Bài I.4, I.5, I.6, I.7, I.8, I.9 trang 16 SBT Vật Lí 12
SBT Vật Lí 12 Bài tập cuối chương I
Bài I.4, I.5, I.6, I.7, I.8, I.9 trang 16 Sách bài tập Vật Lí 12:
I.4. Một con lắc lò xo nằm ngang dao động điều hoà. Lò xo có độ cứng k = 40 N/m. Khi quả cầu con lắc qua vị trí có li độ x = -2 cm thì thế năng của con lắc bằng
A. -0,016 J. B. 0,008 J.
C. -0,08 J. D. 0,016 J.
Lời giải:
Thế năng đàn hồi của lò xo tại vị trí li độ x = - 2cm là:
Chọn đáp án B
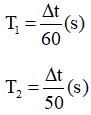
I. 5. Một con lắc đơn dao động điều hoà. Trong khoảng thời gian Δt con lắc thực hiện 60 dao động toàn phần. Tăng chiều dài con lắc thêm 44 cm thì cũng trong khoảng thời gian Δt ấy, nó thực hiện 50 dao động toàn phần. Chiều dài ban đầu của con lắc là
A. 80 cm. B. 60 cm.
C. 100 cm. D. 144 cm.
Lời giải:
Gọi chiều dài, chu kỳ trước và sau của con lắc đơn lần lượt là: T1, l1, T2, l2
Ta có: l2 = l1 + 0,44(m)
Chu kỳ dao động của con lắc đơn là: 
Chọn đáp án C
I.6. Một chất điểm dao động điều hoà trên trục Ox theo phương trình x = -4cos5πt (cm). Biên độ, chu kì và pha ban đầu của dao động là
A. -4 cm ; 0,4 s ; 0. B. 4 cm ; 0,4 s ; 0.
C. 4 cm ; 2,5 s ; π rad. D. 4 cm ; 0,4 s ; π rad.
Lời giải:
Phương trình: x = - 4cos5πt (cm) = x = 4cos(5πt + π )(cm)
Theo phương trình ta có: Biên độ: A = 4cm
Tần số góc: ω = 5π (rad/s)
Chu kỳ: 
Pha ban đầu: π (rad)
Chọn đáp án D
I.7. Một vật dao động điều hoà với tốc độ cực đại là 31,4 cm/s. Lấy π = 3,14. Tốc độ trung bình của vật trong một chu kì dao động là
A. 0. B. 15 cm/s C. 20 cm/s. D. 10 cm/s.
Lời giải:
Quãng đường vật đi được trong một chu kỳ: s = 4A
Tốc độ trung bình của vật trong một chu kỳ là:
Chọn đáp án C
I.8. Một con lắc lò xo có độ cứng 36 N/m và khối lượng m. Biết thế năng của con lắc biến thiên tuần hoàn theo thời gian với tần số 6 Hz. Lấy π2 = 10, khối lượng của vật là
A. 50 g. B. 75 g. C.100 g. D. 200 g.
Lời giải:
Thế năng của con lắc biến thiên tuần hoàn với tần số 2ω hay tần số 2f. Suy ra tần số của con lắc là f = 3Hz
ω = 2 πf = 2 π.3 = 6 π
Chọn đáp án C
I.9. Một con lắc lò xo dao động điều hoà theo trục Ox nằm ngang. Con lắc gồm một vật có khối lượng 100 g và một lò xo có độ cứng 100 N/m. Kéo vật tới vị trí có li độ bằng 2 cm rồi truyền cho vật vận tốc 1,095 m/s theo chiều dương. Chu kì và biên độ dao động của con lắc là
A. 0,2 s ; 4 cm. B. 0,2 s ; 2 cm.
C. 2π (s); 4cm. D. 2π (s); 10,9cm.
Lời giải:
Chọn đáp án A
Các bài giải sách bài tập Vật Lí 12 (SBT Vật Lí 12) khác:
- Bài I.10 trang 16 Sách bài tập Vật Lí 12: Một con lắc lò xo dao động....
- Bài I.11 trang 17 Sách bài tập Vật Lí 12: Hai con lắc đơn có chiều dài lần lượt....
- Bài I.12 trang 17 Sách bài tập Vật Lí 12: Cho hai dao động điều hòa cùng phương....
- Bài I.13 trang 17 Sách bài tập Vật Lí 12: Một con lắc đơn có chiều dài dây....
Đã có app VietJack trên điện thoại, giải bài tập SGK, SBT Soạn văn, Văn mẫu, Thi online, Bài giảng....miễn phí. Tải ngay ứng dụng trên Android và iOS.
Theo dõi chúng tôi miễn phí trên mạng xã hội facebook và youtube:Nếu thấy hay, hãy động viên và chia sẻ nhé! Các bình luận không phù hợp với nội quy bình luận trang web sẽ bị cấm bình luận vĩnh viễn.
- Giải Tiếng Anh 12 Global Success
- Giải sgk Tiếng Anh 12 Smart World
- Giải sgk Tiếng Anh 12 Friends Global
- Lớp 12 Kết nối tri thức
- Soạn văn 12 (hay nhất) - KNTT
- Soạn văn 12 (ngắn nhất) - KNTT
- Giải sgk Toán 12 - KNTT
- Giải sgk Vật Lí 12 - KNTT
- Giải sgk Hóa học 12 - KNTT
- Giải sgk Sinh học 12 - KNTT
- Giải sgk Lịch Sử 12 - KNTT
- Giải sgk Địa Lí 12 - KNTT
- Giải sgk Giáo dục KTPL 12 - KNTT
- Giải sgk Tin học 12 - KNTT
- Giải sgk Công nghệ 12 - KNTT
- Giải sgk Hoạt động trải nghiệm 12 - KNTT
- Giải sgk Giáo dục quốc phòng 12 - KNTT
- Giải sgk Âm nhạc 12 - KNTT
- Giải sgk Mĩ thuật 12 - KNTT
- Lớp 12 Chân trời sáng tạo
- Soạn văn 12 (hay nhất) - CTST
- Soạn văn 12 (ngắn nhất) - CTST
- Giải sgk Toán 12 - CTST
- Giải sgk Vật Lí 12 - CTST
- Giải sgk Hóa học 12 - CTST
- Giải sgk Sinh học 12 - CTST
- Giải sgk Lịch Sử 12 - CTST
- Giải sgk Địa Lí 12 - CTST
- Giải sgk Giáo dục KTPL 12 - CTST
- Giải sgk Tin học 12 - CTST
- Giải sgk Hoạt động trải nghiệm 12 - CTST
- Giải sgk Âm nhạc 12 - CTST
- Lớp 12 Cánh diều
- Soạn văn 12 Cánh diều (hay nhất)
- Soạn văn 12 Cánh diều (ngắn nhất)
- Giải sgk Toán 12 Cánh diều
- Giải sgk Vật Lí 12 - Cánh diều
- Giải sgk Hóa học 12 - Cánh diều
- Giải sgk Sinh học 12 - Cánh diều
- Giải sgk Lịch Sử 12 - Cánh diều
- Giải sgk Địa Lí 12 - Cánh diều
- Giải sgk Giáo dục KTPL 12 - Cánh diều
- Giải sgk Tin học 12 - Cánh diều
- Giải sgk Công nghệ 12 - Cánh diều
- Giải sgk Hoạt động trải nghiệm 12 - Cánh diều
- Giải sgk Giáo dục quốc phòng 12 - Cánh diều
- Giải sgk Âm nhạc 12 - Cánh diều


Giải bài tập SGK & SBT
Tài liệu giáo viên
Sách
Khóa học
Thi online
Hỏi đáp

