Đề kiểm tra 15 phút Toán 10 Chương 4 Đại Số có đáp án (10 đề)
Đề kiểm tra 15 phút Toán 10 Chương 4 Đại Số có đáp án (10 đề)
Phần dưới là danh sách Đề kiểm tra 15 phút Toán 10 Chương 4 Đại Số có đáp án (10 đề). Hi vọng bộ đề thi này sẽ giúp bạn ôn luyện & đạt điểm cao trong các bài thi Toán lớp 10.
đề kiểm tra 15 phút
Sở Giáo dục và Đào tạo .....
Đề kiểm tra 15 phút chương 4
Môn: Toán 10
Thời gian làm bài: 15 phút
(Đề 1)
Câu 1: Tập xác định của hàm số
là
Câu 2: Cho biểu thức f(x) = (x + 5)(3 - x). Tập hợp tất cả các giá trị của x thỏa mãn bất phương trình f(x) ≤ 0 là
A. x ∈ (-∞;5) ∪ (3;+∞) B. x ∈ (3;+∞)
C. x ∈ (-5;3) D. x ∈ (-∞;-5] ∪ [3;+∞)
Câu 3: Giá trị của m để bất phương trình m2x + 3 < mx + 4 có nghiệm là:
A. ∀x ∈ R B. m = 0
C. m = 0 và m = 1 D. m = 1
Câu 4: Giá trị nào của m thì bất phương trình (m2 + m + 1)x - 5m ≥ (m2 + 2)x - 3m - 1 vô nghiệm là:
A. m = 1 B. m ≥ 1
C. m < 1 D. m ≤ 1
Câu 5: Tập nghiệm của hệ bất phương trình
là:
A. S= (-∞; -3] ∪ (3;+∞) B. S = [-3;3)
C. S = (-∞;3) D. S = [-∞;-3] ∪ (3;+∞)
Câu 6: Số nghiệm nguyên của hệ bất phương trình là:
A. 4 B. 10
C. 8 D. 12
Câu 7: Hệ bất phương trình
vô nghiệm khi
A. m ≤ -2 B. m > -2
C. m < -1 D. m = 0
Câu 8: Bất phương trình
có tập nghiệm là:
A. (-∞;3) B. (1;3)
C. [1;3) D. (-∞;1)
Câu 9: Tập nghiệm của bất phương trình
là:
Câu 10: Tìm tất cả các giá trị thực của tham số m để f(x) = m(x - m) - (x - 1) không âm với mọi x ∈ (-∞; m + 1].
A. m = 1 B. m > 1
C. m < 1 D. m ≥ 1
Đáp án & Hướng dẫn giải
| Câu | 1 | 2 | 3 | 4 | 5 | 6 | 7 | 8 | 9 | 10 |
|---|---|---|---|---|---|---|---|---|---|---|
| Đáp án | A | D | A | A | B | C | A | D | D | C |
Câu 1: Chọn A.
Hàm số
xác định khi
Vậy tập xác định của hàm số
là
.
Câu 2: Chọn D.
Để f(x) ≤ 0 thì (x + 5)(3 - x) < 0
Vậy x ∈ (-∞;-5] ∪ [3;+∞).
Câu 3: Chọn A.
m2x + 3 < mx + 4 ⇔ m(m - 1)x < 1 vô nghiệm
, vô lí.
Vậy với ∀m ∈ R, bất phương trình có nghiệm.
Câu 4: Chọn A.
Bất phương trình (m2 + m + 1)x - 5m ≥ (m2 + 2)x - 3m - 1 ⇔ (m - 1)x ≥ 2m - 1 vô nghiệm khi
Câu 5: Chọn B
Ta có:
Tập nghiệm của hệ bất phương trình là S = [-3;3).
Câu 6: Chọn C.
Ta có:
Mà x nguyên ⇒ x ∈ {4;5;....;11}
Vậy có 8 giá trị của x thỏa mãn hệ bất phương trình.
Câu 7: Chọn A.
Hệ bất phương trình vô nghiệm m - 1 ≤ -3 ⇔ m ≤ -2
Câu 8: Chọn D.
Điều kiện: x < 3
Vì
Vậy tập nghiệm của bất phương trình là S = (-∞;1)
Câu 9: Chọn D.
Điều kiện: x ≠ -2;1
Khi đó, ta có:
Lập bảng xét dấu.
Tập nghiệm của bất phương trình
là
.
Câu 10: Chọn C.
m(x - m) - (x - 1) ≥ 0 ⇔ (m - 1)x ≥ m2 - 1.
+) m = 1 ⇒ x ∈ R. (không thỏa)
+) Xét m > 1 thì (1) ⇔ x ≥ m + 1 không thỏa điều kiện nghiệm đã cho.
+) Xét m < 1 thì (1) ⇔ x ≥ m + 1 thỏa điều kiện nghiệm đã cho.
Vậy m < 1.
Sở Giáo dục và Đào tạo .....
Đề kiểm tra 15 phút chương 4
Môn: Toán 10
Thời gian làm bài: 15 phút
(Đề 2)
Câu 1: Dấu của tam thức 3x2 - 2x + 1 là:
A. 3x2 - 2x + 1 ≥ 0, ∀x ∈ R B. 3x2 - 2x + 1 > 0,∀x ∈ R
C. 3x2 - 2x + 1 < 0, ∀x ∈ R D. 3x2 - 2x + 1 ≤ 0,∀x ∈ R
Câu 2: Cho biểu thức: (-x2 + x - 1)(6x2 - 5x + 1)
A. (-x2 + x - 1)(6x2 - 5x + 1) > 0
B. (-x2 + x - 1)(6x2 - 5x + 1) < 0
C. (-x2 + x - 1)(6x2 - 5x + 1) > 0
D. (-x2 + x - 1)(6x2 - 5x + 1) < 0
Câu 3: Tập nghiệm của bất phương trình x2 + x - 12 < 0 là:
A. S = (-4;3) B. S = (-∞;-4)
C. S = (3;+∞) D. S = R
Câu 4: Giá trị của tham số m để phương trình x2 - mx + m + 3 = 0 có nghiệm là:
A. m ∞ (-∞;-2] B. m ∞ [6;+∞)
C. m ∞ [-2;6] D. m ∞ (-∞;-2] ∪ [6;+∞)
Câu 5: Tập nghiệm của hệ bất phương trình
là:
A. S = [-1;2] B. S = (-1;2)
C. S = (-∞;-1) D. S = R
Câu 6: Cho hệ bất phương trình
. Các giá trị của x thỏa mãn hệ bất phương trình khi m = 1 là:
Câu 7: Giá trị của m để bất phương trình m2x + m(x + 1) - 2(x - 1) > 0 nghiệm đúng với mọi x ∈ [-2;1] là:
Câu 8: Tập nghiệm của bất phương trình (4 - 3x)(-2x2 + 3x - 1) ≤ 0 là:
Câu 9: Giá trị của m để biểu thức
luôn dương là:
Câu 10: Giá trị của m để biểu thức -x2 - 2x - m luôn âm là:
Đáp án & Hướng dẫn giải
| Câu | 1 | 2 | 3 | 4 | 5 | 6 | 7 | 8 | 9 | 10 |
|---|---|---|---|---|---|---|---|---|---|---|
| Đáp án | B | A | A | D | B | D | A | C | A | D |
Câu 1: Chọn B.
Ta có Δ' = -2 < 0, a = 3 > 0 ⇒ Tam thức 3x2 - 2x + 1 có cùng dấu với hệ số a ⇒ 3x2 - 2x + 1 > 0, ∀x ∈ R
Câu 2: Chọn A.
Ta có:
+) -x2 + x - 1 = 0: PT vô nghiệm
+) 6x2 - 5x + 1 = 0
Lập bảng xét dấu:
Suy ra
(-x2 + x - 1)(6x2 - 5x + 1) > 0
(-x2 + x - 1)(6x2 - 5x + 1) < 0
Câu 3: Chọn A.
Tam thức f(x) = x2 + x - 12 có a = 1 > 0 và có hai nghiệm x1 = -4; x2 = 3
(f(x) trái dấu với hệ số a).
Suy ra x2 + x - 12 < 0 ⇔ -4 < x < 3
Vậy tập nghiệm của bất phương trình là S = (-4;3).
Câu 4: Chọn D.
Phương trình có nghiệm khi và chỉ khi Δ ≥ 0
⇔ m2 - 4(m + 3) ≥ 0
⇔ m2 - 4m - 12 ≥ 0
Vậy với m ∈ (-∞;-2] ∪ [6;+∞) thì phương trình có nghiệm
Câu 5: Chọn B.
Ta có:
Vậy tập nghiệm hệ bất phương trình là S = (-1;2).
Câu 6: Chọn D.
Với m = 1 hệ bất phương trình trở thành:
Vậy tập nghiệm hệ bất phương trình là
Câu 7: Chọn A.
Bất phương trình m2x + m(x + 1) - 2(x - 1) > 0 có nghiệm đúng với mọi x ∈ [-2;1] khi và chỉ khi
Câu 8: Chọn C.
Ta có :
+) 4 - 3x = 0 ⇔ x = 4/3
+) -2x2 + 3x - 1 = 0
Lập bảng xét dấu :
Vậy tập nghiệm của bất phương trình (4 - 3x)(-2x2 + 3x - 1) ≤ 0 là
.
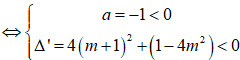
Câu 9: Chọn A.
Tam thức -4x2 + 5x - 2 có a = -4 <0, Δ = -7 < 0 suy ra -4x2 + 5x - 2 < 0, ∀x
Do đó
luôn dương khi và chỉ khi -x2 + 4(m + 1)x + 1 - 4m2 luôn âm
Vậy với
thì biểu thức
luôn dương.
Câu 10: Chọn D.
Biểu thức -x2 - 2x - m < 0 (∀x ∈ R)
Vậy với
thì biểu thức -x2 - 2x - m luôn âm.
Sở Giáo dục và Đào tạo .....
Đề kiểm tra 15 phút chương 4
Môn: Toán 10
Thời gian làm bài: 15 phút
(Đề 3)
Câu 1: Tập xác định của hàm số
là:
Câu 2: Tập nghiệm của bất phương trình
là:
Câu 3: Tập nghiệm của bất phương trình |3x - 5| ≤ 2x + 3 là:
Câu 4: Nhị thức nào sau đây nhận giá trị âm với mọi x > -3/2 ?
A. y = -2x + 3 B. y = -3x - 2
C. y = 3x + 2 D. y = -2x - 3
Câu 5: Giá trị của m để bất phương trình 3x - 2m + 5 ≥ 0 có tập nghiệm là tập con của [2;+∞) là:
Câu 6: Hàm số
có tập xác định là một đoạn trên trục số khi:
A. m > -2 B. m < -2
C. m > -1/2 D. m > 2
Câu 7: Nhị thức y = -x + 3 nhận giá trị dương khi:
A. x > 3 B. x < 3
C. x > -3 D. x < -3
Câu 8: Tập nghiệm của bất phương trình
là:
A. (-1;2) B. [-1;2]
C. (-∞;-1) ∪ (2;+∞) D. (-∞;-1] ∪ [2;+∞)
Đáp án & Hướng dẫn giải
| Câu hỏi | 1 | 2 | 3 | 4 | 5 | 6 | 7 | 8 |
|---|---|---|---|---|---|---|---|---|
| Đáp án | C | A | B | D | D | A | B | A |
Câu 1: Chọn C.
Hàm số
xác định khi và chỉ khi
Vì x2 + 2 > 0
⇔ 2 - 4x > 0 ⇔ 4x <2 ⇔ x < 1/2
Vậy tập xác định của bất phương trình là: (-∞;1/2)
Câu 2: Chọn A.
Ta có:
Bảng xét dấu bất phương trình:
Dựa vào bảng xét dấu ta có tập nghiệm của bất phương trình là:
Câu 3: Chọn B
Ta có:
Vậy tập nghiệm của bất phương trình là: [2/5; 8]
Câu 4: Chọn D.
Nhị thức f(x) nhận giá trị âm với mọi x > -3/2. Do đó, phương trình f(x) = 0 có nghiệm x = -3/2, loại đáp án A và B.
Vì nhị thức f(x) nhận giá trị âm với mọi x > -3/2 nên hệ số a < 0
Câu 5: Chọn D.
Ta có:
Vậy tập nghiệm của bất phương trình là:
Để
Câu 6: Chọn A.
Hàm số
có nghĩa khi và chỉ khi:
Để tập xác định của hàm số là một đoạn thì
Câu 7: Chọn B.
Dựa vào dấu của nhị thức bậc nhất ta có nhị thức y = -x + 3 nhận giá trị dương khi x < 3
Câu 8: Chọn A.
Ta có:
Ta có bảng xét dấu:
Dựa vào bảng xét dấu ta có tập nghiệm của bất phương trình là: (-1;2)
Sở Giáo dục và Đào tạo .....
Đề kiểm tra 15 phút chương 4
Môn: Toán 10
Thời gian làm bài: 15 phút
(Đề 4)
p>Câu 1: Tập xác định của hàm sốCâu 2: Các giá trị m để tam thức f(x) = x2 - (m + 2)x + 8m + 1 đổi dấu 2 lần là:
A. m ≤ 0 hoặc m ≥ 28 B. m < 0 hoặc m > 28
C. 0 < m < 28 D. m > 0
Câu 3: Cho bảng xét dấu:
Bảng xét dấu trên là của tam thức bậc hai nào sau đây?
A. f(x) = -x2 - x + 6 B. f(x) = x2 + x - 6
C. f(x) = -x2 + x + 6 D. f(x) = x2 - x + 6
Câu 4: Tập nghiệm của hệ bất phương trình
là:
A. (-∞;1) ∪ (4;+∞) B. (-∞;1) ∪ (3;+∞)
C. (-∞;2) ∪ (3;+∞) D. (1;4)
Câu 5: Tìm m để (m + 1)x2 + mx + m < 0, ∀x ∈ R?
Câu 6: Tập nghiệm của bất phương trình
là:
A. (-∞;-4) ∪ (-1;1) ∪ (4;+∞) B. (-∞;-4)
B. (-1;1) D. (4;+∞)
Câu 7: Hệ bất phương trình
có nghiệm khi:
A. m > 1 B. m < 1
C. m = 1 D. m ≠ 1
Câu 8: Xét dấu biểu thức
ta có:
A. f(x) > 0 khi -7 < x < -1 hoặc 1 < x < 3
B. f(x) > 0 khi x < -7 hoặc -1 < x < 1 hoặc x > 3
C. f(x) > 0 khi -1 < x < 0 hoặc x > 1
D. f(x) > 0 khi x > -1
Đáp án & Hướng dẫn giải
| Câu hỏi | 1 | 2 | 3 | 4 | 5 | 6 | 7 | 8 |
|---|---|---|---|---|---|---|---|---|
| Đáp án | C | B | A | A | C | A | B | B |
Câu 1: Đáp án C
Hàm số
xác định khi và chỉ khi:
Vậy tập xác định của hàm số là:
Câu 2: Đáp án: B
Tam thức f(x) = x2 - (m + 2)x + 8m + 1 đổi dấu hai lần khi và chỉ khi f(x) có hai nghiệm phân biệt
Ta có: Δ = [-(m + 2)]2 - 4.(8m + 1) = m2 - 28m
f(x) có hai nghiệm phân biệt khi và chỉ khi
Δ > 0 ⇔ m2 - 28m > 0
Câu 3: Đáp án: A
Từ bảng xét dấu ta thấy phương trình f(x) = 0 có 2 nghiệm là -3 và 2. Do đó, ta loại được đáp án C và D
Dựa vào bảng xét dấu, f(x) > 0 trong khoảng (-3;2) do đó hệ số a < 0
Câu 4: Đáp án: A
Ta có bảng xét dấu:
Dựa vào bảng xét dấu ta thấy tập nghiệm của bất phương trình là: (-∞;1) ∪ (4;+∞)
Câu 5: Đáp án C
Bất phương trình (m + 1)x2 + mx + m < 0, ∀x ∈ R khi và chỉ khi:
Câu 6: Đáp án A.
Ta có:
Bảng xét dấu bất phương trình (1):
Dựa vào bảng xét dấu ta thấy tập nghiệm của bất phương trình (1) là: (-∞;-4) ∪ (-2;1) ∪ (2;+∞)
Bảng xét dấu bất phương trình (2):
Dựa vào bảng xét dấu ta thấy tập nghiệm của bất phương trình (2) là: (-∞;-2) ∪ (-1;2) ∪ (4;+∞)
Vậy tập nghiệm của hệ bất phương trình là: (-∞;-4) ∪ (-1;1) ∪ (4;+∞)
Câu 7: Đáp án: B
Ta có:
Vậy hệ bất phương trình có nghiệm khi và chỉ khi m < 1
Câu 8: Đáp án: B
Ta có bảng xét dấu:
Dựa vào bảng xét dấu ta thấy: f(x) > 0 khi x < -7 hoặc -1 < x < 1 hoặc x > 3
Xem thêm các bài thi môn Toán lớp 10 chọn lọc, có đáp án hay khác:
Top 6 Đề kiểm tra 15 phút Toán 10 Chương 3 Hình học có đáp án
Top 5 Đề kiểm tra 1 tiết Toán 10 Chương 3 Hình học có đáp án
Để học tốt lớp 10 các môn học sách mới:
- Giải bài tập Lớp 10 Kết nối tri thức
- Giải bài tập Lớp 10 Chân trời sáng tạo
- Giải bài tập Lớp 10 Cánh diều
Tủ sách VIETJACK shopee lớp 10-11 (cả 3 bộ sách):
Đã có app VietJack trên điện thoại, giải bài tập SGK, SBT Soạn văn, Văn mẫu, Thi online, Bài giảng....miễn phí. Tải ngay ứng dụng trên Android và iOS.
Theo dõi chúng tôi miễn phí trên mạng xã hội facebook và youtube:Nếu thấy hay, hãy động viên và chia sẻ nhé! Các bình luận không phù hợp với nội quy bình luận trang web sẽ bị cấm bình luận vĩnh viễn.
- Giáo án lớp 10 (các môn học)
- Giáo án điện tử lớp 10 (các môn học)
- Giáo án Ngữ văn 10
- Giáo án Toán 10
- Giáo án Tiếng Anh 10
- Giáo án Vật Lí 10
- Giáo án Hóa học 10
- Giáo án Sinh học 10
- Giáo án Lịch Sử 10
- Giáo án Địa Lí 10
- Giáo án Kinh tế Pháp luật 10
- Giáo án Tin học 10
- Giáo án Công nghệ 10
- Giáo án Giáo dục quốc phòng 10
- Giáo án Hoạt động trải nghiệm 10
- Đề thi lớp 10 (các môn học)
- Đề thi Ngữ Văn 10 (có đáp án)
- Chuyên đề Tiếng Việt lớp 10
- Đề cương ôn tập Văn 10
- Đề thi Toán 10 (có đáp án)
- Đề thi cương ôn tập Toán 10
- Đề thi Toán 10 cấu trúc mới (có đáp án)
- Đề thi Tiếng Anh 10 (có đáp án)
- Đề thi Vật Lí 10 (có đáp án)
- Đề thi Hóa học 10 (có đáp án)
- Đề thi Sinh học 10 (có đáp án)
- Đề thi Lịch Sử 10 (có đáp án)
- Đề thi Địa Lí 10 (có đáp án)
- Đề thi Kinh tế & Pháp luật 10 (có đáp án)
- Đề thi Tin học 10 (có đáp án)
- Đề thi Công nghệ 10 (có đáp án)
- Đề thi Giáo dục quốc phòng 10 (có đáp án)


Giải bài tập SGK & SBT
Tài liệu giáo viên
Sách
Khóa học
Thi online
Hỏi đáp

