Đề kiểm tra 1 tiết Toán 10 Chương 6 Đại số có đáp án (10 đề)
Đề kiểm tra 1 tiết Toán 10 Chương 6 Đại số có đáp án (10 đề)
Phần dưới là danh sách Đề kiểm tra 1 tiết Toán 10 Chương 6 Đại số có đáp án (10 đề). Hi vọng bộ đề thi này sẽ giúp bạn ôn luyện & đạt điểm cao trong các bài thi Toán lớp 10.
Đề kiểm tra 1 tiết
Sở Giáo dục và Đào tạo .....
Đề kiểm tra 1 tiết chương 6
Môn: Toán 10
Thời gian làm bài: 45 phút
(Đề 1)
Phần I: Trắc nghiệm
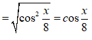
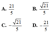
Câu 1: Cho góc α, biết
. Giá trị của cosα là:
Câu 2: Chọn công thức đúng:
A. cos2α = 1 - 2cos2α
B. cos2α = 2sin2α - 1
C. cos2α = 2cos2α + 1
D. cos2α = 1 - 2sin2α
Câu 3: Cho
. Khẳng định nào sau đây đúng?
A. cot α > 0. B. cotα < 0.
C. cotα < 0. D. cotα > 0.
Câu 4: Cho góc α thỏa mãn
Giá trị của biểu thức
là :
Câu 5: Cho góc α thỏa mãn
Giá trị của
là:
Câu 6: Số đo radian của góc 135o là:
Câu 7: Giá trị biểu thức sau khi tanα = 3 là:
Câu 8: Trong các khẳng định sau, khẳng định nào đúng?
A. sin(π - α) = -sinα B. tan(π - α) = tanα
C. cot(π - α) = cotα D. cos(π - α) = -cosα
Câu 9: Trên đường tròn bán kính R = 4, cung 30o có độ dài là bao nhiêu?
Câu 10: Cho góc α thỏa mãn
. Biết sinα + 2cosα = -1, giá trị của sin2α là:
Câu 11: Đơn giản biểu thức
, ta được:
A. A = 1 B. A = 2 sinα
C. A = sinα – cosα D. A = 0
Câu 12: Đơn giản biểu thức A = (1 - sin2α).cot2α + (1 - cot2α) ta được :
A. A = sin2α B. A = cos2α
C. A = -sin2α D. A = -cos2α
Phần II: Tự luận
Câu 1: Cho
. Xác định dấu của các biểu thức sau:
Câu 2: Biết sinα + cosα = m. Tính sinα.cosα và |sin4α - cos4α|.
Câu 3: Chứng minh biểu thức sau không phụ thuộc vào x:
A = cos6x + 3sin2x.cos2x + 2sin4x.cos2 x + sin4x
Đáp án & Hướng dẫn giải
Phần I: Trắc nghiệm
| Câu | 1 | 2 | 3 | 4 | 5 | 6 |
|---|---|---|---|---|---|---|
| Đáp án | B | D | A | B | B | C |
| Câu | 7 | 8 | 9 | 10 | 11 | 12 |
| Đáp án | D | D | B | D | D | A |
Câu 1: Chọn B.
Câu 2: Chọn D
Câu 3: Chọn A.
Ta có:
điểm cuối cung α - π thuộc góc phần tư thứ I
Câu 4:
Ta có:
Câu 5: Chọn B.
Theo giả thiết:
Ta có:
Câu 6: Chọn C
Số đo radian của góc 135o là:
Câu 7: Chọn D.
Câu 8: Chọn D.
Câu 9: Chọn B.
Câu 10: Chọn D.
Ta có:
sin2α + cos2α = 1
sinα + 2cosα = -1 ⇔ sinα = -1 - 2cosα
⇔ (-1 - 2cosα)2 + cos2 α = 1
⇔ 1 + 4cosα + 4cos2α + cos2α = 1
⇔ 5cos2α + 4cosα = 0
Vì π/2 < α < π ⇒ cosα < 0. Do đó, cos α = -4/5
Ta lại có:
Câu 11: Chọn D.
Câu 12: Chọn A.
Phần II: Tự luận
Câu 1:
Câu 2:
Ta có (sinα + cosα)2 = sin2α + 2sinαcosα + cos2α = 1 + 2sinαcosα
Mặt khác sinα + cosα = m nên sinα + cosα = m ⇔ (sinα + cosα)2 = m2
⇔ sin2α + cos2α + 2sinαcosα = m2
⇔ 1 + 2sinαcosα = m2
⇔ 2sinαcosα = m2 - 1
Đặt A = |sin4 α - cos4α|.
Ta có:
A = |sin4α - cos4α |
= |(sin2α - cos2α)(sin2 α + cos2α )|
=|(sinα + cosα )(sinα - cosα )|
⇒ A2 = (sinα + cosα)2(sinα - cosα)2 = (1 + 2sinxcosx)(1 - 2sinxcosx)
⇒ A2 = (1 + 2sinxcosx)(1 - 2sinxcosx )
Câu 3:
A = cos6x + 3sin2x.cos2x + 2sin4x. cos2x + sin4x
= cos6x + 3.(1 - cos2x)cos4x + 2sin4x.cos2x + sin4x
= cos6x + 3cos4x - 3cos6x + 2sin4x.(1 - sin2x) + sin4x
= cos6x + 3cos4x - 3cos6x + 2sin4x - 2sin6x + sin4x
= -2.(cos6x + sin6x) + 3 cos4x + 3sin4x
= -2.(cos6x + sin6x) + 3.(cos4x + sin4x) = 1
Vậy biểu thức A không phụ thuộc vào x.
Sở Giáo dục và Đào tạo .....
Đề kiểm tra 1 tiết chương 6
Môn: Toán 10
Thời gian làm bài: 45 phút
(Đề 2)
Phần I: Trắc nghiệm
Câu 1: Điểm cuối của α thuộc góc phần tư thứ ba của đường tròn lượng giác. Khẳng định nào sau đây là không đúng ?
A. sinα > 0 B. cosα < 0
C. tanα > 0 D. cotα > 0
Câu 2: Cho
. Trong các khẳng định sau, khẳng định nào đúng?
A. sin(α - π) ≥ 0 B. sin(α - π) ≤ 0
C. sin(α - π) < 0 D. sin(α - π) < 0
Câu 3: Cho
.
Dấu của biểu thức
là:
A. M ≥ 0 B. M > 0
C. M ≤ 0 D. M < 0
Câu 4: Giá trị của biểu thức sau là:
A. H = 1 B. H = -1
C. H = 0 D. H = 1/2
Câu 5: Cho sin2α = a với 0 < α < 90o. Giá trị của sinα + cosα bằng:
Câu 6: Cho sinα = 0,6 với
. Giá trị của cos2α bằng:
A. 0,96 B. -0,96
C. 0,28 D. -0,28
Câu 7: Giá trị của tan(π/4) là
Câu 8: Số đo radian của góc 225o là:
Câu 9: Nếu sinx + cos x = 1/2 thì 3sinx + 2cosx bằng
Câu 10: Trong tam giác ABC, đẳng thức nào dưới đây luôn đúng?
Câu 11: Chọn đẳng thức đúng:
A. sin(π - α) = sinα B. cos(π - α) = cosα
C. tan(π - α) = tanα D. cot(π - α) = cotα
Câu 12: Giá trị của biểu thức A = sin6x + cos6x + 3sin2cos2 là :
A. A = -1 B. A = 1
C. A = 4 D. A = -4
Phần II: Tự luận
Câu 1: Chứng minh đẳng thức (khi các biểu thức có nghĩa):
Câu 2: Cho
. Tính các giá trị cosα, tanα, cotα.
Câu 3: Biết
Tính giá trị biểu thức
Đáp án & Hướng dẫn giải
Phần I: Trắc nghiệm
| Câu | 1 | 2 | 3 | 4 | 5 | 6 |
|---|---|---|---|---|---|---|
| Đáp án | A | C | D | A | D | C |
| Câu | 7 | 8 | 9 | 10 | 11 | 12 |
| Đáp án | A | B | A | C | A | B |
Câu 1: Chọn A.
Điểm cuối của α thuộc góc phần tư thứ ba của đường tròn lượng giác
Câu 2: Chọn C.
Ta có:
Câu 3: Chọn D.
Ta có:
Câu 4: Chọn A.
Ta có:
Câu 5: Chọn D.
Ta có: sin2α = a ⇒ 2sinα.cosα = a với 0 < α < 90o.
sin2α + cos2α = 1
⇔ sin2α + cos2α + 2sinαcosα - 2sinαcosα = 1
⇔ (sinα + cosα)2 - 2sinαcosα = 1
⇔ (sinα + cosα)2 = 1 + 2sinαcosα
⇔ (sinα + cosα)2 = 1 + a
Câu 6: Chọn C.
Áp dụng công thức: cos2α = 1 - 2sin2α = 1 - 2.(0,6)2 = 0,28
Câu 7: Chọn A.
Câu 8: Chọn B.
Số đo radian của góc 225o là:
Câu 9: Chọn A.
Ta có:
Câu 10: Chọn C.
Xét tam giác ABC, ta có: ∠A + ∠B + ∠C = 180o ⇒ ∠A + ∠B = 180o - ∠C
Câu 11: Chọn A.
Ta có: sin(π - α) = sinα; cos(π - α) = -cosα; tan(π - α) = -tanα; cot(π - α) = -cotα
Câu 12: Chọn B.
Phần II: Tự luận
Câu 1:
1) Xét vế trái:
Ta thấy VT = VP ⇒ ĐCCM
2) Ta có:
Câu 2:
Ta có:
Mà
Câu 3:
Sở Giáo dục và Đào tạo .....
Đề kiểm tra 1 tiết chương 6
Môn: Toán 10
Thời gian làm bài: 45 phút
(Đề 3)
Phần I: Trắc nghiệm
Câu 1: Cung lượng giác 45o có số đo bằng rad là:
Câu 2: Một đường tròn có bán kính R = 5(cm). Độ dài của cung trên đường tròn có số đo 135o là:
Câu 3: Trên đường tròn lượng giác gốc A. Cho các cung lượng giác có điểm đầu A và có số đo như sau:
Các cung có điểm cuối trùng nhau là?
A. II và IV B. I và II
C. I và III D. I và IV
Câu 4: Đẳng thức nào sau đây sai?
Câu 5: Cho
. Khẳng định nào sau đây đúng?
Câu 6: Chọn đáp án đúng
A. cos4x = 2cos2x - 1
B. cos4x = 4cos2x - 1
C. sin4x = 4sinxcosx
D. sin4x = 2sin2xcos2x
Câu 7: Kết quả thu gọn của biểu thức
là:
A. sina B. cosa
C. 2 D. 0
Câu 8: Chọn khẳng định đúng
A. cos(a+b) = cosa.cosb + sina.sinb
B. cos(a+b) = cosa.cosb - sina.sinb
C. cos(a+b) = sina.cosb + sinb.cosa
D. cos(a+b) = sina.cosb - sinb.cosa
Câu 9: Giá trị lớn nhất của biểu thức A = sin2x + 2cos x + 1 là:
A. 4 B. 3
C. 2 D. 1
Câu 10: Kết quả thu gọn của biểu thức sau:
Phần II: Tự luận
Câu 1: Tính sina, sin2a biết
Câu 2: Chứng minh các đẳng thức:
Câu 3: Chứng minh biểu thức sau không phụ thuộc vào x:
Đáp án & Hướng dẫn giải
Phần I: Trắc nghiệm
| Câu hỏi | 1 | 2 | 3 | 4 | 5 |
|---|---|---|---|---|---|
| Đáp án | B | C | C | C | A |
| Câu hỏi | 6 | 7 | 8 | 9 | 10 |
| Đáp án | D | D | B | B | C |
Câu 1: Đáp án: B
Cung lượng giác 45o có số đo bằng rad là:
Câu 2: Đáp án: C
Độ dài của cung trên đường tròn có số đo 135o là:
Câu 3: Đáp án: C
Ta có:
Vậy cung (I) và (III) có điểm cuối trùng nhau
Câu 4: Đáp án: C
Ta có:
Câu 5: Đáp án: A
Ta có:
Câu 6: Đáp án: D
Ta có: sin4x = sin2(2x) = 2sin2xcos2x
Câu 7: Đáp án: D
Ta có:
Câu 8: Đáp án: B
Câu 9: Đáp án: B
Ta có:
A = sin2x + 2cosx + 1 = 1 - cos2x + 2cosx + 1 = -cos2x + 2cosx + 2
A = -(cos2x - 2cosx + 1) + 3 = -(cosx - 1)2 + 3
Mà -(cosx - 1)2 ≤ 0 ⇒ -(cosx - 1)2 + 3 ≤ 3
Vậy giá trị lớn nhất của A bằng 3
Câu 10: Đáp án: C
Phần II: Tự luận
Câu 1:
Ta có:
Câu 2:
a) Ta có:
b) Ta có:
Câu 3:
Vậy biểu thức A không phụ thuộc vào x
Sở Giáo dục và Đào tạo .....
Đề kiểm tra 1 tiết chương 6
Môn: Toán 10
Thời gian làm bài: 45 phút
(Đề 4)
Phần I: Trắc nghiệm
Câu 1: Cho
. Khẳng định nào sau đây đúng?
Câu 2: Cho
. Khẳng định nào sau đây đúng?
Câu 3: Thu gọn biểu thức sin3xcos5x - cos3xsin5x ta được:
A. sin2x B. sin(-2x)
C. sin8x D. cos8x
Câu 4: Trong các cặp góc lượng giác sau, cặp góc nào có cùng tia đầu và tia cuối trên đường tròn lượng giác?
Câu 5: Trên đường tròn lượng giác bán kính 15cm, độ dài cung có số đo 3,4 rad là:
A. 51cm B. 102cm
C. 160,14cm D. 160,22cm
Câu 6: Đổi số đo góc 21π/4 ra đơn vị độ là:
A. 16,485o B. 945o
C. 1000o D. 1648,5o
Câu 7: Cho tam giác ABC vuông tại A. Chọn câu sai:
A. sinB = cosC B. tanA + cotA = 1
C. tanB = cotC D. sinA + cosA = 1
Câu 8: Cho tanx = 2. Khi đó, giá trị biểu thức
bằng:
Phần II: Tự luận
Câu 1:
Cho
a) Tính cosα, tanα, cotα?
b) Tính
Câu 2: Rút gọn các biểu thức sau:
Câu 3: Chứng minh đẳng thức:
Đáp án & Hướng dẫn giải
Phần I: Trắc nghiệm
| Câu hỏi | 1 | 2 | 3 | 4 | 5 | 6 | 7 | 8 |
|---|---|---|---|---|---|---|---|---|
| Đáp án | C | A | B | B | A | B | B | D |
Câu 1: Đáp án: C
Câu 2: Đáp án: A
Ta có:
Câu 3: Đáp án: B
Ta có: sin3xcos5x - cos3xsin5x = sin(3x-5x) = sin(-2x)
Câu 4: Đáp án: B
Ta có:
Vậy hai góc lượng giác
có cùng tia đầu và tia cuối trên đường tròn lượng giác.
Câu 5: Đáp án: A
Độ dài cung có số đo 3,4 rad là: l = Rα = 15.3,4 = 51cm
Câu 6: Đáp án: B
Đổi số đo góc 21π/4 ra đơn vị độ là:
Câu 7: Đáp án: B
Vì tam giác ABC vuông tại A nên ∠B + ∠C = 90o
⇒ sinB = cosC; tanB = cotC
A = 900 ⇒ cosA = 0, sinA = 1 ⇒ sinA + cosA = 1
Vậy đáp án B sai
Câu 8: Đáp án: D
Ta có:
Phần II: Tự luận
Câu 1:
a) Ta có:
b) Ta có:
Câu 2:
Câu 3:
Ta có:
Xem thêm các bài thi môn Toán lớp 10 chọn lọc, có đáp án hay khác:
Top 6 Đề kiểm tra 15 phút Toán 10 Chương 3 Hình học có đáp án
Top 5 Đề kiểm tra 1 tiết Toán 10 Chương 3 Hình học có đáp án
Để học tốt lớp 10 các môn học sách mới:
- Giải bài tập Lớp 10 Kết nối tri thức
- Giải bài tập Lớp 10 Chân trời sáng tạo
- Giải bài tập Lớp 10 Cánh diều
Tủ sách VIETJACK shopee lớp 10-11 (cả 3 bộ sách):
Đã có app VietJack trên điện thoại, giải bài tập SGK, SBT Soạn văn, Văn mẫu, Thi online, Bài giảng....miễn phí. Tải ngay ứng dụng trên Android và iOS.
Theo dõi chúng tôi miễn phí trên mạng xã hội facebook và youtube:Nếu thấy hay, hãy động viên và chia sẻ nhé! Các bình luận không phù hợp với nội quy bình luận trang web sẽ bị cấm bình luận vĩnh viễn.
- Giáo án lớp 10 (các môn học)
- Giáo án điện tử lớp 10 (các môn học)
- Giáo án Ngữ văn 10
- Giáo án Toán 10
- Giáo án Tiếng Anh 10
- Giáo án Vật Lí 10
- Giáo án Hóa học 10
- Giáo án Sinh học 10
- Giáo án Lịch Sử 10
- Giáo án Địa Lí 10
- Giáo án Kinh tế Pháp luật 10
- Giáo án Tin học 10
- Giáo án Công nghệ 10
- Giáo án Giáo dục quốc phòng 10
- Giáo án Hoạt động trải nghiệm 10
- Đề thi lớp 10 (các môn học)
- Đề thi Ngữ Văn 10 (có đáp án)
- Chuyên đề Tiếng Việt lớp 10
- Đề cương ôn tập Văn 10
- Đề thi Toán 10 (có đáp án)
- Đề thi cương ôn tập Toán 10
- Đề thi Toán 10 cấu trúc mới (có đáp án)
- Đề thi Tiếng Anh 10 (có đáp án)
- Đề thi Vật Lí 10 (có đáp án)
- Đề thi Hóa học 10 (có đáp án)
- Đề thi Sinh học 10 (có đáp án)
- Đề thi Lịch Sử 10 (có đáp án)
- Đề thi Địa Lí 10 (có đáp án)
- Đề thi Kinh tế & Pháp luật 10 (có đáp án)
- Đề thi Tin học 10 (có đáp án)
- Đề thi Công nghệ 10 (có đáp án)
- Đề thi Giáo dục quốc phòng 10 (có đáp án)


Giải bài tập SGK & SBT
Tài liệu giáo viên
Sách
Khóa học
Thi online
Hỏi đáp

