Đề kiểm tra 15 phút Toán 12 Chương 4 Giải tích có đáp án (Đề 2)
Đề kiểm tra Toán 12
Thời gian làm bài: 15 phút
Câu 1. Có bao nhiêu số phức z thỏa mãn và z2 là số thuần ảo.
A. 2
B. 3.
C. 4.
D. 1.
Câu 2. Trong C, phương trình z - 5 + 7i = 2 - i có nghiệm là:
A. z = -7 + 8i.
B. z = 8 - 7i.
C. z = 7 - 8i.
D. z = -8 - 7i
Câu 3. Cho số phức z = -2i - 1. Điểm biểu diễn số phức liên hợp của z trong mặt phẳng phức là:
A. M(-1;-2).
B. M(-1;2).
C. M(-2;1).
D. M(2;-1).
Câu 4. Trong C, phương trình có nghiệm là:
Câu 5. Tập hợp các điểm biểu diễn số phức là đường tròn
. Tập hợp các điểm biểu diễn số phức z là đường tròn nào sau đây ?
Câu 6. Cho A, B, C là ba điểm trong mặt phẳng phức theo thứ tự biểu diễn các số: -1 + i; -1 - i; 2i. Tính
A. – 7.
B. 5.
C. – 2.
D. – 6.
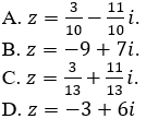
Câu 7. Trong mặt phẳng phức cho hai điểm A(4;0); B(0;-3). Điểm C thỏa mãn: . Khi đó điểm C biểu diễn số phức:
A. z = 4 - 3i.
B. z = -3 - 4i.
C. z = -3 + 4i.
D. z = 4 + 3i.
Câu 8. Cho số phức z có phần ảo gấp hai phần thực và . Khi đó mô đun của z là
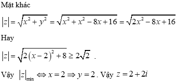
Câu 9. Trong các số phức z thỏa mãn điều kiện . Số phức z có môđun nhỏ nhất là?
A. z = -2 + 2i.
B. z = 2 - 2i.
C. z = 2 + 2i.
D. z = 2 - 2i.
Câu 10. Cho số phức , m nguyên dương. Có bao nhiêu giá trị m ∈ [1;50] để z là số thuần ảo?
A. 26.
B. 25.
C. 24.
D. 50.
Đáp án & Hướng dẫn giải
Câu 1. Chọn C
Gọi z = x + yix, y ∈ R
z2 = (x2 - y2) + 2xyi là số thuần ảo khi và chỉ khi x2 - y2 = 0 (2)
Từ (1), (2) Có 4 số phức thỏa yêu cầu đề bài.
Câu 2. Chọn C.
Ta có:
z – 5 + 7i = 2- i
⇔ z = 2 - i + 5 - 7i
⇔ z = 7 - 8i
Câu 3. Chọn B
Ta có: z = - 2i – 1 = -1 - 2i
Số phức liên hợp của z là có phần thực là -1, phần ảo là 2.
Vậy điểm biểu diễn số phức liên hợp là M(-1;2)
Câu 4. Chọn B.
Câu 5. Chọn A.
Tập hợp các điểm biểu diễn số phức là đường tròn tâm I(1;2) bán kính R = 3.
Mà tập hợp các điểm biểu diễn số phức z đối xứng với tập hợp các điểm biểu diễn số phức qua Ox nên tập hợp cần tìm là đường tròn tâm I’(1;-2), bán kính R = 3.
Câu 6. Chọn D.
Ta có, A(-1; 1); B(-1; -1); C(0; 2).
Câu 7. Chọn A
Gọi C(x;y), x, y ∈ R thì C biểu diễn cho số phức z = x + yi.
Câu 8. Chọn D
Số phức z có dạng z = a + 2ai (a ∈ R)
Câu 9. Chọn C.
Do đó tập hợp các điểm biểu diễn số phức z là đường thẳng có phương trình x + y – 4 = 0
Câu 10. Chọn B.
Ta có:
⇒ m ∈ {0;1;2;...;23;24}
Vậy có 25 giá trị m thỏa yêu cầu đề bài.
Xem thêm các Đề thi Toán 12 chọn lọc, có đáp án hay khác:
Đề kiểm tra 15 phút Toán 12 Chương 4 Giải tích có đáp án (Đề 1)
Đề kiểm tra 15 phút Toán 12 Chương 4 Giải tích có đáp án (Đề 3)
Đề kiểm tra 15 phút Toán 12 Chương 4 Giải tích có đáp án (Đề 4)
Để học tốt lớp 12 các môn học sách mới:
- Giải bài tập Lớp 12 Kết nối tri thức
- Giải bài tập Lớp 12 Chân trời sáng tạo
- Giải bài tập Lớp 12 Cánh diều
Đã có app VietJack trên điện thoại, giải bài tập SGK, SBT Soạn văn, Văn mẫu, Thi online, Bài giảng....miễn phí. Tải ngay ứng dụng trên Android và iOS.
Theo dõi chúng tôi miễn phí trên mạng xã hội facebook và youtube:Nếu thấy hay, hãy động viên và chia sẻ nhé! Các bình luận không phù hợp với nội quy bình luận trang web sẽ bị cấm bình luận vĩnh viễn.
- Giáo án lớp 12 (các môn học)
- Giáo án điện tử lớp 12 (các môn học)
- Giáo án Toán 12
- Giáo án Ngữ văn 12
- Giáo án Vật Lí 12
- Giáo án Hóa học 12
- Giáo án Sinh học 12
- Giáo án Địa Lí 12
- Giáo án Lịch Sử 12
- Giáo án Lịch Sử 12 mới
- Giáo án GDCD 12
- Giáo án Kinh tế Pháp luật 12
- Giáo án Tin học 12
- Giáo án Công nghệ 12
- Giáo án GDQP 12
- Đề thi lớp 12 (các môn học)
- Đề thi Ngữ văn 12
- Đề thi Toán 12
- Đề thi Tiếng Anh 12 mới
- Đề thi Tiếng Anh 12
- Đề thi Vật Lí 12
- Đề thi Hóa học 12
- Đề thi Sinh học 12
- Đề thi Địa Lí 12
- Đề thi Lịch Sử 12
- Đề thi Giáo dục Kinh tế Pháp luật 12
- Đề thi Giáo dục quốc phòng 12
- Đề thi Tin học 12
- Đề thi Công nghệ 12


Giải bài tập SGK & SBT
Tài liệu giáo viên
Sách
Khóa học
Thi online
Hỏi đáp

