Đề kiểm tra Toán 10 Chương 3 Hình học có đáp án (11 đề)
Đề kiểm tra Toán 10 Chương 3 Hình học có đáp án (11 đề)
Phần dưới là danh sách Đề kiểm tra Toán 10 Chương 3 Hình học có đáp án (11 đề) gồm các đề kiểm tra 15 phút, 45 phút (1 tiết). Hi vọng bộ đề thi này sẽ giúp bạn ôn luyện & đạt điểm cao trong các bài thi Toán lớp 10.
- Đề kiểm tra 15 phút Toán 10 Chương 3 Hình học có đáp án (6 đề)
- Đề kiểm tra 1 tiết Toán 10 Chương 3 Hình học có đáp án (6 đề)
Sở Giáo dục và Đào tạo .....
Đề kiểm tra 15 phút chương 3 hình học
Môn: Toán 10
Thời gian làm bài: 15 phút
(Đề 1)
Câu 1: Vectơ chỉ phương của đường thẳng đi qua hai điểm A(-3;2) và B(1;4) là:
Câu 2: Vectơ pháp tuyến của đường thẳng 2x - 3y + 6 = 0 là:
Câu 3: Đường thẳng d có một vectơ pháp tuyến là
. Đường thẳng Δ vuông góc với d có một vectơ chỉ phương là:
Câu 4: Đường thẳng đi qua A(-1; 2), nhận
làm vectơ pháp tuyến có phương trình là:
A. x – 2y – 4 = 0 B. x + y + 4 = 0
C. -x + 2y – 4 = 0 D. x – 2y + 5 = 0
Câu 5: Phương trình tham số của đường thẳng đi qua hai điểm A(2;-1) và B(2;5)là
Câu 6: Cho hai đường thẳng:
d1: mx + y = m + 1
d2: x + my = 2
Điều kiện của m để hai đường thẳng song song là:
A. m = 2 B. m = 1 hoặc m = -1
C. m = -1 D. m = 1
Câu 7: Cho 3 đường thẳng d1: 2x + y – 1 = 0, d2: x + 2y + 1 = 0, d3: mx – y – 7 = 0. Điều kiện của m để ba đường thẳng đồng quy là :
A. m = -6 B. m = 6
C. m = –5 D. m = 5
Câu 8: Tọa độ giao điểm của đường thẳng Δ: 4x - 3y - 26 = 0 và đường thẳng d: 3x + 4y - 7 = 0 là:
A. (5;2) B. (2;6)
C. (2;-6) D. (5;-2)
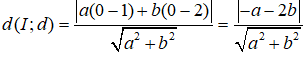
Câu 9: Khoảng cách từ điểm M(1;-1) đến đường thẳng Δ: 3x + y + 4 = 0 là:
Câu 10: Trong mặt phẳng với hệ tọa độ Oxy, cho tam giác ABC có A(2;-1), B(4;5) và C(-3;2). Lập phương trình đường cao của tam giác ABC kẻ từ A.
A. 7x + 3y - 11 = 0 B. -3x + 7y + 13 = 0
C. 3x + 7y + 1 = 0 D. 7x + 3y + 13 = 0
Đáp án & Hướng dẫn giải
| Câu | 1 | 2 | 3 | 4 | 5 | 6 | 7 | 8 | 9 | 10 |
|---|---|---|---|---|---|---|---|---|---|---|
| Đáp án | B | A | C | D | A | C | B | D | B | A |
Câu 1: Chọn B.
Ta có:
Vậy vectơ chỉ phương của đường thẳng đi qua hai điểm A(-3;2) và B(1;4) là
Câu 2: Chọn A.
Đường thẳng 2x - 3y + 6 = 0 có VTPT là
Câu 3: Chọn C.
Câu 4: Chọn D.
Đường thẳng đi qua A(-1; 2) nhận
làm VTPT là:
2.(x + 1) - 4.(y - 2) = 0 ⇔ 2x + 2 - 4y + 8 = 0 ⇔ 2x - 4y + 10 = 0 ⇔ x - 2y + 5 = 0
Câu 5: Chọn A.
Phương trình tham số của đường thẳng AB là:
Câu 6: Chọn C.
d1 song song với d2 khi và chỉ khi
khi đó ta có:
Vậy m = -1.
Câu 7: Chọn B.
Gọi M(xM; yM) là giao điểm của d1 và d2. Khi đó, tọa độ giao điểm M của d1 và d2 là nghiệm của hệ phương trình:
Để 3 đường thẳng d1, d2, d3 đồng quy thì M(1;-1) ∈ (d3): mx - y - 7 = 0, nên ta có:
m.1 - (-1) - 7 = 0 ⇔ m + 1 - 7 = 0 ⇔ m - 6 = 0 ⇔ m = 6
Vậy 3 đường thẳng d1, d2, d3 đồng quy.
Câu 8: Chọn D.
Tọa độ giao điểm của đường thẳng Δ: 4x - 3y - 26 = 0 và đường thẳng d: 3x + 4y - 7 = 0 là:
Vậy (5;-2).
Câu 9: Chọn B.
Vậy khoảng cách từ điểm M(1;-1) đến đường thẳng Δ: 3x + y + 4 = 0 là
Câu 10: Chọn A.
Gọi AH là đường cao của tam giác ABC ⇒ AH ⊥ BC.
B(4;5), C(-3;2)
Phương trình đường cao AH đi qua A(2;-1) nhận
là VTPT là:
7.(x - 2) + 3.(y + 1) = 0 ⇔ 7x - 14 + 3y + 3 = 0 ⇔ 7x + 3y - 11 = 0
Vậy phương trình đường cao AH là 7x + 3y - 11 = 0.
Sở Giáo dục và Đào tạo .....
Đề kiểm tra 15 phút chương 3 hình học
Môn: Toán 10
Thời gian làm bài: 15 phút
(Đề 2)
Phần I: Trắc nghiệm
Câu 1: Côsin góc giữa 2 đường thẳng Δ1: x + 2y - √2 = 0 và Δ2: x - y = 0 là:
Câu 2: Cho hai đường thẳng:
(d): x - 2y + 3 = 0
(d'): 2x + y + 3 = 0
Phương trình các đường phân giác của các góc tạo bởi d và d' là:
A. x + 3y = 0; x - y + 2 = 0
B. x + y = 0; x + y + 2 = 0
C. x + 3y = 0; 3x - y + 6 = 0
C. x + 3y = 0; x - 3y + 6 = 0
Câu 3: Cho điểm M(1;2) và đường thẳng d: 2x + y - 5 = 0. Toạ độ của điểm đối xứng với điểm M qua d là:
Câu 4: Phương trình tham số của đường thẳng đi qua A(-1;2) và B(2;-1) là:
Câu 5: Phương trình đường thẳng (d) qua M(-1;2) và tạo với trục Ox một góc 45o là:
A. x + y + 3 = 0 B. x - y - 3 = 0
C. x - y + 3 = 0 D. x - y + 1 = 0
Câu 6: Cho hai đường thẳng:
Kết luận nào sau đây là đúng?
A. Δ1 và Δ2 là hai đường thẳng song song
B. Δ1 và Δ2 là hai đường thẳng trùng nhau
C. Δ1 và Δ2 là hai đường thẳng vuông góc
D. Δ1 và Δ2 cắt nhau nhưng không vuông góc
Câu 7: Tọa độ giao điểm của 2 đường thẳng d1: 7x - 3y + 16 = 0 và d2: x - 10 = 0 là:
Câu 8: Trong hệ trục tọa độ Oxy, cho tam giác ABC có A(2;–2), B(1;–1), C(5;2). Độ dài đường cao AH của tam giác ABC là
Câu 9: Phương trình đường tròn (C) đi qua A(3;5) và có tâm I(-1;2) là:
A. (x-1)2 + (y-2)2 = 25
B. (x+1)2 + (y+2)2 = 25
C. (x-1)2 + (y+2)2 = 25
D. (x+1)2 + (y-2)2 = 25
Câu 10: Cho Elip có phương trình
. Tọa độ tiêu điểm của elip là:
A. F1(4;0), F2(-4;0)
B. F1(5;0), F2(-5;0)
C. F1(3;0), F2(-3;0)
D. F1(√41;0), F2(-√41;0)
Đáp án & Hướng dẫn giải
| Câu | 1 | 2 | 3 | 4 | 5 | 6 | 7 | 8 | 9 | 10 |
|---|---|---|---|---|---|---|---|---|---|---|
| Đáp án | A | C | A | A | C | D | B | B | D | C |
Câu 1: Chọn A.
Câu 2: Chọn C.
Các đường phân giác của các góc tạo bởi d và d' có phương trình:
Câu 3: Chọn A.
Ta thấy M ∉ d.
Gọi H(a,b) là hình chiếu của điểm M lên đường thẳng d.
Ta có đường thẳng d: 2x + y - 5 = 0 nên có vtpt:
Suy ra
là vectơ chỉ phương của đường thẳng d
Do đó
Gọi M'(x,y) đối xứng với M qua đường thẳng d. Khi đó, H là trung điểm của MM'
Ta có:
Vậy tọa độ điểm đối xứng với M qua d là
Câu 4: Chọn A.
Ta có: A(-1;2) và B(2;-1)
Phương trình tham số của đường thẳng đi qua A(-1;2) nhận u = (1; -1) là VTCP là:
Câu 5: Chọn C.
Gọi phương trình đường thẳng (d): y = kx + a
Do (d) tạo với trục Ox một góc 45o nên (d) có hệ số góc: k = tan45o = 1.
⇒ (d): y = x + a
Mà (d) đi qua M(-1;2) nên ta có: 2 = -1 + a ⇔ a = 3
Vậy phương trình đường thẳng (d): y = x + 3 hay (d): x - y + 3 = 0.
Câu 6: Chọn D.
Ta có
không cùng phương ⇒ Δ1 và Δ2 là hai đường thẳng cắt nhau
và
⇒ Δ1 và Δ2 vuông góc.
Vậy Δ1 và Δ2 cắt nhau nhưng không vuông góc.
Câu 7: Chọn B.
Tọa độ giao điểm của 2 đường thẳng d1: 7x - 3y + 16 = 0 và d2: x + 10 = 0 là nghiệm của hệ phương trình:
Vậy giao điểm của hai đường thẳng d1 và d2 là
Câu 8: Chọn B.
*) AH là đường cao của tam giác ABC.
*) Lập phương trình cạnh BC
B(1;-1), C(5;2)
(BC):
⇒ 3.(x - 5) - 4.(y - 2) = 0 ⇔ 3x - 15 - 4y + 8 = 0 ⇔ 3x - 4y - 7 = 0
Ta có:
Câu 9: Chọn D.
+) I(-1;2); A(3;5)
+) (C):
⇒ (C):(x + 1)2 + (y - 2)2 = 25
Câu 10: Chọn C.
Ta có:
Vậy tọa độ tiêu điểm của Elip là F1(3;0), F2(-3;0).
Sở Giáo dục và Đào tạo .....
Đề kiểm tra 15 phút chương 3 hình học
Môn: Toán 10
Thời gian làm bài: 15 phút
(Đề 3)
Phần I: Trắc nghiệm
Câu 1: Phương trình nào sau đây là phương trình chính tắc của một elip?
Câu 2: Phương trình chính tắc của elip có độ dài trục lớn bằng 8, độ dài tiêu cự bằng 6 là:
Câu 3: Hypebol
có hai tiêu điểm là:
A. F1(-5;0), F2(5;0) B. F1(-2;0), F2(2;0)
C. F1(-3;0), F2(3;0) D. F1(-4;0), F2(4;0)
Câu 4: Cho elip (E) có phương trình:
với hai tiêu điểm là F1, F2. Với điểm M bất kì trên (E) thì chu vi tam giác MF1F2 là:
A. 50 B. 36
C. 34 D. Phụ thuộc vào vị trí của M
Câu 5: Cho elip có phương trình 4x2 + 9y2 = 36. Khi đó, hình chữ nhật cơ sở có diện tích bằng:
A. 6 B. 12
C. 24 D. 36
Câu 6: Viết phương trình chính tắc của parabol mà khoảng cách từ tiêu điểm đến đường chuẩn bằng 2.
Câu 7: Phương trình chính tắc của elip có độ dài trục lớn bằng 8, độ dài trục nhỏ bằng 6 là:
Câu 8: Cho hypebol (H): 6x2 - 9y2 = 54. Phương trình một đường tiệm cận là:
Câu 9: Cho parabol (P): y2 = 3x. Trong các khẳng định sau, khẳng định nào đúng?
A. Tiêu điểm là F(3/2;0)
B. Đường chuẩn là 4x + 3 = 0
C. Điểm M(-1;-3) thuộc (P)
D. Điểm N(-12;6) thuộc (P)
Câu 10: Phương trình hai tiệm cận
là của hypebol có phương trình chính tắc nào sau đây?
Đáp án & Hướng dẫn giải
| Câu hỏi | 1 | 2 | 3 | 4 | 5 | 6 | 7 | 8 | 9 | 10 |
|---|---|---|---|---|---|---|---|---|---|---|
| Đáp án | C | D | A | A | C | B | C | C | A | D |
Câu 1: Đáp án: C
Vì phương trình ở đáp án D không ở dạng chính tắc nên ta loại đáp án D
Đối với phương trình chính tắc của elip ta luôn có a > b. Do đó, đáp án C là đáp án đúng.
Câu 2: Đáp án: D
Ta có:
2a = 8 ⇒ a = 4
2c = 6 ⇒ c = 3
Mà b2 = a2 - c2 = 16 - 9 = 7
Suy ra, phương trình elip cần tìm là:
Câu 3: Đáp án: A
Hypebol
có a2 = 16, b2 = 9
⇒ c2 = a2 + b2 = 16 + 9 = 25
Vậy hypebol
có tiêu điểm là F1(-5;0), F2(5;0)
Câu 4: Đáp án: A
có a2 = 169 ⇒ a = 13, b2 = 25 ⇒ b = 5
c2 = a2 - b2 = 169 - 25 = 144 ⇒ c = 12
Với điểm M bất kì thuộc elip ta có: MF1 + MF2 = 2a = 2.13 = 26
F1F2 = 2c = 2.12 = 24
Chu vi tam giác MF1F2: C = MF1 + MF2 + F1F2 = 26 + 24 = 50
Câu 5: Đáp án: C
4x2 + 9y2 = 36
Elip có a2 = 9 ⇒ a = 3, b2 = 4 ⇒ b = 2
Hình chữ nhật cơ sở có hai cạnh là 2a = 6, 2b = 4. Do đó, diện tích hình chữ nhật cơ sở là: 6.4 = 24
Câu 6: Đáp án: B.
Ta có khoảng cách từ tiêu điểm đến đường chuẩn của một parabol bằng p ⇒ p = 2
Vậy phương trình chính tắc của parabol là: y2 = 2.2x ⇔ y2 = 4x
Câu 7: Đáp án: C
Ta có:
2a = 8 ⇒ a = 4 ⇒ a2 = 16
2b = 6 ⇒ b = 3 ⇒ b2 = 9
Vậy phương trình chính tắc của elip là:
Câu 8: Đáp án: C
6x2 - 9y2 = 54
Phương trình hai đường tiệm cận của hypebol là:
Câu 9: Đáp án: A
Do đó, parabol có tiêu điểm
Câu 10: Đáp án: D
Hypebol có hai đường tiệm cận
Vậy phương trình của hypebol là:
Sở Giáo dục và Đào tạo .....
Đề kiểm tra 15 phút chương 3 hình học
Môn: Toán 10
Thời gian làm bài: 15 phút
(Đề 4)
Câu 1: Cho đường tròn (C): x2 + y2 + 4x + 6y + 3 = 0 có tâm I và bán kính R là:
A. I(2;3), R = 10 B. I(2;3), R = √10
C. I(-2;-3), R = 10 D. I(-2;-3), R = √10
Câu 2: Cho đường tròn (C): x2 + y2 + 2x + 2y - 2 = 0 và điểm M(-1;1). Phương trình tiếp tuyến của đường tròn tại M là:
A. y - 1 = 0 B. y + 1 = 0
C. x - 1 = 0 D. x + 1 = 0
Câu 3: Phương trình đường tròn tâm I(-1;2), bán kính R = 5 là:
A. (x - 1)2 + (y + 2)2 = 5
B. (x + 1)2 + (y - 2)2 = 5
C. (x + 1)2 + (y - 2)2 = 25
D. (x - 1)2 + (y + 2)2 = 25
Câu 4: Cho phương trình (C): x2 + y2 - 8x + 10y + 2m - 1 = 0. Giá trị của tham số m để (C) là phương trình đường tròn là:
A. m < 21 B. m ≤ 21
C. m < 1/2 D. m ≤ 1/2
Câu 5: Cho đường tròn (C): x2 + y2 + 2x + 4y = 0 và đường thẳng d: 2x + y - 3 = 0. Phương trình đường thẳng d’ song song với d và tiếp xúc với đường tròn (C) là:
A. 2x + y - 1 = 0
B. 2x + y + 9 = 0
C. Cả A và B đều đúng
D. Không tồn tại đường thẳng d’
Câu 6: Cho đường tròn (C): x2 + y2 - 4x + 2y + 1 = 0 và đường thẳng d: 3x + y + 1 = 0. Trong các khẳng định sau, khẳng định nào đúng?
A. Đường thẳng d cắt đường tròn (C) tại hai điểm phân biệt (không đi qua tâm)
B. Đường thẳng d tiếp xúc với đường tròn (C)
C. Đường thẳng d không cắt đường tròn (C)
D. Đường thẳng d đi qua tâm của đường tròn (C)
Câu 7: Tọa độ giao điểm của đường thẳng
và đường tròn (C): (x-1)2 + (y-2)2 = 32 là:
Câu 8: Phương trình đường tròn có tâm I(1;4) và tiếp xúc với đường thẳng d: 2x + y - 1 = 0 là:
A. (x - 1)2 + (y - 4)2 = √5
B. (x - 1)2 + (y - 4)2 = 5
C. (x + 1)2 + (y + 4)2 = √5
D. (x + 1)2 + (y + 4)2 = 5
Câu 9: Phương trình tiếp tuyến của đường tròn x2 + y2 = 4 và đi qua điểm (1;2) là:
A. y - 2 = 0 B. 4x + 3y - 10 = 0
C. 3x + 4y - 10 = 0 D. y - 2 = 0 và 4x + 3y - 10 = 0
Câu 10: Phương trình đường tròn tiếp xúc với hai trục tọa độ và đi qua điểm (2;1) có thể là:
A. (x + 1)2 + (y + 1)2 = 1
B. (x - 1)2 + (y - 1)2 = 1
C. (x + 5)2 + (y - 5)2 = 1
D. (x + 5)2 + (y - 5)2 = 25
Đáp án & Hướng dẫn giải
| Câu hỏi | 1 | 2 | 3 | 4 | 5 | 6 | 7 | 8 | 9 | 10 |
|---|---|---|---|---|---|---|---|---|---|---|
| Đáp án | D | A | C | A | C | A | C | B | D | B |
Câu 1: Đáp án: D
Ta có:
(C): x2 + y2 + 4x + 6y + 3 = 0 ⇔ (x + 2)2 + (y + 3)2 = 10
Vậy I(-2;-3), R = √10
Câu 2: Đáp án: A
Ta có:
(C): x2 + y2 + 2x + 2y - 2 = 0 ⇔ (x + 1)2 + (y + 1)2 = 4 ⇒ I(-1;-1)
Phương trình tiếp tuyến của đường tròn tại M là đường thẳng đi qua M và nhận vector IM = (0;2) làm vecto pháp tuyến: 0.(x + 1) + 2.(y - 1) = 0 ⇔ y - 1 = 0
Câu 3: Đáp án: C
Phương trình đường tròn tâm I(-1;2), bán kính R = 5 là: (x + 1)2 + (y - 2)2 = 25
Câu 4: Đáp án: A
Ta có:
(C): x2 + y2 - 8x + 10y + 2m - 1 = 0 ⇔ (x - 4)2 + (y + 5)2 = 42 - 2m
Để (C) là phương trình đường tròn thì 42 - 2m > 0 ⇔ m < 21
Câu 5: Đáp án: C
Ta có:
(C): x2 + y2 + 2x + 4y = 0 ⇔ (x + 1)2 + (y + 2)2 = 5
⇒ I(-1;-2), R = √5
Vì d’ song song với d nên d': 2x + y + c = 0, (c ≠ -3)
Đường thẳng d’ tiếp xúc với (C) nên
Vậy phương trình đường thẳng d’ là: 2x + y - 1 = 0 hoặc 2x + y + 9 = 0
Câu 6: Đáp án: A
Ta có:
(C): x2 + y2 - 4x + 2y + 1 = 0 ⇔ (x - 2)2 + (y + 1)2 = 4
⇒ I(2;-1), R = 2
Ta thấy:
Suy ra, d cắt đường tròn (C) tại hai điểm phân biệt
Thay tọa độ của I vào vế trái phương trình đường thẳng d ta được: 3.2 - 1 + 1 = 6 ≠ 0
Suy ra, I không thuộc d
Câu 7: Đáp án: C
Giả sử M là giao điểm của d và (C)
Vì M ∈ d ⇒ M(1 + 2t; 2 + 2t)
Vì M ∈ (C) ⇒ (1 + 2t - 1)2 + (2 + 2t - 2)2 = 32 ⇔ 4t2 + 4t2 = 32 ⇔ t2 = 4 ⇔ t = 2 hoặc t = -2
Vậy đường thẳng d cắt đường tròn (C) tại hai điểm (5;6) và (-3;-2)
Câu 8: Đáp án: B
Ta có:
Vì đường tròn tiếp xúc với đường thẳng d nên R = d(I;d) = √5
Vậy phương trình đường tròn là: (x - 1)2 + (y - 4)2 = 5
Câu 9: Đáp án: D
Phương trình đường thẳng d đi qua điểm (1;2) có dạng: a(x - 1) + b(y - 2) = 0
Ta có:
Vì d tiếp xúc với (C) nên: d(I;d) = R
⇔ a2 + 4ab + 4b2 = 4a2 + 4b2 ⇔ 3a2 - 4ab = 0
⇔ a(3a - 4b) = 0
Với a = 0 chọn b = 1 ⇒ d: y - 2 = 0
Với 3a = 4b chọn a = 4, b = 3 ⇒ d: 4(x - 1) + 3(y - 2) = 0 ⇔ 4x + 3y - 10 = 0
Câu 10: Đáp án: B
Vì đường tròn tiếp xúc với hai trục tọa độ và đi qua điểm (3;1) nên đường tròn sẽ nằm ở góc phần tư thứ nhất ⇒ I(a;a), R = a (a > 0)
⇒ (x - a)2 + (y - a)2 = a2
Vì điểm (3;1) thuộc đường tròn
⇒ (2 - a)2 + (1 - a)2 = a2 ⇔ a2 - 6a + 5 = 0
Sở Giáo dục và Đào tạo .....
Đề kiểm tra 15 phút chương 3 hình học
Môn: Toán 10
Thời gian làm bài: 15 phút
(Đề 5)
Phần I: Trắc nghiệm
Câu 1: Đường thẳng d: x - 2y + 4 = 0 có một vecto chỉ phương là:
A. (-2;-1) B. (-2;1)
C. (1;-2) D. (1;2)
Câu 2: Phương trình tham số của đường thẳng đi qua A(-1;-2), B(3;2) là:
Câu 3: Cho A(1;-3), B(-1;1). Phương trình đường thẳng trung trực của AB là:
Câu 4: Cho
. Phương trình tổng quát của d là:
A. 2x + 3y + 4 = 0 B. 2x - 3y + 4 = 0
C. -2x + 3y - 4 = 0 D. 2x - 3y - 4 = 0
Câu 5: Góc giữa hai đường thẳng d: x - 2y - 3 = 0 và d': 3x - y - 3 = 0 là:
A. 30o B. 45o
C. 60o D. 90o
Câu 6: Cho d: 3x - y + 1 = 0. Phương trình đường thẳng song song với d và cách d một khoảng bằng √10 là:
A. 3x - y + 11 = 0 B. 3x - y - 9 = 0
C. Cả A và B đều đúng D. Cả A và B đều sai
Câu 7: Cho đường thẳng d đi qua A(1;-2) và cắt hai trục tọa độ lần lượt tại M và N sao cho tam giác OMN cân. Phương trình đường thẳng d là:
A. x - y - 3 = 0 B. x + y + 1 = 0
C. x - y + 3 = 0 D. x - y - 1 = 0
Câu 8: Cho d: 2x - 3y + 7 = 0;
. Giá trị của m để d và d’ song song với nhau là:
A. m = -3 B. m = 3
C. m = 4/3 D. m = -4/3
Câu 9: Tọa độ giao điểm của hai đường thẳng d: x - 3y - 1 = 0;
là:
A. (1;4) B. (-1;4)
C. (4;1) D. (4;-1)
Câu 10: Cho d: -x - 2y + 1 = 0;
. Vị trí tương đối của d và d’ là:
A. Song song B. Trùng nhau
C. vuông góc D. cắt nhưng không vuông
Đáp án & Hướng dẫn giải
| Câu hỏi | 1 | 2 | 3 | 4 | 5 | 6 | 7 | 8 | 9 | 10 |
|---|---|---|---|---|---|---|---|---|---|---|
| Đáp án | A | B | B | D | B | C | A | C | C | D |
Câu 1: Đáp án A
Câu 2: Đáp án: B
Ta có: A(-1;-2), B(3;2)
Đường thẳng AB đi qua B và nhận vecto u =(1;1) cùng phương với vecto
là vecto chỉ phương:
Câu 3: Đáp án: B
Gọi I là trung điểm của AB ⇒ I(0;-1)
A(1;-3), B(-1;1)
Đường thẳng trung trực của AB là đường thẳng đi qua I và nhận
là vecto pháp tuyến: -2(x - 0) + 4(y + 1) = 0 ⇔ x - 2y - 2 = 0
Câu 4: Đáp án: D
Ta có:
Câu 5: Đáp án: B
d: x - 2y - 3 = 0 có
d': 3x - y - 3 = 0 có
Gọi α là góc giữa hai đường thẳng d và d’
⇒ α = 45o
Câu 6: Đáp án: C
Gọi d’ là đường thẳng song song với d và cách d một khoảng bằng √10
Vì d’//d nên d’ có dạng: 3x - y + c = 0, (c ≠ 1)
Lấy M(0;1) ∈ d. Vì d’ cách d một khoảng bằng √10 nên:
Vậy d': 3x - y + 11 = 0 hoặc d': 3x - y - 9 = 0
Câu 7: Đáp án: A
Giả sử d cắt hai trục tọa độ tại M(a;0), N(0;b)
Vì tam giác OMN cân tại O nên |a| = |b|
Vì d đi qua A(1;-2) nằm ở góc phần tư thứ tư nên b = -a, a > 0
Suy ra, phương trình d có dạng:
Vì A(1;-2) thuộc d nên:
Vậy phương trình d là:
Câu 8: Đáp án: C
Để d//d’ thì
Câu 9: Đáp án: C
Gọi M là giao điểm của d và d’
Vì M ∈ d' ⇒ M(2t; 3-t)
Vì M ∈ d ⇒ 2t - 3.(3 - t) - 1 = 0 ⇔ 2t - 9 + 3t - 1 = 0 ⇔ t = 2 ⇒ M(4;1)
Câu 10: Đáp án: D
Ta có:
⇒ d': x - 2y + 5 = 0
Ta thấy:
⇒ d cắt d’
Mà (-1;-2).(1;-2) = -1 + 4 = 3 ≠ 0 nên d cắt d’ nhưng không vuông
Sở Giáo dục và Đào tạo .....
Đề kiểm tra 15 phút chương 3 hình học
Môn: Toán 10
Thời gian làm bài: 15 phút
(Đề 6)
Câu 1: Cho parabol (P): y2 = 3x. Trong các khẳng định sau, khẳng định nào đúng:
A. Tiêu điểm là F(3/2;0)
B. Đường chuẩn là 4x + 3 = 0
B. Điểm M(-1;-3) thuộc (P)
D. Điểm N(-12;6) thuộc (P)
Câu 2: Phương trình chính tắc của parabol mà khoảng cách từ tiêu điểm đến đường chuẩn bằng 2.
A. y2 = 2x B. y2 = 4x
C. 2y2 = x D. y2 = -x/2
Câu 3: Phương trình chính tắc của parabol đi qua điểm A(1;2) là:
A. y2 = 4x B. y2 = 2x
C. y2 = -2x D. y2 = -4x
Câu 4: Phương trình chính tắc của parabol biết tiêu điểm F(2;0) là:
A. y2 = 2x B. y2 = 4x
C. y2 = 8x D. y2 = x/6
Câu 5: Phương trình chính tắc của parabol biết đường chuẩn có phương trình x + 1/4 = 0 là:
A. y2 = -x B. y2 = x
C. y2 = 2x D. y2 = x/2
Câu 6: Cho (P): y2 = 4x. Một đường thẳng đi qua tiêu điểm F của (P) cắt (P) tại hai điểm A và B. Nếu A(1;-2) thì tọa độ của B là:
A. (-1;2) B. (1;2)
C. (2;2√2) D. (4;4)
Câu 7: Một điểm A thuộc parabol (P): y2 = 4x. Nếu khoảng cách từ A đến đường chuẩn bằng 5 thì khoảng cách từ A đến trục hoành bằng bao nhiêu?
A. 3 B. 5
C. 8 D. 4
Câu 8: Một điểm M thuộc parabol (P): y2 = x. Nếu khoảng cách từ M đến tiêu điểm F của (P) bằng 1 thì hoành độ của điểm M bằng bao nhiêu?
A. 3/4 B. √3/2
C. √3 D. 3
Đáp án & Hướng dẫn giải
| Câu hỏi | 1 | 2 | 3 | 4 | 5 | 6 | 7 | 8 |
|---|---|---|---|---|---|---|---|---|
| Đáp án | A | B | A | C | B | B | D | A |
Câu 1: Đáp án: A
Ta có:
Câu 2: Đáp án: B
Ta có: d(F;Δ) = p = 2 ⇒ (P): y2 = 4x
Câu 3: Đáp án: A
Giả sử (P): y2 = 2px (p > 0)
Vì (P) đi qua A(1;2) nên:
22 = 2p.1 ⇒ p = 2 ⇒ (P): y2 = 4x
Câu 4: Đáp án: C
Vì parabol có tiêu điểm F(2;0) nên p/2 = 2 ⇒ p = 4
Vậy phương trình parabol là: (P): y2 = 8x
Câu 5: Đáp án: B
Vì parabol có đường chuẩn là:
Vậy parabol có phương trình là: (P): y2 = x
Câu 6: Đáp án: B
Ta có: (P) y2 = 4x ⇒ F(1;0)
Gọi d là đường thẳng đi qua hai điểm F và A thì d có vecto pháp tuyến là
d: 1.(x - 1) + 0.(y - 0) = 0 ⇔ x - 1 = 0
Vì B thuộc d nên B(1;b), b ≠ -2
Vì B thuộc (P) nên: b2 = 4.1 = 4 ⇒ b = 2 ⇒ B(1;2)
Câu 7: Đáp án: D
Ta có: (P) y2 = 4x ⇒ F(1;0) ⇒ PF = 2
PK = AH = 5 ⇒ FK = 5 - 2 = 3
Mà AF = AH = 5
Xét tam giác vuông AKF có:
AK2 = AF2 - FK2 = 52 - 32 = 16 ⇒ AK = 4
Vậy khoảng cách từ A đến trục hoành bằng 4
Câu 8: Đáp án: A
(P): y2 = x ⇒ p = 1/2
Ta có:
Hoành độ của điểm M chính là độ dài đoạn OK
Xem thêm Đề thi Toán 10 chọn lọc, có đáp án hay khác:
- Đề thi Toán 10 Học kì 1 năm 2026 có đáp án (10 đề)
- Đề thi Giữa kì 2 Toán lớp 10 năm 2026 có đáp án (10 đề)
- Đề thi Toán 10 Học kì 2 có đáp án (10 đề)
- Đề kiểm tra Toán 10 Chương 4 Đại Số có đáp án (8 đề)
- Đề kiểm tra Toán 10 Chương 5 Đại số có đáp án (5 đề)
- Đề kiểm tra Toán 10 Chương 6 Đại số có đáp án (8 đề)
Để học tốt lớp 10 các môn học sách mới:
- Giải bài tập Lớp 10 Kết nối tri thức
- Giải bài tập Lớp 10 Chân trời sáng tạo
- Giải bài tập Lớp 10 Cánh diều
Tủ sách VIETJACK shopee lớp 10-11 (cả 3 bộ sách):
Đã có app VietJack trên điện thoại, giải bài tập SGK, SBT Soạn văn, Văn mẫu, Thi online, Bài giảng....miễn phí. Tải ngay ứng dụng trên Android và iOS.
Theo dõi chúng tôi miễn phí trên mạng xã hội facebook và youtube:Nếu thấy hay, hãy động viên và chia sẻ nhé! Các bình luận không phù hợp với nội quy bình luận trang web sẽ bị cấm bình luận vĩnh viễn.
- Giáo án lớp 10 (các môn học)
- Giáo án điện tử lớp 10 (các môn học)
- Giáo án Ngữ văn 10
- Giáo án Toán 10
- Giáo án Tiếng Anh 10
- Giáo án Vật Lí 10
- Giáo án Hóa học 10
- Giáo án Sinh học 10
- Giáo án Lịch Sử 10
- Giáo án Địa Lí 10
- Giáo án Kinh tế Pháp luật 10
- Giáo án Tin học 10
- Giáo án Công nghệ 10
- Giáo án Giáo dục quốc phòng 10
- Giáo án Hoạt động trải nghiệm 10
- Đề thi lớp 10 (các môn học)
- Đề thi Ngữ Văn 10 (có đáp án)
- Chuyên đề Tiếng Việt lớp 10
- Đề cương ôn tập Văn 10
- Đề thi Toán 10 (có đáp án)
- Đề thi cương ôn tập Toán 10
- Đề thi Toán 10 cấu trúc mới (có đáp án)
- Đề thi Tiếng Anh 10 (có đáp án)
- Đề thi Vật Lí 10 (có đáp án)
- Đề thi Hóa học 10 (có đáp án)
- Đề thi Sinh học 10 (có đáp án)
- Đề thi Lịch Sử 10 (có đáp án)
- Đề thi Địa Lí 10 (có đáp án)
- Đề thi Kinh tế & Pháp luật 10 (có đáp án)
- Đề thi Tin học 10 (có đáp án)
- Đề thi Công nghệ 10 (có đáp án)
- Đề thi Giáo dục quốc phòng 10 (có đáp án)


Giải bài tập SGK & SBT
Tài liệu giáo viên
Sách
Khóa học
Thi online
Hỏi đáp

