Đề kiểm tra 1 tiết Toán 10 Chương 4 Đại Số có đáp án (10 đề)
Đề kiểm tra 1 tiết Toán 10 Chương 4 Đại Số có đáp án (10 đề)
Phần dưới là danh sách Đề kiểm tra 1 tiết Toán 10 Chương 4 Đại Số có đáp án (10 đề). Hi vọng bộ đề thi này sẽ giúp bạn ôn luyện & đạt điểm cao trong các bài thi Toán lớp 10.
Sở Giáo dục và Đào tạo .....
Đề kiểm tra 1 tiết chương 4 Học kì 1
Môn: Toán 10
Thời gian làm bài: 45 phút
(Đề 1)
Phần I: Trắc nghiệm (6 điểm)
Câu 1: Tập xác định của hàm số
là:
A. (-∞;2] B. [2;+∞)
C. (2;+∞) D. (-∞;2)
Câu 2: Bất phương trình nào sau đây không tương đương với bất phương trình x + 5 ≥ 0?
Câu 3: Khẳng định nào sau đây đúng?
Câu 4: Với giá trị nào của m thì hai bất phương trình (m + 2)x ≤ m + 1 và 3m(x - 1) ≤ -x - 1 tương đương:
A. m = -3 B. m = -2
C. m = -1 D. m = 3
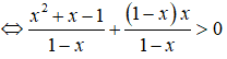
Câu 5: Tập nghiệm của bất phương trình:
là:
A. S = ∅ B. S = R
C. S = (-∞;-1) . D. S = (-1;+∞)
Câu 6: Tập nghiệm của bất phương trình: |2x-1| ≤ x là S = [a;b]. Tính P = a.b ?
A. P = 1/2 B. P = 1/6
C. P = 1 D. P = 1/3
Câu 7: Bất phương trình mx > 3 + m vô nghiệm khi:
A. m = 0 B. m > 0
C. m < 0 D. m ≠ 0
Câu 8: Số nghiệm tự nhiên nhỏ hơn 6 của bất phương trình
là:
A. 3 B. 4
C. 5 D. 6
Câu 9: Cho bất phương trình: m(x - m) ≥ x - 1. Các giá trị nào sau đây của m thì tập nghiệm của bấtphương trình là S = (-∞;m + 1]:
A. m = 1 B. m > 1
C. m < 1 D. m ≥ 1
Câu 10: Với giá trị nào của m thì bất phương trình (m2 + m + 1)x - 5m ≥ (m2 + 2)x - 3m - 1 vô nghiệm ?
A. m = 1 B. m ≥ 1
C. m < 1 D. m ≤ 1
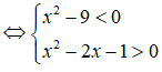
Câu 11:Tập nghiệm của hệ bất phương trình
là:
A.(-∞;1) ∪ (3;+∞) B.(-∞;1) ∪ (4;+∞)
C. (-∞;2) ∪ (3;+∞) D. (1;4)
Câu 12: Tìm tất cả các giá trị thực của tham số m để hệ bất phương trình
có nghiệm.
A. m > -11. B. m ≥ -11.
C. m < -11. D. m ≤ -11.
Phần II: Tự luận (4 điểm)
Câu 1: Giải các bất phương trình và hệ bất phương trình sau:
a) -3x2 + 2x + 1 ≥ 0
b)
c) (1 - 2x)(x2 - x - 1) < 0
Câu 2: Cho bất phương trình: (2m + 1)x + m - 5 ≥ 0
Tìm điều kiện của m để bất phương trình có nghiệm đúng với ∀x ∈ (0;1).
Câu 3: Chứng minh rằng:
Đáp án & Hướng dẫn giải
Phần I: Trắc nghiệm
| Câu | 1 | 2 | 3 | 4 | 5 | 6 |
|---|---|---|---|---|---|---|
| Đáp án | D | D | D | D | C | D |
| Câu | 7 | 8 | 9 | 10 | 11 | 12 |
| Đáp án | A | A | C | A | B | A |
Câu 1: Chọn D.
Hàm số
xác định khi 2 - x > 0 ⇒ x < 2.
Tập xác định của hàm số là S = (-∞;2).
Câu 2: Chọn D.
+) Xét bất phương trình x + 5 ≥ 0 ⇔ x ≥ -5
⇒ Tập nghiệm của bất phương trình là S = [-5;+∞)
+) Xét bất phương trình (x - 1)2(x + 5) ≥ 0
Tập nghiệm của bất phương trình là S = [-5;+∞).
+) Xét bất phương trình -x2(x + 5) ≤ 0
Tập nghiệm của bất phương trình là S = [-5;+∞).
+) Xét bất phương trình
Tập nghiệm của bất phương trình là S = [-5;+∞).
+) Xét bất phương trình
Tập nghiệm của bất phương trình là S = [5;+∞).
Vậy bất phương trình
không tương đương với bất phương trình x + 5 ≥ 0.
Câu 3: Chọn D.
+) x2 ≤ 3x ⇔ x2 - 3x ≤ 0 ⇔ 0 ≤ x ≤ 3 ⇒ Khẳng định A sai
+)
⇒ x < 0 (vì 1 > 0) ⇒ Khẳng định B sai
+) x + |x| ≥ x ⇔ x + |x| - x ≥ 0 ⇔ |x| ≥ 0 ⇒ Khẳng định D đúng
Câu 4: Chọn D.
+) (m + 2)x ≤ m + 1
+) 3m(x - 1) ≤ -x - 1 ⇔ 3mx - 3m + x + 1 ≤ (3m + 1)x ≤ 3m - 1
Hai bất phương trình (m + 2)x ≤ m + 1 và 3m(x - 1) ≤ -x - 1 tương đương khi và chỉ khi hai bất phương trình có cùng tập nghiệm khi đó:
⇔ (m + 1)(3m + 1) = (m + 2)(3m - 1)
⇔ 3m2 + m + 3m + 1 = 3m2 - m + 6m - 2
⇔ 3m2 + m + 3m + 1 - 3m2 + m - 6m + 2 = 0
⇔ -m + 3 = 0
⇔ m = 3 (thỏa mãn)
Câu 5: Chọn C.
⇔ 25x - (x + 1) - 20 < 10x - 35
⇔ 25x - x - 1 - 20 - 10x + 35 < 0
⇔ 14x + 14 < 0
⇔ x < -1
Vậy tập nghiệm của bất phương trình
là S = (-∞;-1).
Câu 6: Chọn D.
Ta có:
Tập nghiệm của bất phương trình là
suy ra
Câu 7: Chọn A.
Với m = 0, bất phương trình trở thành 0.x > 3 + 0 ⇒ 0 > 3 (vô lý)
Bất phương trình vô nghiệm khi m = 0.
Câu 8: Chọn A.
Kết hợp với điều kiện x là số tự nhiên nhỏ hơn 6 ⇒ x ∈ {3; 4; 5}
Câu 9: Chọn C.
Ta có: m(x - m) ≥ x - 1 ⇔ mx - m2 ≥ x - 1 ⇔ (m - 1)x ≥ m2 - 1 (*)
+) Với m < 1 ⇒ m – 1 < 0. Từ (*) suy ra: x ≤ m + 1.
⇒ Tập nghiệm của bất phương trình là S = (-∞;m+1].
+) Với m > 1 ⇒ m – 1 > 0. Từ (*) suy ra: x ≥ m + 1.
⇒ Tập nghiệm của bất phương trình là S = [m+1;+∞).
+) Với m = 1 thì bất phương trình trên trở thành: 0x ≥ 0 ( luôn đúng với mọi x).
Câu 10: Chọn A.
Bất phương trình (m2 + m + 1)x - 5m ≥ (m2 + 2)x - 3m - 1 ⇔ (m - 1)x ≥ 2m - 1 vô nghiệm khi
Câu 11: Chọn B.
Ta có:
Vậy tập nghiệm của bất phương trình là S = (-∞;1) ∪ (4;+∞).
Câu 12: Chọn A.
Hệ bất phương trình có nghiệm
⇔ 14 - m < 25 ⇔ -m < 11 ⇔ m > -11
Phần II: Tự luận
Câu 1:
a) Tam thức f(x) = -3x2 + 2x + 1 có a = -3 < 0 và có hai nghiệm x1 = -1/3; x2 = 1.
Theo đề bài, f(x) ≥ 0, a < 0 ⇒ f(x) trái dấu với hệ số.
Suy ra:
Vậy tập nghiệm của bất phương trình là:
b)
Vậy tập nghiệm của hệ bất phương trình là S = [-1;2].
c) (1 - 2x)(x2 - x - 1) < 0
Trường hợp 1:
Trường hợp 2:
Vậy tập nghiệm của hệ bất phương trình là:
Câu 2:
(2m + 1)x + m - 5 ≥ 0 ⇔ (2m + 1)x ≥ 5 - m (*)
TH1:
, bất phương trình (*) trở thành:
Tập nghiệm của bất phương trình là:
Để bất phương trình đã cho nghiệm đúng với ∀x ∈ (0;1)
thì (0;1)
Hay
TH2:
, bất phương trình (*) trở thành:
Bất phương trình vô nghiệm. ⇒ không có m .
TH3: Với
, bất phương trình (*) trở thành:
Tập nghiệm của bất phương trình là:
Để bất phương trình đã cho nghiệm đúng với ∀x ∈ (0;1)
thì (0;1)
Hay
Kết hợp điều kiện
, ⇒ không có m thỏa mãn.
Vậy với m ≥ 5, bất phương trình đã cho nghiệm đúng với ∀x ∈ (0;1).
Câu 3:
+) Chứng minh:
Ta có:
+) Chứng minh:
Ta có:
Vậy
Sở Giáo dục và Đào tạo .....
Đề kiểm tra 1 tiết chương 4 Học kì 1
Môn: Toán 10
Thời gian làm bài: 45 phút
(Đề 2)
Phần I: Trắc nghiệm
Câu 1: Điều kiện xác định của bất phương trình
là:
Câu 2: Tập nghiệm của bất phương trình 2x(2 - x) ≥ 2 - x là:
Câu 3: Với giá trị nào của m thì bất phương trình m2x + m - 1 < x vô nghiệm?
A. m = 1 và m = -1 B. m = 1
C. m = -1 D. m ∈ ∅
Câu 4: Bất phương trình nào sau đây là bất phương trình bậc nhất hai ẩn?
A. 2x2 + 3y > 0 B. x2 + y2 < 2
C. x + y2 ≥ 0 D. x + y ≥ 0
Câu 5: Phương trình x2 - (m + 1)x + 1 = 0 có nghiệm khi và chỉ khi
A. m > 1 B. –3 < m < 1
C. m ≤ -3 hoặc m ≥ 1 D. -3 ≤ m ≤ 1
Câu 6: Tập nghiệm của bất phương trình
là
Câu 7: Phương trình (m + 2)x2 - 3x + 2m - 3 = 0 có hai nghiệm trái dấu khi và chỉ khi
Câu 8: Cho hệ bất phương trình:
Hệ bất phương trình đã cho có nghiệm khi và chỉ khi
A. m < –5 B. m > –5
C. m > 5 D. m < 5
Câu 9: Với x thuộc tập hợp nào dưới đây thì f(x) = x(5x + 2) - x(x2 + 6) không dương
A. (-∞;1] ∪ [4;+∞) B. [1;4]
C. (1;4) D. [0;1] ∪ [4;+∞)
Câu 10: Tập nghiệm của bất phương trình
Câu 11: Với giá trị nào của m thì phương trình: (m - 1)x2 - 2(m - 2)x + m - 3 = 0 có hai nghiệm x1, x2 và x1 + x2 + x1x2 < 1?
A. 1 < m < 2 B. 1 < m < 3
C. m > 2 D. m > 2
Câu 12: Bất phương trình : |3x - 3| ≤ |2x + 1| có tập nghiệm là
Phần II: Tự luận
Câu 1: Giải các bất phương trình:
Câu 2: Cho phương trình: x2 - 2(m - 3)x + 5 - m = 0
a) Giải phương trình khi m = 1.
b) Tìm tất cả các giá trị của m để phương trình có hai nghiệm phân biệt x1, x2 thỏa mãn x1 < x2 < 1.
Câu 3: Chứng minh rằng
, với mọi a, b ≥ 0
Đáp án & Hướng dẫn giải
Phần I: Trắc nghiệm
| Câu | 1 | 2 | 3 | 4 | 5 | 6 |
|---|---|---|---|---|---|---|
| Đáp án | B | D | B | D | C | A |
| Câu | 7 | 8 | 9 | 10 | 11 | 12 |
| Đáp án | B | B | D | B | B | C |
Câu 1: Chọn B.
Bất phương trình xác định sau (luôn đúng)
⇒ x ∈ R.
Câu 2: Chọn D.
Ta có:
Câu 3: Chọn B.
Xét bất phương trình:
m2x + m - 1 < x ⇔ m2x - x + m - 1 < 0 ⇔ (m2 - 1)x < 1 - m (1)
Với m = 1, bất phương trình (1) trở thành: 0x < 0 ⇔ 0 < 0 (Vô lý) ⇒ Bất phương trình vô nghiệm.
Với m = -1 , bất phương trình (1) trở thành: 0x < 2 ⇔ 0 < 2 (luôn đúng) ⇒ Bất phương trình có vô số nghiệm.
Vậy bất phương trình m2x + m - 1 < x vô nghiệm khi m = 1.
Câu 4: Chọn D.
Câu 5: Chọn C.
Xét phương trình: x2 - (m + 1)x + 1 = 0
Ta có: Δ = (m + 1)2 - 4.1.1 = m2 - 2m + 1 - 4 = m2 - 2m - 3
Phương trình x2 - (m + 1)x + 1 = 0 có nghiệm
⇔ Δ ≥ 0 ⇔ m2 - 2m - 3 ≥ 0
Câu 6: Chọn A.
Ta có:
Vậy tập nghiệm của bất phương trình là (1/2;1).
Câu 7: Chọn B.
Phương trình (m + 2)x2 - 3x + 2m - 3 = 0 có hai nghiệm trái dấu
Vậy phương trình (m + 2)x2 - 3x + 2m - 3 = 0 có hai nghiệm trái dấu khi
Câu 8: Chọn B.
Xét hệ bất phương trình:
Để hệ bất phương trình có nghiệm thì 5 < -m ⇔ m > -5.
Câu 9: Chọn D.
Để f(x) = x(5x + 2) - x(x2 + 6) không dương thì
x(5x + 2) - x(x2 + 6) ≤ 0 ⇔ x(x2 - 5x + 4) ≥ 0
Vậy x ∈ [0;1] ∪ [4;+∞).
Câu 10: Chọn B.
Ta có :
2 - x = 0 ⇔ x = 2
2x + 1 = 0 ⇔ x = -1/2
Xét dấu f(x):
Vậy f(x) ≥ 0 khi
Câu 11: Chọn B.
Ta có: Δ = (m - 2)2 - (m - 1)(m - 3) = (m2 - 4m + 4 ) - (m2 - 4m + 3) = 1 > 0
Phương trình có hai nghiệm phân biệt x1, x2.
Áp dụng hệ thức Vi-ét ta có:
Ta có:
Câu 12: Chọn C.
Vậy tập nghiệm của bất phương trình là
Phần II: Tự luận
Câu 1:
a)
Lập bảng xét dấu:
Tập nghiệm của bất phương trình là [-2;-1) ∪ (1;3) ∪ [4;+∞)
b) |x2 - x - 5| < 4 - x
Ta có:
|x2 - x - 5| < 4 - x
Vậy tập nghiệm của bất phương trình là (-3;1-√2) ∪ (1+√2;3).
c)
Điều kiện:
Bình phương hai vế của bất phương trình ta được:
Vậy tập nghiệm của bất phương trình là [-2;2).
Câu 2:
a) Với m = 1 phương trình trở thành:
x2 + 4x + 4 = 0 ⇔ (x + 2)2 = 0 ⇔ x = -2
Vậy x = -2
b) Ta có: Δ' = m2 - 5m + 4
Phương trình có hai nghiệm phân biệt
⇔ Δ' > 0 ⇔ m2 - 5m + 4 > 0
Do x1 < x2 < 1
Câu 3:
Xét
với mọi a,b ≥ 0 ta có:
Áp dụng bất đẳng Cô-si cho hai số dương a + b và
ta được:
Sở Giáo dục và Đào tạo .....
Đề kiểm tra 1 tiết chương 4 Học kì 1
Môn: Toán 10
Thời gian làm bài: 45 phút
(Đề 3)
Phần I: Trắc nghiệm
Câu 1: Cho bảng xét dấu:
Hỏi bảng xét dấu trên của tam thức nào sau đây:
f(x) = -x2 + 5x - 6 B. f(x) = x2 - 5x + 6
f(x) = x2 + 5x - 6 D. f(x) = -x2 + 5x + 6
Câu 2: Cho tam thức bậc hai f(x) = ax2 + bx + c, (a ≠ 0) có biệt thức Δ = b2 - 4ac. Chọn khẳng định đúng:
A. Nếu Δ < 0 thì af(x) > 0, ∀x ∈ R
B. Nếu Δ > 0 thì af(x) < 0, ∀x ∈ R
C. Nếu Δ ≤ 0 thì af(x) ≥ 0, ∀x ∈ R
D. Nếu Δ ≥ 0 thì af(x) > 0, ∀x ∈ R
Câu 3: Tìm m để phương trình x2 - 2x + m = 0 có hai nghiệm phân biệt
A. m < 4 B. m > 4
C. m < 1 D. m > 1
Câu 4: Tập nghiệm của bất phương trình x2 + 3x - 4 > 0 là:
A. (-∞;-4) ∪ (1;+∞) B. [-4;1]
C. (-4;1) D. (-∞;-4] ∪ [1;+∞)
Câu 5: Hệ bất phương trình sau có nghiệm là:
Câu 6: Bất phương trình nào sau đây tương đương với bất phương trình x + 5 ≥ 0?
Câu 7: Tập xác định của hàm số sau là:
A. D = [-5;1] B. D = [-5;1)
C. D = (-5;1] D. D = (-5;1)
Câu 8: Tập nghiệm của bất phương trình |2x - 1| > x + 2 là:
Phần II: Tự luận
Câu 1: Giải các bất phương trình sau:
Câu 2: Tìm các giá trị của m để bất phương trình sau vô nghiệm:
f(x) = (m + 1)x2 - 2(3 - 2m)x + m + 1 ≥ 0
Câu 3: Cho ba số a, b, c dương thỏa mãn a + b + c = 3. Chứng minh rằng:
Đáp án & Hướng dẫn giải
Phần I: Trắc nghiệm
| Câu hỏi | 1 | 2 | 3 | 4 | 5 | 6 | 7 | 8 |
|---|---|---|---|---|---|---|---|---|
| Đáp án | A | A | C | A | B | B | D | B |
Câu 1: Đáp án A.
Dựa vào bảng xét dấu ta thấy phương trình f(x) = 0 có hai nghiệm là 2 và 3. Từ đó, ta loại được đáp án C và D.
Từ bảng xét dấu ta suy ra được hệ số a của tam thức bậc hai f(x) mang dấu âm
Câu 2: Đáp án A.
Ta có: nếu Δ < 0 thì f(x) luôn cùng dấu với hệ số a với mọi giá trị của x, tức là af(x) > 0, ∀x ∈ R
Câu 3: Đáp án C.
x2 - 2x + m = 0
Δ' = (-1)2 - 1.m = 1 - m
Để phương trình có hai nghiệm phân biệt thì:
Δ' > 0 ⇔ 1 - m > 0 ⇔ m < 1
Câu 4: Đáp án A.
Ta có: x2 + 3x - 4 > 0 ⇔ (x - 1)(x + 4) > 0
Ta có bảng xét dấu vế trái của bất phương trình là:
Dựa vào bảng xét dấu ta thấy, tập nghiệm của bất phương trình là: (-∞;-4) ∪ (1;+∞)
Câu 5: Đáp án: B
Ta có:
Câu 6: Đáp án B.
Ta thấy bất phương trình ở đề bài và bất phương trình (x - 1)2(x + 5) ≥ 0 cùng có tập nghiệm là: [-5; +∞). Do đó, hai bất phương trình này tương đương với nhau
Câu 7: Đáp án D.
Hàm số
xác định khi và chỉ khi -x2 - 4x + 5 > 0 ⇔ -5 < x < 1
Câu 8: Đáp án B.
Ta có:
|2x - 1| ≥ x + 2 ⇔ x + 2 < 0
hoặc
• x + 2 < 0 ⇔ x < -2 (1)
•
Kết hợp (1) và (2) ta có nghiệm của bất phương trình là:
Phần II: Tự luận
Câu 1:
a) -2(x - 1)2 + 5(x + 3) ≤ 2
⇔-2(x2 - 2x + 1) + 5x + 15 ≤ 2
⇔-2x2 + 4x - 2 + 5x + 15 - 2 ≤ 0
⇔-2x2 + 9x + 11 ≤ 0
⇔-(x + 1)(2x - 11) ≤ 0
Vậy tập nghiệm của bất phương trình là:
b)
Ta có bảng xét dấu vế trái của bất phương trình:
Từ bảng xét dấu trên ta thấy, tập nghiệm của bất phương trình là:
c)
ĐKXĐ: x ≥ -1
Vì
và
∀x nên bất phương trình tương đương:
x2 - x3 ≤ 0 ⇔ x2(1 - x) ≤ 0(*)
Vì x2 ≥ 0 nên bất phương trình (*) tương đương:
Vậy tập nghiệm của bất phương trình là: [0;+∞)
Câu 2:
f(x) = (m + 1)x2 - 2(3 - 2m)x + m + 1 ≥ 0 (1)
Với m = -1:
(1) ⇔ -10x ≥ 0 ⇔ x ≤ 0
Vậy với m = -1 bất phương trình (1) có nghiệm x ≤ 0
Suy ra, m = -1 (loại)
Với m ≠ -1:
f(x) = (m +1 )x2 - 2(3 - 2m)x + m + 1
Δ' = [-(3 - 2m)]2 - (m + 1)(m + 1) = (2m - 3)2 - (m + 1)2
= (2m - 3 + m + 1)(2m - 3 - m - 1) = (3m - 2)(m - 4)
Để bất phương trình đã cho vô nghiệm khi và chỉ khi: f(x) < 0 với mọi x.
Vậy không có giá trị nào của m để bất phương trình (1) vô nghiệm.
Câu 3:
Áp dụng bất đẳng thức Cô – si ta có:
Cộng vế với vế bất phương trình (1), (2), (3) ta được:
Sở Giáo dục và Đào tạo .....
Đề kiểm tra 1 tiết chương 4 Học kì 1
Môn: Toán 10
Thời gian làm bài: 45 phút
(Đề 4)
Phần I: Trắc nghiệm
Câu 1: Trong các khẳng định sau đây, khẳng định nào đúng?
Câu 2: Cho bất phương trình
. Tập xác định của bất phương trình là:
A. [-1;+∞] B. (-1;+∞)
C. x ≥ -1, x ≠ 2 D. [-1;2) ∪ (2;+∞)
Câu 3: Bất phương trình
có tập nghiệm là
Câu 4: Bất phương trình
tương đương với bất phương trình
Câu 5: Hệ bất phương trình
có tập nghiệm là
A.(-∞;1) ∪ (3;+∞) B. (-∞;1) ∪ (4;+∞)
C. (-∞;2) ∪ (3;+∞) D. (1;4)
Câu 6: Bất phương trình
có tập nghiệm là
Câu 7: Trong hình vẽ dưới, phần không bị tô màu ( kể bờ) là miền nghiệm của hệ bất phương trình nào?
Câu 8: Bất phương trình ax2 + bx + c > 0 đúng với mọi x khi
Phần II: Tự luận
Câu 1: Giải các bất phương trình sau:
a)
b)
Câu 2: Tìm m để bất phương trình sau vô nghiệm: f(x) = (m - 2)x2 - 2mx + m + 1 > 0
Câu 3: Cho số thực x thỏa mãn 0 < x < 1. Tìm GTNN của hàm số:
Đáp án & Hướng dẫn giải
Phần I: Trắc nghiệm
| Câu 1 | Câu 2 | Câu 3 | Câu 4 | Câu 5 | Câu 6 | Câu 7 | Câu 8 |
|---|---|---|---|---|---|---|---|
| A | D | B | D | B | A | C | C |
Câu 1: Đáp án: A
Dựa vào hệ quả của các bất đẳng thức cơ bản ta có: a < b và c < d ⇒ a + c < b + d
Câu 2: Đáp án: D
ĐKXĐ:
Vậy tập xác định của bất phương trình là: [-1;2) ∪ (2;+∞)
Chú ý: Học sinh thường hay nhầm lẫn giữa đáp án C và D. Khi câu hỏi là “tập xác định” thì chúng ta phải biểu diễn kết quả dưới dạng tập hợp như đáp án D
Câu 3: Đáp án: B
Ta có bảng xét dấu vế trái của (*):
Từ đó suy ra tập nghiệm của (*) là:
Câu 4: Đáp án: D
Ta thấy, bất phương trình đã cho và bất phương trình ở đáp án D có cùng tập xác định. Do đó, hai bất phương trình này sẽ có cùng tập nghiệm.
Chú ý: Hai bất phương trình được gọi là tương đương nếu chúng có cùng tập nghiệm. Nếu sử dụng các phép biến đổi không làm thay đổi tập nghiệm của bất phương trình sẽ cho ta bất phương trình tương đương. Việc thay đổi tập xác định có thể làm thay đổi tập nghiệm của bất phương trình.
Câu 5: Đáp án B.
Ta có:
Vậy tập nghiệm của bất phương trình là: (-∞;1) ∪ (4;+∞)
Câu 6: Đáp án: A
Giải (I):
Giải (II):
Vậy tập nghiệm của bất phương trình đã cho là:
Câu 7: Đáp án C.
Cách 1: Biểu diễn các bất phương trình trên trục tọa độ sau đó kết hợp nghiệm để ra tập nghiệm của bất phương trình và đối chiếu với hình ảnh đã cho
Cách 2: Lấy bất kì một điểm thuộc miền trắng, chẳng hạn (0;1) thay vào các hệ bất phương trình. Ta thấy, điểm (0;1) thỏa mãn hệ bất phương trình ở đáp án C và D. Do yêu cầu của đề bài là lấy cả bờ nên đáp án C là đáp án đúng.
Chú ý: Học sinh hay bỏ quên dữ kiện “ lấy cả bờ” nên thường nhầm lẫn giữa đáp án C và D.
Câu 8: Đáp án C.
Áp dụng lý thuyết về “ Dấu của tam thức bậc hai” ta thấy đáp án C là đáp án đúng.
Phần II: Tự luận
Câu 1:
a)
Bất phương trình (*) tương đương với
hoặc
Ta có:
Vậy tập nghiệm của bất phương trình là (3;5]
b)
ĐK: x ≠ 2
Vì (x - 2)2 > 0, ∀x ≠ 2 nên bất phương trình (1) tương đương với:
Nghiệm của bất phương trình là x ≥ 1/2 và x ≠ 2
Tập nghiệm của bất phương trình là: [1/2;2) ∪ (2;+∞)
Câu 2:
f(x) = (m-2)x2 - 2mx + m + 1 > 0 (*)
Với m = 2 thì bất phương trình (*) trở thành:
f(x) = -4x + 3 > 0 ⇔ x < 3/4
Vậy với m = 2 thì bất phương trình (*) có nghiệm x < 3/4 nên m = 2 (loại)
Với m ≠ 2 thì bất phương trình (*) vô nghiệm khi và chỉ khi
Vậy với m < -2 thì bất phương trình (*) vô nghiệm
Câu 3:
Vì
Áp dụng bất đẳng thức Cô – si đối với hai số
ta được:
Vì 0 < x < 1 ⇒ 1 - x > 0
Áp dụng bất đẳng thức Cô – si đối với hai số
ta được:
Dấu “ = ” xảy khi và chỉ khi
Vậy giá trị nhỏ nhất của hàm số bằng 4 tại x = 1/2
Xem thêm các bài thi môn Toán lớp 10 chọn lọc, có đáp án hay khác:
Top 6 Đề kiểm tra 15 phút Toán 10 Chương 3 Hình học có đáp án
Top 5 Đề kiểm tra 1 tiết Toán 10 Chương 3 Hình học có đáp án
Để học tốt lớp 10 các môn học sách mới:
- Giải bài tập Lớp 10 Kết nối tri thức
- Giải bài tập Lớp 10 Chân trời sáng tạo
- Giải bài tập Lớp 10 Cánh diều
Tủ sách VIETJACK shopee lớp 10-11 (cả 3 bộ sách):
Đã có app VietJack trên điện thoại, giải bài tập SGK, SBT Soạn văn, Văn mẫu, Thi online, Bài giảng....miễn phí. Tải ngay ứng dụng trên Android và iOS.
Theo dõi chúng tôi miễn phí trên mạng xã hội facebook và youtube:Nếu thấy hay, hãy động viên và chia sẻ nhé! Các bình luận không phù hợp với nội quy bình luận trang web sẽ bị cấm bình luận vĩnh viễn.
- Giáo án lớp 10 (các môn học)
- Giáo án điện tử lớp 10 (các môn học)
- Giáo án Ngữ văn 10
- Giáo án Toán 10
- Giáo án Tiếng Anh 10
- Giáo án Vật Lí 10
- Giáo án Hóa học 10
- Giáo án Sinh học 10
- Giáo án Lịch Sử 10
- Giáo án Địa Lí 10
- Giáo án Kinh tế Pháp luật 10
- Giáo án Tin học 10
- Giáo án Công nghệ 10
- Giáo án Giáo dục quốc phòng 10
- Giáo án Hoạt động trải nghiệm 10
- Đề thi lớp 10 (các môn học)
- Đề thi Ngữ Văn 10 (có đáp án)
- Chuyên đề Tiếng Việt lớp 10
- Đề cương ôn tập Văn 10
- Đề thi Toán 10 (có đáp án)
- Đề thi cương ôn tập Toán 10
- Đề thi Toán 10 cấu trúc mới (có đáp án)
- Đề thi Tiếng Anh 10 (có đáp án)
- Đề thi Vật Lí 10 (có đáp án)
- Đề thi Hóa học 10 (có đáp án)
- Đề thi Sinh học 10 (có đáp án)
- Đề thi Lịch Sử 10 (có đáp án)
- Đề thi Địa Lí 10 (có đáp án)
- Đề thi Kinh tế & Pháp luật 10 (có đáp án)
- Đề thi Tin học 10 (có đáp án)
- Đề thi Công nghệ 10 (có đáp án)
- Đề thi Giáo dục quốc phòng 10 (có đáp án)


Giải bài tập SGK & SBT
Tài liệu giáo viên
Sách
Khóa học
Thi online
Hỏi đáp

