểm M trên đường thẳng Δ sao cho BM = √2
Câu 2: Trong (Oxy), cho hình bình hành ABCD có tâm I(1;2) và hai đường thẳng AB, AD lần lượt có phương trình là x + 3y - 6 = 0 và 2x - 5y - 1 = 0. Viết phương trình đường thẳng BC và CD.
Đáp án & Hướng dẫn giải
Phần I: Trắc nghiệm
| Câu hỏi | 1 | 2 | 3 | 4 | 5 |
|---|---|---|---|---|---|
| Đáp án | C | C | A | A | B |
| Câu hỏi | 6 | 7 | 8 | 9 | 10 |
| Đáp án | B | A | D | B | D |
| Câu hỏi | 11 | 12 | 13 | 14 | 15 |
| Đáp án | A | A | D | B | C |
Câu 1: Đáp án: C
Vậy hệ số góc của d là k = 1/2
Câu 2: Đáp án: C
Ta có:
Mà:
Câu 3: Đáp án: A
Ta có:
Câu 4:
Phương trình tham số của đường thẳng đi qua A(-2;1) và nhận
làm vecto chỉ phương là:
Câu 5: Đáp án: B
Giả sử M là giao điểm của hai đường thẳng.
Câu 6: Đáp án: B
M cách N một khoảng ngắn nhất khi M là hình chiếu vuông góc của N lên d
Gọi d’ là đường thẳng đi qua N và vuông góc với d. Khi đó, d’ đi qua N và nhận
làm vecto pháp tuyến
d': -(x - 2) + 2(y - 0) = 0 ⇔ -x + 2y + 2 = 0
Suy ra, M là giao điểm của d và d’
Vì M ∈ d ⇒ M(-1-t; 2t)
Vì M ∈ d'⇒ -(-1 - t) + 2.2t + 2 = 0 ⇔ 1 + t + 4t + 2 = 0
Câu 7: Đáp án: A
Gọi α là góc giữa hai đường thẳng d1, d2
⇒ α = 30o
Câu 8: Đáp án: D
Phương trình tổng quát của đường thẳng d đi qua A(-2;-1) và nhận
làm vecto pháp tuyến là: -(x + 2) + (y + 1) = 0 ⇔ -x + y - 1 = 0
Câu 9: Đáp án B
Khoảng cách từ điểm M(3;5) đến đường thẳng 3x - 4y + 1 là:
Câu 10: Đáp án: D
Đường thẳng d đi qua A cắt Ox, Oy tại hai điểm M, N có dạng:
Vì tam giác OMN cân nên |a| = |b|
Vì d đi qua A(2;-1) nằm ở góc phần tư thứ tư nên b = -a, a > 0
Suy ra, đường thẳng MN có dạng:
MN đi qua A(2;-1) nên
Vậy đường thẳng MN có dạng:
Câu 11: Đáp án: A
Ta có:
Câu 12: Đáp án: A
Ta có:
Đường thẳng BC đi qua B và có vecto
là vecto pháp tuyến:
BC: 3(x + 1) - 4(y - 0) = 0 ⇔ 3x - 4y + 3 = 0
Gọi AH là đường cao của tam giác ABC
Câu 13: Đáp án: D
Ta có:
Do đó, đường thẳng d và đường thẳng ở đáp án D cắt nhau
Câu 14: Đáp án: B
d: x + 2y - 2 = 0 có
Gọi d’ là đường thẳng đi qua M và vuông góc với d
⇒ d': 2(x - 2) - (y - 5) = 0 ⇔ 2x - y + 1 = 0
Gọi I là giao điểm của d và d’. Suy ra, tọa độ của I là nghiệm của hệ phương trình:
Vì M và M’ đối xứng nhau qua d nên I là trung điểm của MM’
⇒ M'(-2;-3)
Câu 15: Đáp án: C
Thay lần lượt tọa độ của ba điểm A, B, C vào đường thẳng Δ ta được:
A: 1 - 2.0 + 1 = 2 > 0
B: 2 - 2.(-3) + 1 = 9 > 0
C: -2 - 2.4 + 1 = -9 < 0
Ta thấy: A và C nằm khác phía so với Δ nên Δ cắt cạnh AC
B và C nằm khác phía so với Δ nên Δ cắt cạnh BC
Phần II: Tự luận
Câu 1:
Trong (Oxy) cho hai điểm A(-3;1), B(2;0) và đường thẳng Δ: 3x - y - 2 = 0
Viết phương trình tham số của đường thẳng AB
Đường thẳng AB đi qua B và có
là vecto pháp tuyến:
AB: (x - 2) + 5(y - 0) = 0 ⇔ x + 5y - 2 = 0
Viết phương trình tổng quát của đường thẳng d đi qua A và vuông góc với Δ
Δ: 3x - y - 2 = 0 có
⇒ d: (x + 3) + 3(y - 1) = 0 ⇔ x + 3y = 0
Tìm tọa độ điểm M trên đường thẳng Δ sao cho BM = √2
Vì M ∈ Δ ⇒ M(a;3a-2)
Vậy có hai điểm M thỏa mãn yêu cầu đề bài.
Câu 2:
Ta có: A là giao điểm của AB và AD. Do đó, tọa độ A là nghiệm của hệ phương trình:
Hình bình hành ABCD có tâm I nên I là trung điểm của AC và BD ⇒ C(-1;3)
Đường thẳng BC đi qua C và song song với AD
Vì BC song song với AD nên BC có dạng: 2x - 5y + c = 0, (c ≠ -1)
Vì C thuộc BC nên: 2.(-1) - 5.3 + c = 0 ⇒ c = 17(tm)
Vậy phương trình đường thẳng BC là: 2x - 5y + 17 = 0
Đường thẳng DC đi qua C và song song với AB
Vì DC song song với AB nên DC có dạng: x + 3y + c = 0, (c ≠ -6)
Vì C thuộc DC nên: -1 + 3.3 + c = 0 ⇒ c = -8(tm)
Vậy phương trình đường thẳng DC là: x + 3y - 8 = 0
Sở Giáo dục và Đào tạo .....
Đề kiểm tra 1 tiết chương 3 hình học
Môn: Toán 10
Thời gian làm bài: 45 phút
(Đề 5)
Phần I: Trắc nghiệm
Câu 1: Cho đường thẳng
. Phương trình tổng quát của d là:
A. 3x + y + 3 = 0 B. 3x - y + 3 = 0
C. x + 3y + 3 = 0 D. x - 3y + 3 = 0
Câu 2: Đường thẳng qua M(-2;3) và vuông góc với đường thẳng d: 2x - y + 3 = 0 là:
A. 2x - y + 7 = 0 B. 2x + y + 1 = 0
C. x + 2y - 4 = 0 D. x - 2y + 8 = 0
Câu 3: Cho A(-1;3), B(-1;1). Phương trình đường tròn đường kính AB là:
A. x2 + (y + 2)2 = 1 B. (x + 1)2 + (y - 2)2 = 1
C. x2 + (y - 2)2 = 1 D. (x - 1)2 + (y - 2)2 = 1
Câu 4: Đường tròn (C): x2 + y2 - 4x - 2y - 20 = 0 có tâm I và bán kính R là:
A. I(-2;-1), R = 25 B. I(2;1), R = 25
C. I(-2;-1), R = 5 D. I(2;1), R = 5
Câu 5: Elip
có tiêu cự bằng:
A. √7 B. 2√7
C. 8 D. 6
Câu 6: Cho elip (E): 4x2 + 9y2 = 36. Trong các khẳng định sau, khẳng định nào đúng?
A. Độ dài trục lớn bằng 9
B. Độ dài trục nhỏ bằng 2
C. Tiêu điểm F1(0;√5)
D. Tiêu cự bằng 2√5
Phần II: Tự luận
Câu 1: Cho tam giác ABC biết A(-1;2), B(2;-4), C(1;0)
a) Tìm tọa độ trực tâm H của tam giác ABC
b) Viết phương trình đường tròn ngoại tiếp tam giác ABC
c) Viết phương trình tiếp tuyến của đường tròn tại A
Câu 2: Cho elip (E): x2 + 9y2 = 9
a) Tìm tọa độ hai tiêu điểm của elip
b) Tìm trên (E) điểm M sao cho MF1 = 2MF2
Đáp án & Hướng dẫn giải
Phần I: Trắc nghiệm
| Câu hỏi | 1 | 2 | 3 | 4 | 5 | 6 |
|---|---|---|---|---|---|---|
| Đáp án | A | C | B | D | B | D |
Câu 1: Đáp án: A
Ta có:
Câu 2: Đáp án: C
2x - y + 3 = 0 có
Đường thẳng vuông góc với d sẽ nhận
làm vecto pháp tuyến
Vậy đường thẳng qua M(-2;3) nhận
làm vecto pháp tuyến là: 1.(x + 2) + 2(y - 3) = 0 ⇔ x + 2y - 4 = 0
Câu 3: Đáp án: B
Gọi I là trung điểm của AB ⇒ I(-1;2)
Đường tròn đường kính AB là đường tròn tâm I bán kính IA:
(C): (x + 1)2 + (y - 2)2 = 1
Câu 4: Đáp án: D
Ta có:
(C): x2 + y2 - 4x - 2y - 20 = 0 ⇔ (x - 2)2 + (y - 1)2 = 25
Vậy đường tròn (C) có: I(2;1), R = 5
Câu 5: Đáp án: B
có a2 = 16, b2 = 9
Mà c2 = a2 - b2 = 16 - 9 = 7 ⇒ c = √7
Vậy tiêu cự của (E) là 2c = 2√7
Câu 6: Đáp án: D
Phần II: Tự luận
Câu 1:
Cách 1:
Gọi H là trực tâm của tam giác ABC
A(-1;2), B(2;-4), C(1;0)
Đường thẳng CH là đường thẳng đi qua C nhận
là vecto pháp tuyến:
CH: 3(x - 1) - 6(y - 0) = 0 ⇔ x - 2y - 1 = 0
Đường thẳng BH là đường thẳng đi qua B nhận
là vecto pháp tuyến:
BH: 2(x - 2) - 2(y + 4) = 0 ⇔ x - y - 6 = 0
H là giao điểm của CH và BH. Do đó, tọa độ của H là nghiệm của hệ phương trình:
Cách 2:
Gọi H(a;b) là trực tâm của tam giác ABC
Vì H là trực tâm của tam giác ABC nên:
Viết phương trình đường tròn ngoại tiếp tam giác ABC
Gọi phương trình đường tròn ngoại tiếp tam giác ABC có dạng:
(C): x2 + y2 - 2ax - 2by + c = 0(1)
Vì (C) ngoại tiếp tam giác ABC nên tọa độ ba điểm A, B, C thỏa mãn phương trình đường tròn. Ta có hệ phương trình:
Vậy phương trình đường tròn ngoại tiếp tam giác ABC là:
Viết phương trình tiếp tuyến của đường tròn tại A
Phương trình đường tròn (C) có tâm
Phương trình tiếp tuyến của đường tròn tại A là đường thẳng đi qua A và nhận
là vecto pháp tuyến:
Câu 2:
Ta có: c2 = a2 - b2 = 9 - 1 = 8 ⇒ c = 2√2
⇒ F1(-2√2;0), F2(2√2;0)
Tìm trên (E) điểm M sao cho MF1 = 2MF2
Giả sử M(x;y) là điểm thỏa mãn yêu cầu của đề bài
Vì M thuộc (E) nên:
Theo đề bài ta có:
Thay (1) vào (2) ta được:
Vậy có hai điểm thỏa mãn đề bài là:
Xem thêm các bài thi môn Toán lớp 10 chọn lọc, có đáp án hay khác:
Để học tốt lớp 10 các môn học sách mới:
- Giải bài tập Lớp 10 Kết nối tri thức
- Giải bài tập Lớp 10 Chân trời sáng tạo
- Giải bài tập Lớp 10 Cánh diều
Tủ sách VIETJACK shopee lớp 10-11 (cả 3 bộ sách):
Đã có app VietJack trên điện thoại, giải bài tập SGK, SBT Soạn văn, Văn mẫu, Thi online, Bài giảng....miễn phí. Tải ngay ứng dụng trên Android và iOS.
Theo dõi chúng tôi miễn phí trên mạng xã hội facebook và youtube:Nếu thấy hay, hãy động viên và chia sẻ nhé! Các bình luận không phù hợp với nội quy bình luận trang web sẽ bị cấm bình luận vĩnh viễn.
- Giáo án lớp 10 (các môn học)
- Giáo án điện tử lớp 10 (các môn học)
- Giáo án Ngữ văn 10
- Giáo án Toán 10
- Giáo án Tiếng Anh 10
- Giáo án Vật Lí 10
- Giáo án Hóa học 10
- Giáo án Sinh học 10
- Giáo án Lịch Sử 10
- Giáo án Địa Lí 10
- Giáo án Kinh tế Pháp luật 10
- Giáo án Tin học 10
- Giáo án Công nghệ 10
- Giáo án Giáo dục quốc phòng 10
- Giáo án Hoạt động trải nghiệm 10
- Đề thi lớp 10 (các môn học)
- Đề thi Ngữ Văn 10 (có đáp án)
- Chuyên đề Tiếng Việt lớp 10
- Đề cương ôn tập Văn 10
- Đề thi Toán 10 (có đáp án)
- Đề thi cương ôn tập Toán 10
- Đề thi Toán 10 cấu trúc mới (có đáp án)
- Đề thi Tiếng Anh 10 (có đáp án)
- Đề thi Vật Lí 10 (có đáp án)
- Đề thi Hóa học 10 (có đáp án)
- Đề thi Sinh học 10 (có đáp án)
- Đề thi Lịch Sử 10 (có đáp án)
- Đề thi Địa Lí 10 (có đáp án)
- Đề thi Kinh tế & Pháp luật 10 (có đáp án)
- Đề thi Tin học 10 (có đáp án)
- Đề thi Công nghệ 10 (có đáp án)
- Đề thi Giáo dục quốc phòng 10 (có đáp án)


Giải bài tập SGK & SBT
Tài liệu giáo viên
Sách
Khóa học
Thi online
Hỏi đáp

