Đề thi Toán vào lớp 10 Hà Nội năm 2025 có đáp án (Đề 1)
Đề thi Toán vào lớp 10 Hà Nội năm 2025 có đáp án (Đề 1)
Xem thử Đề ôn vào 10 Xem thử Đề vào 10 Hà Nội
Chỉ từ 150k mua trọn bộ Đề ôn thi vào 10 môn Toán năm 2026 theo cấu trúc mới bản word có lời giải chi tiết:
- B1: gửi phí vào tk:
1133836868- CT TNHH DAU TU VA DV GD VIETJACK - Ngân hàng MB (QR) - B2: Nhắn tin tới Zalo VietJack Official - nhấn vào đây để thông báo và nhận đề thi
Sở Giáo dục và Đào tạo TP Hà Nội
Kì thi tuyển sinh vào lớp 10
Môn thi: Toán (hệ Công lập)
Thời gian làm bài: 120 phút
Bài 1: (2 điểm) Cho các biểu thức:
với x ≥ 0; x ≠ 9
a) Rút gọn biểu thức P
b) Tìm x sao cho P = 3
c) Đặt M = P : Q. Tìm x để |M| <
Bài 2: (2 điểm) Giải bài toán sau bằng cách lập phương trình hoặc hệ phương trình: Hai vòi nước cùng chảy vào một bể nước cạn (không có nước) trong 1 giờ 12 phút thì đầy bể. Nếu mở vòi thứ nhất chảy trong 30 phút và vòi thứ hai chảy trong 1 giờ thì được bể. Hỏi mỗi vòi chảy một mình thì sau bao lâu đầy bể?
Bài 3: (2 điểm)
1) Giải hệ phương trình:
2) Cho hai hàm số: y = 2x – 1 và y = + 4
a) Tìm tọa độ giao điểm M của đồ thị hai hàm số trên
b) Gọi N, P lần lượt là giao điểm của hai đồ thị trên với trục Oy. Tính diện tích ΔMNP
Bài 4: (3,5 điểm) Cho đường tròn (O ; R) đường kính AB và điểm M bất kì thuộc đường tròn (M ≠ A, B) . Kẻ tiếp tuyến tại A của đường tròn, tiếp tuyến này cắt tia BM ở N. Tiếp tuyến của đường tròn tại M cắt AN ở D.
a) Chứng minh: 4 điểm A, D, M , O cùng thuộc một đường tròn
b) Chứng minh: OD // BM và suy ra D là trung điểm của AN
c) Đường thẳng kẻ qua O và vuông góc với BM cắt tia DM ở E. Chứng minh: BE là tiếp tuyến của đường tròn (O ; R)
d) Qua O kẻ đường thẳng vuông góc với AB và cắt đường thẳng BM tại I. Gọi giao điểm của AI và BD là J. Khi điểm M di động trên (O ; R) thì J chạy trên đường nào?
Bài 5: (0,5 điểm) Cho a > 0. Tìm giá trị nhỏ nhất của P = a2 + 4a + 15 +
Đáp án và Hướng dẫn giải
Bài 1:
Vậy với thì P = 3
Vậy với mọi x thỏa mãn điều kiện x ≥ 0;x ≠ 9 thì |M| <
Bài 2:
Đổi 1 giờ 12' =
Gọi thời gian vòi 1 chảy 1 mình đầy bể là x (h)
Thời gian vòi 1 chảy 1 mình đầy bể là y (h)
Trong 1h vòi thứ nhất chảy được (bể nước)
Trong 1h vòi thứ hai chảy được (bể nước)
=> Trong 1h cả hai vòi chảy được (bể nước)
Do cả 2 vòi chảy trong 1 giờ 12 phút thì đầy bể nên ta có phương trình:
Nếu mở vòi thứ nhất chảy trong 30 phút và vòi thứ hai chảy trong 1 giờ thì được bể nên ta có phương trình:
Ta có hệ phương trình:
Vậy vòi 1 chảy 1 mình trong 2 giờ thì đầy bể
Vòi 2 chảy 1 mình trong 3 giờ thì đầy bể.
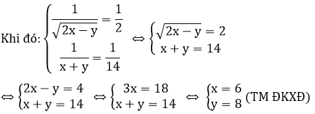
Bài 3:
Vậy hệ phương trình có nghiệm (x; y) = (6; 8)
2) Tọa độ giao điểm của 2 đường thẳng là nghiệm của hệ phương trình:
Vậy tọa độ giao điểm của 2 đường thẳng trên là M (2; 3)
Gọi N là giao điểm của đường thẳng y = 2x – 1 với Oy => N (0; -1)
Gọi P là giao điểm của đường thẳng y = + 4 với Oy => P (0; 4)
Gọi E là hình chiếu vuông góc của M trên Oy
=> EM ⊥ PN; EM = 2
Ta có PN = |yP | + |yN| = 5
SPMN = EM.PN =
.2.5 = 5 (đơn vị diện tích)
Bài 4:
a) Xét tứ giác ADMO có:
∠DMO =90o (do M là tiếp tuyến của (O))
∠DAO =90o (do AD là tiếp tuyến của (O))
=> ∠DMO + ∠DAO = 180o
=> Tứ giác ADMO là tứ giác nội tiếp.
b) Do D là giao điểm của 2 tiếp tuyến DM và DA nên OD là tia phân giác của ∠AOM
=>(AOD = ∠AOM
Mặt khác ta có (ABM là góc nội tiếp chắn cung AM
=> ∠ABM = ∠AOM
=> ∠AOD = ∠ABM
Mà 2 góc này ở vị trí đồng vị
=> OD // BM
Xét tam giác ABN có:
OM// BM; O là trung điểm của AB
=> D là trung điểm của AN
c) Ta có: ΔOBM cân tại O; OE ⊥ MB => OE là đường trung trực của MB
=> EM = EB = > ΔMEB cân tại E => ∠EMB = ∠EBM (1)
ΔOBM cân tại O => ∠OMB = ∠OBM (2)
Cộng (1) và (2) vế với vế, ta được:
∠EMB + ∠OMB = ∠EBM + ∠OBM ⇔ ∠EMO =∠EBO ⇔ ∠EBO = 90o
=>OB ⊥ BE
Vậy BE là tiếp tuyến của (O).
d) Lấy điểm E trên tia OA sao cho OE =
Xét tam giác ABI có OI vừa là đường cao vừa là trung tuyến
=> Tam giác ABI cân tại I => IA = IB; ∠IBA = ∠IAB
Ta có:
=> ∠NAI = ∠INA => ΔINA cân tại I => IA = IN
Tam giác NAB vuông tại A có: IA = IN = IB
=> IA là trung tuyến của tam giác NAB
Xét ΔBNA có:
IA và BD là trung tuyến; IA ∩ BD = {J}
=> J là trọng tâm của tam giác BNA
Xét tam giác AIO có:
=> J nằm trên đường thẳng d vuông góc với AB và cách O một khoảng bằng R/3.
Phần đảo: Lấy điểm J' bất kì thuộc đường thẳng d
Do d// OI (cùng vuông góc AB) nên ta có:
AI là trung tuyến của tam giác NAB
=> J' là trọng tâm tam giác NAB
Vậy khi M di chuyển trên (O) thì J di chuyển trên đường thẳng d vuông góc với AB và cách O một khoảng là R/3.
Bài 5:
Với a > 0, ta có:
Xem thử Đề ôn vào 10 Xem thử Đề vào 10 Hà Nội
Xem thêm các đề thi vào lớp 10 môn Toán có đáp án hay khác:
Để học tốt lớp 10 các môn học sách mới:
- Giải bài tập Lớp 10 Kết nối tri thức
- Giải bài tập Lớp 10 Chân trời sáng tạo
- Giải bài tập Lớp 10 Cánh diều
Tủ sách VIETJACK luyện thi vào 10 cho 2k11 (2026):
Đã có app VietJack trên điện thoại, giải bài tập SGK, SBT Soạn văn, Văn mẫu, Thi online, Bài giảng....miễn phí. Tải ngay ứng dụng trên Android và iOS.
Theo dõi chúng tôi miễn phí trên mạng xã hội facebook và youtube:Loạt bài Đề thi vào lớp 10 môn Toán (có đáp án) được các Giáo viên hàng đầu biên soạn theo cấu trúc ra đề thi Trắc nghiệm, Tự luận mới giúp bạn ôn luyện và giành được điểm cao trong kì thi vào lớp 10 môn Toán.
Nếu thấy hay, hãy động viên và chia sẻ nhé! Các bình luận không phù hợp với nội quy bình luận trang web sẽ bị cấm bình luận vĩnh viễn.
- Giáo án lớp 9 (các môn học)
- Giáo án điện tử lớp 9 (các môn học)
- Giáo án Toán 9
- Giáo án Ngữ văn 9
- Giáo án Tiếng Anh 9
- Giáo án Khoa học tự nhiên 9
- Giáo án Vật Lí 9
- Giáo án Hóa học 9
- Giáo án Sinh học 9
- Giáo án Địa Lí 9
- Giáo án Lịch Sử 9
- Giáo án GDCD 9
- Giáo án Tin học 9
- Giáo án Công nghệ 9
- Đề thi lớp 9 (các môn học)
- Đề thi Ngữ Văn 9 (có đáp án)
- Đề thi Toán 9 (có đáp án)
- Đề thi Tiếng Anh 9 mới (có đáp án)
- Đề thi Tiếng Anh 9 (có đáp án)
- Đề thi Khoa học tự nhiên 9 (có đáp án)
- Đề thi Lịch Sử và Địa Lí 9 (có đáp án)
- Đề thi GDCD 9 (có đáp án)
- Đề thi Tin học 9 (có đáp án)
- Đề thi Công nghệ 9 (có đáp án)


Giải bài tập SGK & SBT
Tài liệu giáo viên
Sách
Khóa học
Thi online
Hỏi đáp

