50+ Đề thi Toán 12 Học kì 1 năm 2026 (cấu trúc mới, có đáp án)
Trọn bộ 50 đề thi Toán 12 Học kì 1 theo cấu trúc mới sách mới Kết nối tri thức, Chân trời sáng tạo, Cánh diều có đáp án và ma trận sẽ giúp học sinh lớp 12 ôn tập và đạt điểm cao trong bài thi Toán 12.
50+ Đề thi Toán 12 Học kì 1 năm 2026 (cấu trúc mới, có đáp án)
Xem thử Đề thi CK1 Toán 12 KNTT Xem thử Đề thi CK1 Toán 12 CTST Xem thử Đề thi CK1 Toán 12 CD
Chỉ từ 150k mua trọn bộ đề thi Toán 12 Học kì 1 theo cấu trúc mới bản word có lời giải chi tiết, dễ dàng chỉnh sửa:
- B1: gửi phí vào tk:
1133836868- CT TNHH DAU TU VA DV GD VIETJACK - Ngân hàng MB (QR) - B2: Nhắn tin tới Zalo VietJack Official - nhấn vào đây để thông báo và nhận giáo án
Đề thi Học kì 1 Toán 12 cấu trúc mới (theo bộ sách)
Đề thi Toán 12 Cuối kì 1 năm 2025-2026 (cả nước)
Đề thi Học kì 1 Toán 12 trường THPT Nguyễn Công Trứ (Tp.HCM) năm 2025-2026
Đề thi Học kì 1 Toán 12 trường THPT Bảo Lộc (Lâm Đồng) năm 2025-2026
Đề thi Học kì 1 Toán 12 trường THPT Quách Văn Phẩm (Cà Mau) năm 2025-2026
Đề thi Học kì 1 Toán 12 trường THPT Cao Lãnh (Đồng Tháp) năm 2025-2026
Đề thi Học kì 1 Toán 12 trường THPT Duy Tân (Quảng Ngãi) năm 2025-2026
Đề thi Học kì 1 Toán 12 trung tâm GDTX Châu Đức (Tp.HCM) năm 2025-2026
Đề thi Học kì 1 Toán 12 trường THPT Vạn Xuân (Hà Nội) năm 2025-2026
Đề thi Học kì 1 Toán 12 trường THPT Lê Hồng Phong (Cà Mau) năm 2025-2026
Đề thi Học kì 1 Toán 12 trường THCS-THPT Bàu Hàm (Đồng Nai) năm 2025-2026
Đề thi Học kì 1 Toán 12 trường chuyên Nguyễn Tất Thành (Quảng Ngãi) năm 2025-2026
Đề thi Học kì 1 Toán 12 trường THPT Phạm Hồng Thái (Hà Nội) năm 2025-2026
Đề thi Học kì 1 Toán 12 trường chuyên ĐH Vinh (Nghệ An) năm 2025-2026
Đề thi Học kì 1 Toán 12 trường THPT Phan Ngọc Hiển (Cà Mau) năm 2025-2026
Đề thi Học kì 1 Toán 12 trường THPT chuyên Ngoại Ngữ Hà Nội năm 2025-2026
Đề thi Học kì 1 Toán 12 trường THPT Nhữ Văn Lan (Hải Phòng) năm 2025-2026
Đề thi Học kì 1 Toán 12 trường THPT Bảo Thắng 3 (Lào Cai) năm 2025-2026
Đề thi Học kì 1 Toán 12 trường Lương Thế Vinh (Hà Nội) năm 2025-2026
Đề thi Học kì 1 Toán 12 trường THPT Nguyễn Thị Minh Khai (Tp. HCM) năm 2025-2026
Đề thi Học kì 1 Toán 12 trường THPT Nguyễn Thượng Hiền (Tp. HCM) năm 2025-2026
Đề thi Học kì 1 Toán 12 trường THPT Phùng Khắc Khoan (Hà Nội) năm 2025-2026
Đề thi Học kì 1 Toán 12 trường chuyên Lê Hồng Phong (Tp. HCM) năm 2025-2026
Đề thi Học kì 1 Toán 12 trường chuyên Lương Văn Chánh (Đắk Lắk) năm 2025-2026
Đề thi Học kì 1 Toán 12 trường THPT B Trần Hưng Đạo (Ninh Bình) năm 2025-2026
Đề thi Học kì 1 Toán 12 trường THPT chuyên Hà Nội – Amsterdam năm 2025-2026
Đề thi Học kì 1 Toán 12 trường THPT Nguyễn Chí Thanh (Tp. HCM) năm 2025-2026
Đề thi Học kì 1 Toán 12 trường THPT Nguyễn Thái Bình (Tp. HCM) năm 2025-2026
Đề thi Học kì 1 Toán 12 trường THPT Nguyễn Thị Minh Khai (Hà Nội) năm 2025-2026
Đề thi Học kì 1 Toán 12 trường THPT Bùi Thị Xuân (Tp. HCM) năm 2025-2026
Đề thi Học kì 1 Toán 12 trường Trần Cao Vân (Tp. HCM) năm 2025-2026
Đề thi Học kì 1 Toán 12 trường chuyên Lê Khiết (Quảng Ngãi) năm 2025-2026
Đề thi Học kì 1 Toán 12 trường THPT Trần Phú (Hà Nội) năm 2025-2026
Đề thi Học kì 1 Toán 12 trường THPT Thủ Đức (Tp. HCM) năm 2025-2026
Đề thi Học kì 1 Toán 12 trường THPT Lương Thế Vinh (Tp. HCM) năm 2025-2026
Đề thi Học kì 1 Toán 12 trường THPT Việt Đức (Hà Nội) năm 2025-2026
Đề thi Học kì 1 Toán 12 trường THPT Marie Curie (Tp. HCM) năm 2025-2026
Đề thi Học kì 1 Toán 12 trường THPT Ngô Quyền (Tp. HCM) năm 2025-2026
Đề thi Học kì 1 Toán 12 trường THPT Đại Ngãi (Cần Thơ) năm 2025-2026
- Đề thi Học kì 1 Toán 12 theo Tỉnh/ Thành phố:
Xem thử Đề thi CK1 Toán 12 KNTT Xem thử Đề thi CK1 Toán 12 CTST Xem thử Đề thi CK1 Toán 12 CD
Sở Giáo dục và Đào tạo ...
Đề thi Học kì 1 - Kết nối tri thức
Năm học ...
Môn: Toán 12
Thời gian làm bài: phút
PHẦN I. Câu trắc nghiệm nhiều phương án lựa chọn. Thí sinh trả lời từ câu 1 đến câu 12.
Mỗi câu hỏi thí sinh chỉ chọn một phương án.
Câu 1. Cho hàm số y = f(x) có bảng biến thiên như sau
Hàm số đã cho đồng biến trên khoảng nào dưới đây?
A. (1; +∞).
B. (-1; 0).
C. (-1; 1).
D. (0; 1).
Câu 2. Giá trị nhỏ nhất trên tập xác định của hàm số có đồ thị sau là
A. .
B. .
C. .
D. .
Câu 3. Cho hàm số y = f(x) = có bảng biến thiên như sau:
Đồ thị hàm số có bao nhiêu đường tiệm cận
A. 2.
B. 3.
C. 4.
D. 1.
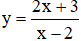
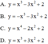
Câu 4. Đồ thị như hình vẽ là của hàm số
A. .
B. .
C. .
D. .
Câu 5. Hàm số y = x4 - 2x2 + 1 nghịch biến trên các khoảng nào sau đây?
A. (-∞; -1) và (0; 1).
B. (-∞; -1) và (0; ∞).
C. (-∞; 0) và (1; +∞).
D. (-1; 0) và (1; +∞).
Câu 6. Hàm số nào sau đây có một đường tiệm cận?
A. .
B. .
C. .
D. .
Câu 7. Cho hình hộp chữ nhật ABCD.A'B'C'D'. Khi đó, vectơ bằng vectơ là vectơ nào dưới đây?
A. .
B. .
C. .
D. .
Câu 8. Trong không gian Oxyz, cho điểm M (1;-2;3). Chọn khẳng định đúng trong các khẳng định sau.
A. .
B. .
C. .
D. .
Câu 9. Gọi G là trọng tâm của tứ diện ABCD. Trong các khẳng định sau, khẳng định nào sai?
A. .
B. .
C. .
D. .
Câu 10. Trong không gian Oxyz, cho hai vectơ và . Tích vô hướng bằng
A. 0.
B. 1.
C. 4.
D. 2.
Câu 11. Cho mẫu số liệu ghép nhóm cho bởi bảng như hình sau
Khoảng biến thiên của mẫu số liệu là
A. 3.
B. 9.
C. 8.
D. 15.
Câu 12. Cho mẫu số liệu ghép nhóm sau
Gọi là số trung bình cộng của mẫu số liệu trên.
.
Công thức trên dùng để tính
A. Phương sai.
B. Độ lệch chuẩn.
C. Giá trị trung bình.
D. Độ phân tán.
PHẦN II. Câu trắc nghiệm đúng sai. Thí sinh trả lời từ câu 1 đến câu 4. Trong mỗi ý a), b), c), d) ở mỗi câu, thí sinh chọn đúng hoặc sai.
Câu 1. Cho hàm số y = f(x) xác định trên ℝ và có bảng biến thiên như hình vẽ. Xét tính đúng sai của các khẳng định sau
a) Hàm số nghịch biến trên khoảng (1;7).
b) Hàm số đạt giá trị nhỏ nhất tại x = 7.
c) f(1) < f(3).
sd) Tổng giá trị lớn nhất và giá trị nhỏ nhất là −31.
Câu 2. Cho hàm số y = x3 - 3x + 1. Xét tính đúng hoặc sai của các mệnh đề sau:
a) Hàm số đồng biến trên khoảng (-1;1).
b) Trên khoảng (-∞;1), hàm số có giá trị nhỏ nhất.
c) Hàm số có đồ thị như hình
d) Gọi A, B lần lượt là điểm cực đại và điểm cực tiểu của đồ thị hàm số. Khi đó, diện tích tam giác ABC là 12 với C(-1;2).
Câu 3. Trong không gian với hệ tọa độ Oxyz, cho hình bình hành ABCD có A (-3;4;2), B(-5;6;2), C(-10;17;-7).
a) Tọa độ trung điểm của AB là (-4;5;2).
b) Tọa độ vectơ .
c) .
d) Tọa độ chân đường cao vẽ từ A của tam giác ABC là .
Câu 4. Người ta ghi lại tiền lãi (đơn vị: triệu đồng) của một số nhà đầu tư (với số tiền đầu tư như nhau), khi đầu tư vào hai lĩnh vực A, B được cho dưới bảng sau.
Xét tính đúng, sai của các mệnh đề sau
a) Khoảng biến thiên của mẫu số liệu nhà đầu tư vào lĩnh vực A là 25.
b) Độ lệch chuẩn của mẫu số liệu số nhà đầu tư vào lĩnh vực A là 5,83 (làm tròn đến hàng phần trăm).
c) Độ lệch chuẩn của mẫu số liệu số nhà đầu tư vào lĩnh vực B là 7,01 (làm tròn đến hàng phần trăm).
d) Nếu so sánh theo độ lệch chuẩn thì tiền lãi của các nhà đầu tư trong lĩnh vực A có xu hướng phân tán rộng hơn so với tiền lãi của các nhà đầu tư trong lĩnh vực B.
PHẦN III. Câu trắc nghiệm trả lời ngắn. Thí sinh trả lời câu 1 đến câu 6.
Câu 1. Một vật chuyển động theo quy luật với t (giây) là khoảng thời gian tính từ khi vật bắt đầu chuyển động và s (mét) là quãng đường vật di chuyển được trong khoảng thời gian đó. Hỏi trong khoảng thời gian 9 giây, kể từ khi bắt đầu chuyển động, vận tốc lớn nhất của vật đạt được bằng bao nhiêu m/s?
Câu 2. Cho hàm số y = f(x) có đồ thị như hình vẽ bên. Xác định số tiệm cận của đồ thị hàm số .
Câu 3. Người ta cần xây một bể chứa nước sản xuất dạng khối hộp chữ nhật không nắp có thể tích bằng 200 m3. Đáy bể là hình chữ nhật có chiều dài gấp đôi chiều rộng. Chi phí để xây bể là 350 nghìn đồng/m2. Hãy xác định chi phí thấp nhất để xây bể (làm tròn đến đơn vị triệu đồng).
Câu 4. Giả sử doanh số bán hàng (đơn vị triệu đồng) của một sản phẩm mới trong vòng 1 số năm nhất định tuân theo quy luật logistic được mô hình hóa bằng hàm số f(t) = 500(t2 + me-t), với t ≥ 0 là thời gian tính bằng năm kể từ khi phát hành sản phẩm mới, m ≤ 0 là tham số. Khi đó đạo hàm f'(t) sẽ biểu thị tốc độ bán hàng. Biết rằng tốc độ bán hàng luôn tăng trong khoảng thời gian 10 năm đầu phát hành sản phẩm, khi đó giá trị nhỏ nhất của m bằng bao nhiêu?
Câu 5. Một chiếc cân đòn tay đang cân một vật có khối lượng m = 3kg được thiết kế với đĩa cân được giữ bởi bốn đoạn xích SA, SB, SC, SD sao cho S.ABCD là hình chóp đều có . Biết độ lớn của lực căng cho mỗi sợi xích có dạng . Lấy g = 10m/s2. Khi đó giá trị của a bằng bao nhiêu?
Câu 6. Trong không gian Oxyz cho ba điểm A(3;2;-1), B(-1;-x;1), C(7;-1;y). Khi A, B, C thẳng hàng thì giá trị biểu thức x + y bằng bao nhiêu?
Sở Giáo dục và Đào tạo ...
Đề thi Học kì 1 - Chân trời sáng tạo
Năm học ...
Môn: Toán 12
Thời gian làm bài: phút
PHẦN I. Câu trắc nghiệm nhiều phương án lựa chọn. Thí sinh trả lời từ câu 1 đến câu 12.
Mỗi câu hỏi thí sinh chỉ chọn một phương án.
Câu 1. Đồ thị của hàm số nào dưới đây có dạng như đường cong trong hình bên?
A. y = x3 - 2024x.
B. y = -x3 + 3x.
C. y = x3 - 3x2 + 2024.
D. y = -x3 + 3x2 - 2.
Câu 2. Đồ thị hàm số có bao nhiêu đường tiệm cận đứng?
A. 1.
B. 3.
C. 2.
D. 4.
Câu 3. Giá trị lớn nhất của hàm số f(x) = trên (-4;0) là
A. -4.
B. 4.
C. -5.
D. 5.
Câu 4. Cho hàm số có đồ thị là đường cong trong hình vẽ bên. Giá trị của T = a + b bằng
A. T = 0.
B. T = -2.
C. T = -1.
D. T = 2.
Câu 5. Cho hình lập phương ABCD.A'B'C'D'. Hai vectơ nào có giá cùng nằm trong mặt phẳng (ABCD).
A. .
B. .
C. .
D. .
Câu 6. Trong không gian Oxyz, cho biểu diễn của vectơ qua các vectơ đơn vị là . Tọa độ của vectơ là
A. (2;-3;1).
B. (1;-3;2).
C. (2;1;-3).
D. (1;2;-3).
Câu 7. Trong không gian với hệ toạ độ Oxyz, cho điểm M(4;1;-2) và vectơ . Tìm toạ độ điểm N biết rằng .
A. (2;2;5).
B. (2;-2;5).
C. (2;2;-5).
D. (-2;-2;5).
Câu 8. Cho tứ diện ABCD. Gọi G là trọng tâm tam giác BCD và điểm M thuộc cạnh AB sao cho AM = 2BM. Đẳng thức nào sau đây là đúng?
A. .
B. .
C. .
D. .
Câu 9. Trong không gian Oxyz, cho A(4;0;0), B(0;2;0). Tâm đường tròn ngoại tiếp tam giác OAB
A. I (2;-1;0).
B. .
C. I (-2;1;0).
D. I (2;1;0).
Câu 10. Trong không gian Oxyz, cho ba điểm A(3;5;-1), B(7;x;1) và C(9;2;y). Để A, B, C thẳng hàng thì giá trị x + y bằng
A. 5.
B. 6.
C. 4.
D. 7.
Câu 11. Cho mẫu số liệu ghép nhóm có tứ phân vị thứ nhất, thứ hai, thứ ba lần lượt là Q1, Q2, Q3. Khoảng tứ phân vị của mẫu số liệu ghép nhóm đó bằng:
A. Q2 - Q1.
B. Q1 - Q3.
C. Q3 - Q1.
D. Q1 - Q2.
Câu 12. Thời gian (phút) truy bài trước mỗi buổi học của một số học sinh trong một tuần được ghi lại ở bảng sau:
Nhóm chứa tứ phân vị thứ nhất là
A. [9;5;12;5).
B. [12;5;15;5).
C. [15;5;18;5).
D. [18;5;21;5).
PHẦN II. Câu trắc nghiệm đúng sai. Thí sinh trả lời từ câu 1 đến câu 4. Trong mỗi ý a), b), c), d) ở mỗi câu, thí sinh chọn đúng hoặc sai.
Câu 1. Cho hàm số y = f(x) liên tục trên ℝ và có đồ thị như hình vẽ:
a) Hàm số đồng biến trên khoảng (0;2).
b) Hàm số đạt cực đại tại x = 0.
c) Giá trị nhỏ nhất của hàm số trên [-1;1] bằng -4.
d) Hàm số g(x) = f(3 - x) nghịch biến trên (2;5).
Câu 2. Xét tính đúng sai của các mệnh đề sau:
a) Hàm số đồng biến trên (2;+∞).
b) Cho hàm số y = f(x) có . Khi đó hàm số đã cho có 3 điểm cực trị.
c) Đồ thị hàm số có điểm cực trị A(2;-2). Khi đó a + b = 2.
d) Một doanh nghiệp mua một chiếc máy giá 5000 (USD) để sản xuất x(kg) sản phẩm loại A. Trong thực tế, mỗi kg sản phẩm được sản xuất ra cần phải có nguyên liệu với giá 4 (USD). Khi doanh nghiệp này sản xuất một số lượng rất lớn sản phẩm thì chi phí để sản xuất được mỗi kg sản phẩm giảm dần và đạt giá trị nhỏ nhất là 4,1 (USD).
Câu 3. Hình minh họa sơ đồ một ngôi nhà trong không gian Oxyz, trong đó nền nhà, bốn bức tường và hai mái nhà đều là hình chữ nhật.
Xét tính đúng sai các mệnh đề sau:
a) Toạ độ điểm F(4;0;3).
b) Toạ độ vectơ .
c) .
d) Góc đốc của mái nhà, tức là số đo của góc nhị diện có cạnh là đường thẳng FG, hai mặt lần lượt là (FGQP) và (FGHE) bằng 26,6° (làm tròn kết quả đến hàng phần mười).
Câu 4. Kết quả môn Toán (cùng đề) của học sinh hai lớp 12A và 12B được cho lần lượt bởi mẫu số liệu ghép nhóm ở bảng sau:
a) Số trung bình cộng của hai mẫu số liệu trên bằng nhau.
b) Độ lệch chuẩn của mẫu số liệu lớp 12A nhỏ hơn 3.
c) Phương sai của mẫu số liệu lớp 12B lớn hơn 3.
d) Điểm thi của học sinh lớp 12B đồng đều hơn lớp 12A.
PHẦN III. Câu trắc nghiệm trả lời ngắn. Thí sinh trả lời câu 1 đến câu 6.
Câu 1. Tiệm cận xiên của đồ thị hàm số là đường thẳng y = ax + b. Tính giá trị của biểu thức P = a2 - b.
Câu 2. Chị Hà dự định sử dụng hết 4m2 kính để làm một bể cá bằng kính có dạng hình hộp chữ nhật không nắp, chiều dài gấp đôi chiều rộng (các mối ghép có kích thước không đáng kể). Bể cá có dung tích lớn nhất bằng bao nhiêu mét khối (kết quả làm tròn đến hàng phần trăm)?
Câu 3. Quan sát một đàn ong trong 20 tuần, người ta ước lượng được số lượng ong trong đàn bởi công thức , trong đó t là thời gian tính theo tuần kể từ khi bắt đầu quan sát, 0 ≤ t ≤ 20. Tại thời điểm nào thì số lượng ong của đàn tăng nhanh nhất (kết quả làm tròn đến hàng đơn vị của tuần).
Câu 4. Trong một căn phòng dạng hình hộp chữ nhật với chiều dài 8m, rộng 6m và cao 4m có 2 cây quạt treo tường. Cây quạt A treo chính giữa bức tường 8m và cách trần 1m, cây quạt B treo chính giữa bức tường 6m và cách trần 1,5m. Chọn hệ trục tọa độ Oxyz như hình vẽ bên dưới ( đơn vị: mét). Giả sử . Tính a + b + c.
Câu 5. Một chiếc ô tô được đặt trên mặt đáy dưới của một khung sắt có dạng hình hộp chữ nhật với đáy trên là hình chữ nhật ABCD, mặt phẳng (ABCD) song song với mặt phẳng nằm ngang. Khung sắt đó được buộc vào móc E của chiếc cần cẩu sao cho các đoạn dây cáp EA, EB, EC và ED có độ dài bằng nhau và cùng tạo với mặt phẳng (ABCD) một góc bằng 60° (hình minh họa). Chiếc cần cẩu đang kéo khung sắt lên theo phương thẳng đứng.
Biết rằng các lực căng đều có cường độ là 4,7kN và trọng lượng của khung sắt là 3kN. Trọng lượng lớn nhất của chiếc xe ô tô (làm tròn đến hàng phần mười) là bao nhiêu kN?
Câu 6. Chiều dài của 40 bé sơ sinh 12 ngày tuổi được chọn ngẫu nhiên ở viện nhi trung ương được nghiên cứu thống kê ở bảng dưới đây:
Tìm phương sai (làm tròn đến hàng phần trăm) của 40 bé sơ sinh ở bảng thống kê trên.
Sở Giáo dục và Đào tạo ...
Đề thi Học kì 1 - Cánh diều
Năm học ...
Môn: Toán 12
Thời gian làm bài: phút
PHẦN I. Câu trắc nghiệm nhiều phương án lựa chọn. Thí sinh trả lời từ câu 1 đến câu 12.
Mỗi câu hỏi thí sinh chỉ chọn một phương án.
Câu 1. Cho hàm số y = f(x) liên tục trên ℝ và có bảng biến thiên như hình vẽ.
Chọn khẳng định đúng trong các khẳng định sau:
A. Giá trị nhỏ nhất của hàm số y = f(x) trong khoảng (-∞;-2) là 1.
B. Giá trị lớn nhất của hàm số y = f(x) trong khoảng là 6.
C. Giá trị nhỏ nhất của hàm số y = f(x) trong khoảng là 1.
D. Hàm số y = f(x) không có giá trị nhỏ nhất trên khoảng (-2;+∞).
Câu 2. Cho hàm số y = f(x) có đồ thị như hình bên dưới. Đường thẳng nào sau đây là đường tiệm cận ngang của đồ thị hàm số đã cho?
A. x = 1.
B. x = -1.
C. y = 1.
D. y = -1.
Câu 3. Bảng biến thiên sau là của hàm số nào dưới đây?
A. .
B. .
C. .
D. .
Câu 4. Có bao nhiêu giá trị nguyên của tham số m sao cho ứng với mỗi m, hàm số có đúng một điểm cực trị thuộc khoảng (0;4) ?
A. 23.
B. 8.
C. 9.
D. Vô số.
Câu 5. Trong không gian với hệ tọa độ Oxyz, cho các điểm A(3;-4-0). Toạ độ là
A. (3;0;0).
B. (3;-4;0).
C. (0;-4;0).
D. (0;0;0).
Câu 6. Trong không gian với hệ tọa độ Oxyz, cho hình chữ nhật OKMN (hình vẽ bên).
Tọa độ đỉnh M của hình chữ nhật là:
A. M(1;2;2).
B. M(-1;-2;-2).
C. M(0;2;2).
D. M(1;2;0).
Câu 7. Trong không gian với hệ tọa độ Oxyz, với lần lượt là các vecto đơn vị trên các trục Ox, Oy, Oz. Tính tọa độ của vecto .
A. (-1;-1;1).
B. (-1;1;1).
C. (1;1;-1).
D. (1;-1;1).
Câu 8. Cho điểm M(3;-2;0); N(2;4;1). Tọa độ của là:
A. (1;-6;-1).
B. (-1;6;1).
C. (1;0;6).
D. (-1;6;-1).
Câu 9. Trong không gian với hệ tọa độ Oxyz, cho , , K(-1;3;1). Gọi P là điểm đối xứng với M qua N. Tìm tọa độ vectơ .
A. .
B. .
C. .
D. .
Câu 10. Trong không gian với hệ trục tọa độ Oxyz, cho hình hộp chữ nhật ABCD.A'B'C'D' có điểm A trùng với gốc tọa độ O, điểm B nằm trên tia Ox, điểm D nằm trên tia Oy, điểm A' nằm trên tia Oz. Biết AB = 2, AD = 4, AA' = 3. Gọi tọa độ của C' là (a;b;c) khi đó biểu thức A + b - c có giá trị là.
A. -4.
B. 9.
C. 3.
D. 6.
Câu 11. Đại lượng nào đo độ phân tán của nửa giữa của mẫu số liệu, không bị ảnh hưởng nhiều bởi các giá trị ngoại lệ trong mẫu số liệu?
A. Khoảng biến thiên.
B. Khoảng tứ phân vị.
C. Phương sai.
D. Độ lệch chuẩn.
Câu 12. Biểu đồ dưới đây biểu diễn số lượt khách hàng đặt bàn qua hình thức trực tuyến mỗi ngày trong quý III năm 2022 của một nhà hàng. Cột thứ nhất biểu diễn số ngày có từ 1 đến dưới 6 lượt đặt bàn; cột thứ hai biểu diễn số ngày có từ 6 đến dưới 11 lượt đặt bàn;... Hãy tìm khoảng tứ phân vị của mẫu số liệu ghép nhóm cho bởi biểu đồ trên.
A. 8.
B. 8,5.
C. 7,5.
D. 16.
PHẦN II. Câu trắc nghiệm đúng sai. Thí sinh trả lời từ câu 1 đến câu 4. Trong mỗi ý a), b), c), d) ở mỗi câu, thí sinh chọn đúng hoặc sai.
Câu 1. Cho hàm số y = f(x) = .
a) Đường thẳng y = x - 1 là tiệm cận xiên của đồ thị hàm số y = f(x).
b) Đạo hàm của hàm số y = f(x) là .
c) Giá trị cực tiểu của hàm số y = f(x) là -2.
d) Bất phương trình x2 + (m - 2)x - m + 2 ≥ 0 nghiệm đúng với mọi x > 1 nếu m ≥ -2.
Câu 2. Nồng độ thuốc C(t) tính theo mg/cm3 trong máu của bệnh nhân được tính bởi , trong đó t là thời gian tính theo giờ kể từ khi tiêm cho bệnh nhân.
a) Hàm số C(t) có đạo hàm .
b) Sau khi tiêm, nồng độ thuốc trong máu của bệnh nhân giảm dần theo thời gian.
c) Nồng độ thuốc trong máu lớn nhất ở thời điểm 1 giờ sau khi tiêm.
d) Có thời điểm nồng độ trong máu của bệnh nhân đạt 0,02 mg/cm3.
Câu 3. Cho tứ diện đều ABCD cạnh a. E là điểm trên đoạn CD sao cho ED = 2CE.
a) Có 6 vectơ (khác vectơ ) có điểm đầu và điểm cuối được tạo thành từ các đỉnh của tứ diện.
b) Góc giữa hai vectơ và bằng 60°.
c) Nếu thì .
d) Tích vô hướng .
Câu 4. Cho bảng số liệu dưới đây về thời gian (phút) tập thể dục buổi sáng của hai bạn Bình và Chi trong 30 ngày.
|
Thời gian |
[15;20) |
[20;25) |
[25;30) |
[30;35) |
[35;40) |
|
Bạn Bình |
5 |
8 |
10 |
4 |
3 |
|
Bạn Chi |
10 |
10 |
5 |
3 |
2 |
a) Khoảng biến thiên của mẫu số liệu ghép nhóm về thời gian tập thể dục của Chi là 25 (phút).
b) Tứ phân vị thứ nhất của mẫu số liệu ghép nhóm về thời gian tập thể dục buổi sáng của bạn Bình là: .
c) Khoảng tứ phân vị của mẫu số liệu ghép nhóm về thời gian tập thể dục buổi sáng của bạn Chi là 8,75.
d) Phương sai của mẫu số liệu ghép nhóm về thời gian tập thể dục buổi sáng của bạn Bình là .
PHẦN III. Câu trắc nghiệm trả lời ngắn. Thí sinh trả lời câu 1 đến câu 6.
Câu 1. Cho hàm số bậc ba y = f(x) có đồ thị là đường cong trong hình sau. Phương trình f(f(x)) = 0 có bao nhiêu nghiệm thực phân biệt?
Câu 2. Cho hình chữ nhật ABCD có hai đỉnh di động trên đồ thị hàm số y = 9 - x2 trên khoảng (-3;3), hai đỉnh còn lại nằm trên trục hoành (tham khảo hình vẽ). Tìm diện tích lớn nhất của hình chữ nhật ABCD (kết quả làm tròn đến hàng phần mười).
Câu 3. Bác Tôm có một cái ao có diện tích 50 m2 để nuôi cá. Vụ vừa qua bác nuôi với mật độ 20 con/m2 và thu được tất cả 1,5 tấn cá thành phẩm. Theo kinh nghiệm nuôi cá thu được, bác thấy cứ thả giảm đi 8 con/m2 thì tương ứng sẽ có mỗi con cá thành phẩm thu được tăng thêm 0,5 kg. Hỏi vụ tới bác phải mua bao nhiêu con cá giống để đạt được tổng khối lượng cá thành phẩm cao nhất? (giả sử không có hao hụt trong quá trình nuôi).
Câu 4. Phần mái của một căn nhà có dạng là khối đa diện được mô tả và gắn trên hệ trục tọa độ Oxyz như hình vẽ. Tính thể tích khối đa diện của mái nhà.
Câu 5. Một công ty viễn thông đang lên kế hoạch xây dựng một tháp viễn thông tại một thành phố để cung cấp dịch dụ tốt hơn. Công ty cần xác định vị trí của tháp sao cho có thể phủ sóng hiệu quả đến ba toà nhà quan trọng trong thành phố. Giả sử các toà nhà này được đặt tại các vị trí có toạ độ như sau:
Toà nhà A(0;0;0)
Toà nhà B(6;0;0)
Toà nhà
Tháp viễn thông phải đặt ở vị trí sao cho tổng khoảng cách từ tháp đến 3 toà nhà là nhỏ nhất. Khi đó tổng khoảng cách từ vị trí của tháp đến ba toà nhà bằng bao nhiêu? (kết quả làm tròn đến hàng phần trăm)
Câu 6. Lương tháng của 50 nhân viên một công ty được biểu diễn ở biểu đồ sau:
Tính khoảng tứ phân vị của mẫu số liệu ghép nhón trên (đơn vị: triệu đồng). Làm tròn kết quả đến hàng phần trăm.
Xem thử Đề thi CK1 Toán 12 KNTT Xem thử Đề thi CK1 Toán 12 CTST Xem thử Đề thi CK1 Toán 12 CD
Lưu trữ: Đề thi Học kì 1 Toán 12 (sách cũ)
Xem thêm đề thi Toán 12 có đáp án hay khác:
Xem thêm đề thi lớp 12 các môn học có đáp án hay khác:
Đề ôn thi Tốt nghiệp (các môn học), ĐGNL, ĐGTD các trường có đáp án hay khác:
Tài liệu giáo án lớp 12 các môn học chuẩn khác:
Để học tốt lớp 12 các môn học sách mới:
- Giải bài tập Lớp 12 Kết nối tri thức
- Giải bài tập Lớp 12 Chân trời sáng tạo
- Giải bài tập Lớp 12 Cánh diều
Đã có app VietJack trên điện thoại, giải bài tập SGK, SBT Soạn văn, Văn mẫu, Thi online, Bài giảng....miễn phí. Tải ngay ứng dụng trên Android và iOS.
Theo dõi chúng tôi miễn phí trên mạng xã hội facebook và youtube:Nếu thấy hay, hãy động viên và chia sẻ nhé! Các bình luận không phù hợp với nội quy bình luận trang web sẽ bị cấm bình luận vĩnh viễn.
- Giáo án lớp 12 (các môn học)
- Giáo án điện tử lớp 12 (các môn học)
- Giáo án Toán 12
- Giáo án Ngữ văn 12
- Giáo án Vật Lí 12
- Giáo án Hóa học 12
- Giáo án Sinh học 12
- Giáo án Địa Lí 12
- Giáo án Lịch Sử 12
- Giáo án Lịch Sử 12 mới
- Giáo án GDCD 12
- Giáo án Kinh tế Pháp luật 12
- Giáo án Tin học 12
- Giáo án Công nghệ 12
- Giáo án GDQP 12
- Đề thi lớp 12 (các môn học)
- Đề thi Ngữ văn 12
- Đề thi Toán 12
- Đề thi Tiếng Anh 12 mới
- Đề thi Tiếng Anh 12
- Đề thi Vật Lí 12
- Đề thi Hóa học 12
- Đề thi Sinh học 12
- Đề thi Địa Lí 12
- Đề thi Lịch Sử 12
- Đề thi Giáo dục Kinh tế Pháp luật 12
- Đề thi Giáo dục quốc phòng 12
- Đề thi Tin học 12
- Đề thi Công nghệ 12


Giải bài tập SGK & SBT
Tài liệu giáo viên
Sách
Khóa học
Thi online
Hỏi đáp

